一项实用的随机对照试验:标准治疗与皮质类固醇加标准治疗在肯尼亚医院治疗成人肺炎(SONIA)。

Q1 Medicine
Wellcome Open Research Pub Date : 2025-05-28 eCollection Date: 2022-01-01 DOI:10.12688/wellcomeopenres.18401.2
Ruth Lucinde, Abdirahman Abdi, Benedict Orindi, Stella Mwakio, Henry Gathuri, Edwin Onyango, Salome Chira, Morris Ogero, Lynda Isaaka, Jimmy Shangala, Irene Njeri Oginga, Alvin Wachira, Evans Manuthu, Hazel Kariuki, Jared Nyikuli, Cyprian Wekesa, Amos Otedo, Hannah Bosire, Steve Biko Okoth, Winston Ongalo, David Mukabi, Wilber Lusamba, Beatrice Muthui, Nicholas Kirui, Isaac Adembesa, Caroline Mithi, Mohammed Sood, Nadia Ahmed, Bernard Gituma, Vera Bina Ongaki, Matiko Giabe, Charles Omondi, Loice Achieng Ombajo, Wangeci Kagucia, Mike English, Mainga Hamaluba, Lynette Isabella Ochola-Oyier, Dorcas Kamuya, Philip Bejon, Ambrose Agweyu, Samuel Akech, Anthony Oliwa Etyang
{"title":"一项实用的随机对照试验:标准治疗与皮质类固醇加标准治疗在肯尼亚医院治疗成人肺炎(SONIA)。","authors":"Ruth Lucinde, Abdirahman Abdi, Benedict Orindi, Stella Mwakio, Henry Gathuri, Edwin Onyango, Salome Chira, Morris Ogero, Lynda Isaaka, Jimmy Shangala, Irene Njeri Oginga, Alvin Wachira, Evans Manuthu, Hazel Kariuki, Jared Nyikuli, Cyprian Wekesa, Amos Otedo, Hannah Bosire, Steve Biko Okoth, Winston Ongalo, David Mukabi, Wilber Lusamba, Beatrice Muthui, Nicholas Kirui, Isaac Adembesa, Caroline Mithi, Mohammed Sood, Nadia Ahmed, Bernard Gituma, Vera Bina Ongaki, Matiko Giabe, Charles Omondi, Loice Achieng Ombajo, Wangeci Kagucia, Mike English, Mainga Hamaluba, Lynette Isabella Ochola-Oyier, Dorcas Kamuya, Philip Bejon, Ambrose Agweyu, Samuel Akech, Anthony Oliwa Etyang","doi":"10.12688/wellcomeopenres.18401.2","DOIUrl":null,"url":null,"abstract":"<p><strong>Background: </strong>Mortality among adults admitted to hospital with community acquired pneumonia in resource-limited settings is high. Recent studies conducted in high-income settings have demonstrated beneficial effects of low-dose corticosteroids in reducing mortality in patients with severe community acquired pneumonia. It is unknown whether these findings apply to low-income settings such as sub-Saharan Africa.This pragmatic randomized-controlled open-label trial will determine the effect of adjunctive low-dose corticosteroids in the management of adults admitted to hospital with community acquired pneumonia on mortality 30-days post-randomization.</p><p><strong>Methods: </strong>We will enroll and randomize 2180 patients admitted with a diagnosis of community acquired pneumonia into two arms: the control and intervention arm. Those in the control arm will receive standard care for the treatment of community acquired pneumonia i.e., combination therapy with a beta-lactam and macrolide antibiotic. Those in the intervention arm will receive up to 10-days treatment with low-dose oral corticosteroids in addition to standard care. All participants will be followed up to 30- days post randomization and their final status recorded (alive or dead).</p><p><strong>Discussion: </strong>If adjunctive low-dose oral corticosteroids are found to be beneficial, this easily scalable intervention would significantly reduce the currently high mortality associated with community acquired pneumonia.Pan-African Clinical Trials Registry: PACTR202111481740832; ISRCTRN registry: ISRCTN36138594.</p>","PeriodicalId":23677,"journal":{"name":"Wellcome Open Research","volume":"7 ","pages":"269"},"PeriodicalIF":0.0000,"publicationDate":"2025-05-28","publicationTypes":"Journal Article","fieldsOfStudy":null,"isOpenAccess":false,"openAccessPdf":"https://www.ncbi.nlm.nih.gov/pmc/articles/PMC12177450/pdf/","citationCount":"0","resultStr":"{\"title\":\"A pragmatic randomized controlled trial of standard care versus corticosteroids plus standard care for treatment of pneumonia in adults admitted to Kenyan hospitals (SONIA).\",\"authors\":\"Ruth Lucinde, Abdirahman Abdi, Benedict Orindi, Stella Mwakio, Henry Gathuri, Edwin Onyango, Salome Chira, Morris Ogero, Lynda Isaaka, Jimmy Shangala, Irene Njeri Oginga, Alvin Wachira, Evans Manuthu, Hazel Kariuki, Jared Nyikuli, Cyprian Wekesa, Amos Otedo, Hannah Bosire, Steve Biko Okoth, Winston Ongalo, David Mukabi, Wilber Lusamba, Beatrice Muthui, Nicholas Kirui, Isaac Adembesa, Caroline Mithi, Mohammed Sood, Nadia Ahmed, Bernard Gituma, Vera Bina Ongaki, Matiko Giabe, Charles Omondi, Loice Achieng Ombajo, Wangeci Kagucia, Mike English, Mainga Hamaluba, Lynette Isabella Ochola-Oyier, Dorcas Kamuya, Philip Bejon, Ambrose Agweyu, Samuel Akech, Anthony Oliwa Etyang\",\"doi\":\"10.12688/wellcomeopenres.18401.2\",\"DOIUrl\":null,\"url\":null,\"abstract\":\"<p><strong>Background: </strong>Mortality among adults admitted to hospital with community acquired pneumonia in resource-limited settings is high. Recent studies conducted in high-income settings have demonstrated beneficial effects of low-dose corticosteroids in reducing mortality in patients with severe community acquired pneumonia. It is unknown whether these findings apply to low-income settings such as sub-Saharan Africa.This pragmatic randomized-controlled open-label trial will determine the effect of adjunctive low-dose corticosteroids in the management of adults admitted to hospital with community acquired pneumonia on mortality 30-days post-randomization.</p><p><strong>Methods: </strong>We will enroll and randomize 2180 patients admitted with a diagnosis of community acquired pneumonia into two arms: the control and intervention arm. Those in the control arm will receive standard care for the treatment of community acquired pneumonia i.e., combination therapy with a beta-lactam and macrolide antibiotic. Those in the intervention arm will receive up to 10-days treatment with low-dose oral corticosteroids in addition to standard care. All participants will be followed up to 30- days post randomization and their final status recorded (alive or dead).</p><p><strong>Discussion: </strong>If adjunctive low-dose oral corticosteroids are found to be beneficial, this easily scalable intervention would significantly reduce the currently high mortality associated with community acquired pneumonia.Pan-African Clinical Trials Registry: PACTR202111481740832; ISRCTRN registry: ISRCTN36138594.</p>\",\"PeriodicalId\":23677,\"journal\":{\"name\":\"Wellcome Open Research\",\"volume\":\"7 \",\"pages\":\"269\"},\"PeriodicalIF\":0.0000,\"publicationDate\":\"2025-05-28\",\"publicationTypes\":\"Journal Article\",\"fieldsOfStudy\":null,\"isOpenAccess\":false,\"openAccessPdf\":\"https://www.ncbi.nlm.nih.gov/pmc/articles/PMC12177450/pdf/\",\"citationCount\":\"0\",\"resultStr\":null,\"platform\":\"Semanticscholar\",\"paperid\":null,\"PeriodicalName\":\"Wellcome Open Research\",\"FirstCategoryId\":\"1085\",\"ListUrlMain\":\"https://doi.org/10.12688/wellcomeopenres.18401.2\",\"RegionNum\":0,\"RegionCategory\":null,\"ArticlePicture\":[],\"TitleCN\":null,\"AbstractTextCN\":null,\"PMCID\":null,\"EPubDate\":\"2022/1/1 0:00:00\",\"PubModel\":\"eCollection\",\"JCR\":\"Q1\",\"JCRName\":\"Medicine\",\"Score\":null,\"Total\":0}","platform":"Semanticscholar","paperid":null,"PeriodicalName":"Wellcome Open Research","FirstCategoryId":"1085","ListUrlMain":"https://doi.org/10.12688/wellcomeopenres.18401.2","RegionNum":0,"RegionCategory":null,"ArticlePicture":[],"TitleCN":null,"AbstractTextCN":null,"PMCID":null,"EPubDate":"2022/1/1 0:00:00","PubModel":"eCollection","JCR":"Q1","JCRName":"Medicine","Score":null,"Total":0}
引用次数: 0

摘要

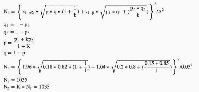
背景:在资源有限的环境中,社区获得性肺炎住院的成人死亡率很高。最近在高收入环境中进行的研究表明,低剂量皮质类固醇在降低严重社区获得性肺炎患者死亡率方面具有有益作用。目前尚不清楚这些发现是否适用于撒哈拉以南非洲等低收入地区。这项实用的随机对照开放标签试验将确定辅助低剂量皮质激素对随机分组后30天社区获得性肺炎住院成人死亡率的影响。方法:我们将2180例确诊为社区获得性肺炎的住院患者随机纳入两组:对照组和干预组。对照组患者将接受社区获得性肺炎的标准治疗,即β -内酰胺和大环内酯类抗生素联合治疗。干预组将接受10天的低剂量口服糖皮质激素治疗,外加标准治疗。所有参与者将在随机分组后随访30天,并记录他们的最终状态(活着或死亡)。讨论:如果发现辅助性低剂量口服皮质类固醇是有益的,这种易于扩展的干预措施将显著降低目前与社区获得性肺炎相关的高死亡率。泛非临床试验注册:PACTR202111481740832;ISRCTRN注册表:ISRCTN36138594。
本文章由计算机程序翻译,如有差异,请以英文原文为准。

A pragmatic randomized controlled trial of standard care versus corticosteroids plus standard care for treatment of pneumonia in adults admitted to Kenyan hospitals (SONIA).

A pragmatic randomized controlled trial of standard care versus corticosteroids plus standard care for treatment of pneumonia in adults admitted to Kenyan hospitals (SONIA).

A pragmatic randomized controlled trial of standard care versus corticosteroids plus standard care for treatment of pneumonia in adults admitted to Kenyan hospitals (SONIA).

Background: Mortality among adults admitted to hospital with community acquired pneumonia in resource-limited settings is high. Recent studies conducted in high-income settings have demonstrated beneficial effects of low-dose corticosteroids in reducing mortality in patients with severe community acquired pneumonia. It is unknown whether these findings apply to low-income settings such as sub-Saharan Africa.This pragmatic randomized-controlled open-label trial will determine the effect of adjunctive low-dose corticosteroids in the management of adults admitted to hospital with community acquired pneumonia on mortality 30-days post-randomization.

Methods: We will enroll and randomize 2180 patients admitted with a diagnosis of community acquired pneumonia into two arms: the control and intervention arm. Those in the control arm will receive standard care for the treatment of community acquired pneumonia i.e., combination therapy with a beta-lactam and macrolide antibiotic. Those in the intervention arm will receive up to 10-days treatment with low-dose oral corticosteroids in addition to standard care. All participants will be followed up to 30- days post randomization and their final status recorded (alive or dead).

Discussion: If adjunctive low-dose oral corticosteroids are found to be beneficial, this easily scalable intervention would significantly reduce the currently high mortality associated with community acquired pneumonia.Pan-African Clinical Trials Registry: PACTR202111481740832; ISRCTRN registry: ISRCTN36138594.

求助全文
通过发布文献求助,成功后即可免费获取论文全文。 去求助
来源期刊
Wellcome Open Research
Wellcome Open Research Biochemistry, Genetics and Molecular Biology-Biochemistry, Genetics and Molecular Biology (all)
CiteScore
5.50
自引率
0.00%
发文量
426
审稿时长
1 weeks
期刊介绍: Wellcome Open Research publishes scholarly articles reporting any basic scientific, translational and clinical research that has been funded (or co-funded) by Wellcome. Each publication must have at least one author who has been, or still is, a recipient of a Wellcome grant. Articles must be original (not duplications). All research, including clinical trials, systematic reviews, software tools, method articles, and many others, is welcome and will be published irrespective of the perceived level of interest or novelty; confirmatory and negative results, as well as null studies are all suitable. See the full list of article types here. All articles are published using a fully transparent, author-driven model: the authors are solely responsible for the content of their article. Invited peer review takes place openly after publication, and the authors play a crucial role in ensuring that the article is peer-reviewed by independent experts in a timely manner. Articles that pass peer review will be indexed in PubMed and elsewhere. Wellcome Open Research is an Open Research platform: all articles are published open access; the publishing and peer-review processes are fully transparent; and authors are asked to include detailed descriptions of methods and to provide full and easy access to source data underlying the results to improve reproducibility.
×
引用
GB/T 7714-2015
复制
MLA
复制
APA
复制
导出至
BibTeX EndNote RefMan NoteFirst NoteExpress
×
提示
您的信息不完整,为了账户安全,请先补充。
现在去补充
×
提示
您因"违规操作"
具体请查看互助需知
我知道了
×
提示
确定
请完成安全验证×
copy
已复制链接
快去分享给好友吧!
我知道了
右上角分享
点击右上角分享
0
联系我们:info@booksci.cn Book学术提供免费学术资源搜索服务,方便国内外学者检索中英文文献。致力于提供最便捷和优质的服务体验。 Copyright © 2023 布克学术 All rights reserved.
京ICP备2023020795号-1
ghs 京公网安备 11010802042870号
Book学术文献互助
Book学术文献互助群
群 号:604180095
Book学术官方微信