脑容量测定在帕金森病患者高强度聚焦超声治疗丘脑下切开术反应中的预测价值

IF 2.2 4区 医学 Q3 CLINICAL NEUROLOGY
Parkinson's Disease Pub Date : 2025-06-12 eCollection Date: 2025-01-01 DOI:10.1155/padi/8780938
Alfaro-Nasta E, Gonzalez-Mendez P, Lorenzoni J, Juri C, Andia M E
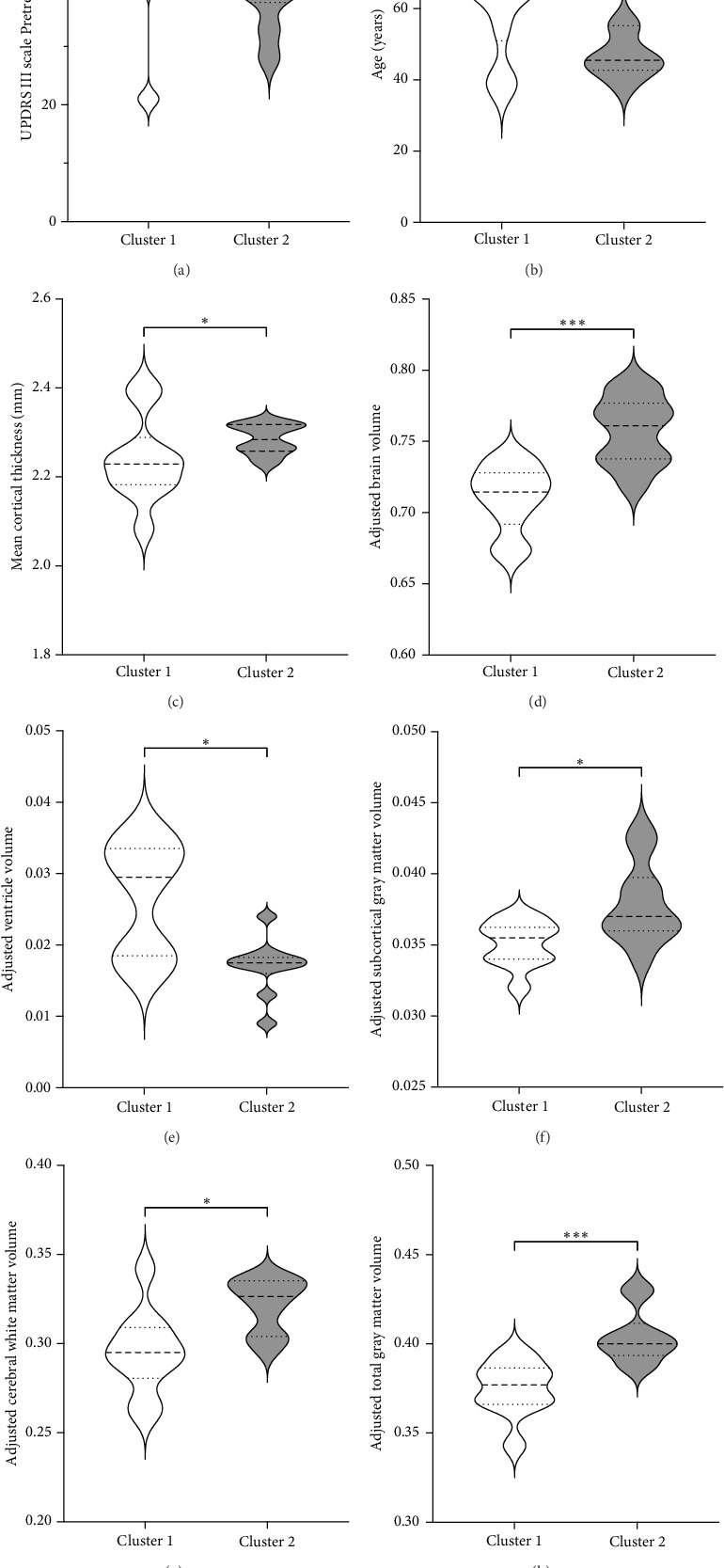
{"title":"脑容量测定在帕金森病患者高强度聚焦超声治疗丘脑下切开术反应中的预测价值","authors":"Alfaro-Nasta E, Gonzalez-Mendez P, Lorenzoni J, Juri C, Andia M E","doi":"10.1155/padi/8780938","DOIUrl":null,"url":null,"abstract":"<p><p><b>Objective:</b> Subthalamotomy using magnetic resonance-guided high-intensity focused ultrasound (MRg-FUS) is a noninvasive therapy that improves the cardinal symptoms of Parkinson's disease. However, clinical outcomes show high variability even when all inclusion criteria for this treatment are met. In this work, we aim to study the relationship between brain volumetry and clinical response in patients undergoing this treatment. <b>Methods:</b> Twenty patients who underwent MRg-FUS subthalamotomy were included and evaluated at baseline and 3 months post-treatment. Brain volumes were obtained from pretreatment MRI scans processed with the open-source package FreeSurfer. The treatment response was assessed using the movement disorder society unified Parkinson's disease rating scale (MDS-UPDRS). Principal component analysis (PCA) and clustering methods were used to identify groups of patients with similar clinical outcome. <b>Results:</b> PCA identified 2 clusters of patients, and a sensitivity and a specificity of 80% classified patients who will have a response to treatment with an improvement greater than 40% of the pretreatment UPDRS III scale. A positive association was found with the response to treatment with the variables: brain volume, cortical thickness and volume of total gray matter, and subcortical gray matter and white matter. On the other hand, a negative association was found with the response to treatment with the variables: ventricular volume. <b>Conclusion:</b> Our findings suggest that brain atrophy, reduced global cortical thickness, and increased ventricular volume are significantly associated with the predicting treatment response in Parkinson's disease patients undergoing MRg-FUS subthalamotomy.</p>","PeriodicalId":19907,"journal":{"name":"Parkinson's Disease","volume":"2025 ","pages":"8780938"},"PeriodicalIF":2.2000,"publicationDate":"2025-06-12","publicationTypes":"Journal Article","fieldsOfStudy":null,"isOpenAccess":false,"openAccessPdf":"https://www.ncbi.nlm.nih.gov/pmc/articles/PMC12178735/pdf/","citationCount":"0","resultStr":"{\"title\":\"Predictive Value of Brain Volumetry in the Response to Subthalamotomy Using High-Intensity Focused Ultrasound Treatment in Patients With Parkinson's Disease.\",\"authors\":\"Alfaro-Nasta E, Gonzalez-Mendez P, Lorenzoni J, Juri C, Andia M E\",\"doi\":\"10.1155/padi/8780938\",\"DOIUrl\":null,\"url\":null,\"abstract\":\"<p><p><b>Objective:</b> Subthalamotomy using magnetic resonance-guided high-intensity focused ultrasound (MRg-FUS) is a noninvasive therapy that improves the cardinal symptoms of Parkinson's disease. However, clinical outcomes show high variability even when all inclusion criteria for this treatment are met. In this work, we aim to study the relationship between brain volumetry and clinical response in patients undergoing this treatment. <b>Methods:</b> Twenty patients who underwent MRg-FUS subthalamotomy were included and evaluated at baseline and 3 months post-treatment. Brain volumes were obtained from pretreatment MRI scans processed with the open-source package FreeSurfer. The treatment response was assessed using the movement disorder society unified Parkinson's disease rating scale (MDS-UPDRS). Principal component analysis (PCA) and clustering methods were used to identify groups of patients with similar clinical outcome. <b>Results:</b> PCA identified 2 clusters of patients, and a sensitivity and a specificity of 80% classified patients who will have a response to treatment with an improvement greater than 40% of the pretreatment UPDRS III scale. A positive association was found with the response to treatment with the variables: brain volume, cortical thickness and volume of total gray matter, and subcortical gray matter and white matter. On the other hand, a negative association was found with the response to treatment with the variables: ventricular volume. <b>Conclusion:</b> Our findings suggest that brain atrophy, reduced global cortical thickness, and increased ventricular volume are significantly associated with the predicting treatment response in Parkinson's disease patients undergoing MRg-FUS subthalamotomy.</p>\",\"PeriodicalId\":19907,\"journal\":{\"name\":\"Parkinson's Disease\",\"volume\":\"2025 \",\"pages\":\"8780938\"},\"PeriodicalIF\":2.2000,\"publicationDate\":\"2025-06-12\",\"publicationTypes\":\"Journal Article\",\"fieldsOfStudy\":null,\"isOpenAccess\":false,\"openAccessPdf\":\"https://www.ncbi.nlm.nih.gov/pmc/articles/PMC12178735/pdf/\",\"citationCount\":\"0\",\"resultStr\":null,\"platform\":\"Semanticscholar\",\"paperid\":null,\"PeriodicalName\":\"Parkinson's Disease\",\"FirstCategoryId\":\"3\",\"ListUrlMain\":\"https://doi.org/10.1155/padi/8780938\",\"RegionNum\":4,\"RegionCategory\":\"医学\",\"ArticlePicture\":[],\"TitleCN\":null,\"AbstractTextCN\":null,\"PMCID\":null,\"EPubDate\":\"2025/1/1 0:00:00\",\"PubModel\":\"eCollection\",\"JCR\":\"Q3\",\"JCRName\":\"CLINICAL NEUROLOGY\",\"Score\":null,\"Total\":0}","platform":"Semanticscholar","paperid":null,"PeriodicalName":"Parkinson's Disease","FirstCategoryId":"3","ListUrlMain":"https://doi.org/10.1155/padi/8780938","RegionNum":4,"RegionCategory":"医学","ArticlePicture":[],"TitleCN":null,"AbstractTextCN":null,"PMCID":null,"EPubDate":"2025/1/1 0:00:00","PubModel":"eCollection","JCR":"Q3","JCRName":"CLINICAL NEUROLOGY","Score":null,"Total":0}
引用次数: 0

摘要

目的:利用磁共振引导下的高强度聚焦超声(MRg-FUS)进行丘脑下切开术是一种改善帕金森病主要症状的无创治疗方法。然而,即使满足该治疗的所有纳入标准,临床结果也显示出很高的可变性。在这项工作中,我们的目的是研究脑容量测量与接受这种治疗的患者的临床反应之间的关系。方法:选取20例行mri - fus下丘脑切开术的患者,并在基线和治疗后3个月进行评估。脑体积是通过预处理MRI扫描获得的,使用开源软件包FreeSurfer进行处理。使用运动障碍学会统一帕金森病评定量表(MDS-UPDRS)评估治疗效果。采用主成分分析(PCA)和聚类方法对具有相似临床结果的患者进行分组。结果:PCA确定了2组患者,80%的敏感性和特异性将患者分类为对治疗有反应的患者,改善程度超过预处理UPDRS III量表的40%。脑容量、皮质厚度和总灰质体积、皮质下灰质和白质等变量与治疗反应呈正相关。另一方面,发现与治疗反应负相关的变量:心室容积。结论:我们的研究结果表明,脑萎缩、整体皮质厚度减少和心室体积增加与预测帕金森病患者接受MRg-FUS丘脑下切开术的治疗反应显著相关。
本文章由计算机程序翻译,如有差异,请以英文原文为准。

Predictive Value of Brain Volumetry in the Response to Subthalamotomy Using High-Intensity Focused Ultrasound Treatment in Patients With Parkinson's Disease.

Predictive Value of Brain Volumetry in the Response to Subthalamotomy Using High-Intensity Focused Ultrasound Treatment in Patients With Parkinson's Disease.

Predictive Value of Brain Volumetry in the Response to Subthalamotomy Using High-Intensity Focused Ultrasound Treatment in Patients With Parkinson's Disease.

Predictive Value of Brain Volumetry in the Response to Subthalamotomy Using High-Intensity Focused Ultrasound Treatment in Patients With Parkinson's Disease.

Objective: Subthalamotomy using magnetic resonance-guided high-intensity focused ultrasound (MRg-FUS) is a noninvasive therapy that improves the cardinal symptoms of Parkinson's disease. However, clinical outcomes show high variability even when all inclusion criteria for this treatment are met. In this work, we aim to study the relationship between brain volumetry and clinical response in patients undergoing this treatment. Methods: Twenty patients who underwent MRg-FUS subthalamotomy were included and evaluated at baseline and 3 months post-treatment. Brain volumes were obtained from pretreatment MRI scans processed with the open-source package FreeSurfer. The treatment response was assessed using the movement disorder society unified Parkinson's disease rating scale (MDS-UPDRS). Principal component analysis (PCA) and clustering methods were used to identify groups of patients with similar clinical outcome. Results: PCA identified 2 clusters of patients, and a sensitivity and a specificity of 80% classified patients who will have a response to treatment with an improvement greater than 40% of the pretreatment UPDRS III scale. A positive association was found with the response to treatment with the variables: brain volume, cortical thickness and volume of total gray matter, and subcortical gray matter and white matter. On the other hand, a negative association was found with the response to treatment with the variables: ventricular volume. Conclusion: Our findings suggest that brain atrophy, reduced global cortical thickness, and increased ventricular volume are significantly associated with the predicting treatment response in Parkinson's disease patients undergoing MRg-FUS subthalamotomy.

求助全文
通过发布文献求助,成功后即可免费获取论文全文。 去求助
来源期刊
Parkinson's Disease
Parkinson's Disease CLINICAL NEUROLOGY-
CiteScore
5.80
自引率
3.10%
发文量
0
审稿时长
18 weeks
期刊介绍: Parkinson’s Disease is a peer-reviewed, Open Access journal that publishes original research articles, review articles, and clinical studies related to the epidemiology, etiology, pathogenesis, genetics, cellular, molecular and neurophysiology, as well as the diagnosis and treatment of Parkinson’s disease.
×
引用
GB/T 7714-2015
复制
MLA
复制
APA
复制
导出至
BibTeX EndNote RefMan NoteFirst NoteExpress
×
提示
您的信息不完整,为了账户安全,请先补充。
现在去补充
×
提示
您因"违规操作"
具体请查看互助需知
我知道了
×
提示
确定
请完成安全验证×
copy
已复制链接
快去分享给好友吧!
我知道了
右上角分享
点击右上角分享
0
联系我们:info@booksci.cn Book学术提供免费学术资源搜索服务,方便国内外学者检索中英文文献。致力于提供最便捷和优质的服务体验。 Copyright © 2023 布克学术 All rights reserved.
京ICP备2023020795号-1
ghs 京公网安备 11010802042870号
Book学术文献互助
Book学术文献互助群
群 号:604180095
Book学术官方微信