在长期随访的儿童血液病幸存者中,E/ E '和BNP对早期发现晚期心脏毒性的重要性:一项回顾性横断面研究。

IF 3.2 Q2 CARDIAC & CARDIOVASCULAR SYSTEMS
Yuri Okazoe-Hirakawa, Kimikazu Yakushijin, Keiji Kurata, Sakuya Matsumoto, Hiroya Ichikawa, Rina Sakai, Taku Nose, Shiro Kimbara, Yoshiaki Nagatani, Taiji Koyama, Yumiko Inui, Yohei Funakoshi, Naomi Kiyota, Mitsuhiro Ito, Keiko Hatazawa, Hidekazu Tanaka, Nobuyuki Yamamoto, Hironobu Minami
{"title":"在长期随访的儿童血液病幸存者中,E/ E '和BNP对早期发现晚期心脏毒性的重要性:一项回顾性横断面研究。","authors":"Yuri Okazoe-Hirakawa, Kimikazu Yakushijin, Keiji Kurata, Sakuya Matsumoto, Hiroya Ichikawa, Rina Sakai, Taku Nose, Shiro Kimbara, Yoshiaki Nagatani, Taiji Koyama, Yumiko Inui, Yohei Funakoshi, Naomi Kiyota, Mitsuhiro Ito, Keiko Hatazawa, Hidekazu Tanaka, Nobuyuki Yamamoto, Hironobu Minami","doi":"10.1186/s40959-025-00354-1","DOIUrl":null,"url":null,"abstract":"<p><strong>Background: </strong>Childhood cancer survivors (CCS) often develop late complications after their primary disease is cured. Cardiovascular disease is one of the most frequent and serious complications that significantly affects prognosis and quality of life. Early detection and appropriate intervention are expected to improve their prognosis. However, the risk factors for late cardiotoxicity in CCS are not well defined, and biomarkers that can detect cardiac dysfunction prior to the development of heart failure have not yet been established.</p><p><strong>Methods: </strong>Medical records of childhood hematologic cancer survivors referred to our department for transitional care between January 2016 and October 2023 were reviewed for this cross-sectional study. The relationships between the most recent cardiac function at the review and history of cancer treatment were analyzed.</p><p><strong>Results: </strong>This study included 34 patients and the median elapsed time since cancer diagnosis was 16.5 years (range, 5-30 years). None of the patients had symptomatic cardiac complications. The E/e' ratio was significantly higher in survivors with a history of hematopoietic stem cell transplantation (HSCT) than in those who did not undergo HSCT (median, 8.4% vs. 6.25%, P = 0.040), while no intergroup differences were observed in ejection fraction (EF), global longitudinal strain (GLS), or the brain natriuretic protein (BNP) level. In addition, the E/e' ratio was positively correlated with years elapsed since cancer diagnosis (ρ = 0.38, P = 0.034). While there was no clear correlation between years since cancer diagnosis and the BNP level in the overall cohort, a strong correlation was found in patients with a history of HSCT (ρ = 0.73; P < 0.01). No significant differences were observed in EF, E/e' ratio, GLS, and BNP level by cumulative anthracycline dose or history of chest irradiation.</p><p><strong>Conclusions: </strong>In this study, no patient had late symptomatic cardiac complications. However, in those who had survived for a long time since their cancer diagnosis, particularly those with a history of HSCT, there were significant elevations in the E/e' ratio and the BNP level. Continuous follow-up is required to determine whether these abnormalities lead to symptomatic cardiotoxicity and whether they serve as useful markers for the early detection of cardiac complications.</p>","PeriodicalId":9804,"journal":{"name":"Cardio-oncology","volume":"11 1","pages":"55"},"PeriodicalIF":3.2000,"publicationDate":"2025-06-19","publicationTypes":"Journal Article","fieldsOfStudy":null,"isOpenAccess":false,"openAccessPdf":"https://www.ncbi.nlm.nih.gov/pmc/articles/PMC12177987/pdf/","citationCount":"0","resultStr":"{\"title\":\"Importance of E/e' and BNP for early detection of late cardiotoxicity in long-term follow-up of childhood hematologic cancer survivors: a retrospective cross-sectional study.\",\"authors\":\"Yuri Okazoe-Hirakawa, Kimikazu Yakushijin, Keiji Kurata, Sakuya Matsumoto, Hiroya Ichikawa, Rina Sakai, Taku Nose, Shiro Kimbara, Yoshiaki Nagatani, Taiji Koyama, Yumiko Inui, Yohei Funakoshi, Naomi Kiyota, Mitsuhiro Ito, Keiko Hatazawa, Hidekazu Tanaka, Nobuyuki Yamamoto, Hironobu Minami\",\"doi\":\"10.1186/s40959-025-00354-1\",\"DOIUrl\":null,\"url\":null,\"abstract\":\"<p><strong>Background: </strong>Childhood cancer survivors (CCS) often develop late complications after their primary disease is cured. Cardiovascular disease is one of the most frequent and serious complications that significantly affects prognosis and quality of life. Early detection and appropriate intervention are expected to improve their prognosis. However, the risk factors for late cardiotoxicity in CCS are not well defined, and biomarkers that can detect cardiac dysfunction prior to the development of heart failure have not yet been established.</p><p><strong>Methods: </strong>Medical records of childhood hematologic cancer survivors referred to our department for transitional care between January 2016 and October 2023 were reviewed for this cross-sectional study. The relationships between the most recent cardiac function at the review and history of cancer treatment were analyzed.</p><p><strong>Results: </strong>This study included 34 patients and the median elapsed time since cancer diagnosis was 16.5 years (range, 5-30 years). None of the patients had symptomatic cardiac complications. The E/e' ratio was significantly higher in survivors with a history of hematopoietic stem cell transplantation (HSCT) than in those who did not undergo HSCT (median, 8.4% vs. 6.25%, P = 0.040), while no intergroup differences were observed in ejection fraction (EF), global longitudinal strain (GLS), or the brain natriuretic protein (BNP) level. In addition, the E/e' ratio was positively correlated with years elapsed since cancer diagnosis (ρ = 0.38, P = 0.034). While there was no clear correlation between years since cancer diagnosis and the BNP level in the overall cohort, a strong correlation was found in patients with a history of HSCT (ρ = 0.73; P < 0.01). No significant differences were observed in EF, E/e' ratio, GLS, and BNP level by cumulative anthracycline dose or history of chest irradiation.</p><p><strong>Conclusions: </strong>In this study, no patient had late symptomatic cardiac complications. However, in those who had survived for a long time since their cancer diagnosis, particularly those with a history of HSCT, there were significant elevations in the E/e' ratio and the BNP level. Continuous follow-up is required to determine whether these abnormalities lead to symptomatic cardiotoxicity and whether they serve as useful markers for the early detection of cardiac complications.</p>\",\"PeriodicalId\":9804,\"journal\":{\"name\":\"Cardio-oncology\",\"volume\":\"11 1\",\"pages\":\"55\"},\"PeriodicalIF\":3.2000,\"publicationDate\":\"2025-06-19\",\"publicationTypes\":\"Journal Article\",\"fieldsOfStudy\":null,\"isOpenAccess\":false,\"openAccessPdf\":\"https://www.ncbi.nlm.nih.gov/pmc/articles/PMC12177987/pdf/\",\"citationCount\":\"0\",\"resultStr\":null,\"platform\":\"Semanticscholar\",\"paperid\":null,\"PeriodicalName\":\"Cardio-oncology\",\"FirstCategoryId\":\"1085\",\"ListUrlMain\":\"https://doi.org/10.1186/s40959-025-00354-1\",\"RegionNum\":0,\"RegionCategory\":null,\"ArticlePicture\":[],\"TitleCN\":null,\"AbstractTextCN\":null,\"PMCID\":null,\"EPubDate\":\"\",\"PubModel\":\"\",\"JCR\":\"Q2\",\"JCRName\":\"CARDIAC & CARDIOVASCULAR SYSTEMS\",\"Score\":null,\"Total\":0}","platform":"Semanticscholar","paperid":null,"PeriodicalName":"Cardio-oncology","FirstCategoryId":"1085","ListUrlMain":"https://doi.org/10.1186/s40959-025-00354-1","RegionNum":0,"RegionCategory":null,"ArticlePicture":[],"TitleCN":null,"AbstractTextCN":null,"PMCID":null,"EPubDate":"","PubModel":"","JCR":"Q2","JCRName":"CARDIAC & CARDIOVASCULAR SYSTEMS","Score":null,"Total":0}
引用次数: 0

摘要

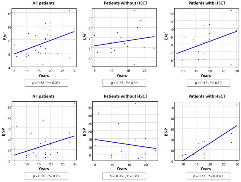
背景:儿童癌症幸存者(CCS)在原发疾病治愈后经常出现晚期并发症。心血管疾病是影响预后和生活质量的最常见、最严重的并发症之一。早期发现和适当干预有望改善其预后。然而,CCS晚期心脏毒性的危险因素尚未明确,在心力衰竭发展之前可以检测心功能障碍的生物标志物尚未建立。方法:对2016年1月至2023年10月间转介至我科接受过渡治疗的儿童血液病癌症幸存者的医疗记录进行横断面研究。分析了回顾时最近的心功能与癌症治疗史之间的关系。结果:该研究包括34例患者,自癌症诊断以来的中位时间为16.5年(范围5-30年)。所有患者均未出现症状性心脏并发症。有造血干细胞移植(HSCT)史的幸存者的E/ E′比显著高于未接受HSCT的幸存者(中位数,8.4% vs. 6.25%, P = 0.040),而在射血分数(EF)、总纵向应力(GLS)或脑钠尿蛋白(BNP)水平方面没有观察到组间差异。此外,E/ E '比值与癌症诊断后的时间呈正相关(ρ = 0.38, P = 0.034)。虽然在整个队列中,癌症诊断后的年数与BNP水平之间没有明显的相关性,但在有HSCT病史的患者中发现了很强的相关性(ρ = 0.73;结论:本组患者无晚期症状性心脏并发症。然而,在癌症诊断后存活很长时间的患者中,特别是有造血干细胞移植史的患者,E/ E’比值和BNP水平显著升高。需要持续随访以确定这些异常是否导致症状性心脏毒性,以及它们是否可作为早期发现心脏并发症的有用标记。
本文章由计算机程序翻译,如有差异,请以英文原文为准。

Importance of E/e' and BNP for early detection of late cardiotoxicity in long-term follow-up of childhood hematologic cancer survivors: a retrospective cross-sectional study.

Importance of E/e' and BNP for early detection of late cardiotoxicity in long-term follow-up of childhood hematologic cancer survivors: a retrospective cross-sectional study.

Background: Childhood cancer survivors (CCS) often develop late complications after their primary disease is cured. Cardiovascular disease is one of the most frequent and serious complications that significantly affects prognosis and quality of life. Early detection and appropriate intervention are expected to improve their prognosis. However, the risk factors for late cardiotoxicity in CCS are not well defined, and biomarkers that can detect cardiac dysfunction prior to the development of heart failure have not yet been established.

Methods: Medical records of childhood hematologic cancer survivors referred to our department for transitional care between January 2016 and October 2023 were reviewed for this cross-sectional study. The relationships between the most recent cardiac function at the review and history of cancer treatment were analyzed.

Results: This study included 34 patients and the median elapsed time since cancer diagnosis was 16.5 years (range, 5-30 years). None of the patients had symptomatic cardiac complications. The E/e' ratio was significantly higher in survivors with a history of hematopoietic stem cell transplantation (HSCT) than in those who did not undergo HSCT (median, 8.4% vs. 6.25%, P = 0.040), while no intergroup differences were observed in ejection fraction (EF), global longitudinal strain (GLS), or the brain natriuretic protein (BNP) level. In addition, the E/e' ratio was positively correlated with years elapsed since cancer diagnosis (ρ = 0.38, P = 0.034). While there was no clear correlation between years since cancer diagnosis and the BNP level in the overall cohort, a strong correlation was found in patients with a history of HSCT (ρ = 0.73; P < 0.01). No significant differences were observed in EF, E/e' ratio, GLS, and BNP level by cumulative anthracycline dose or history of chest irradiation.

Conclusions: In this study, no patient had late symptomatic cardiac complications. However, in those who had survived for a long time since their cancer diagnosis, particularly those with a history of HSCT, there were significant elevations in the E/e' ratio and the BNP level. Continuous follow-up is required to determine whether these abnormalities lead to symptomatic cardiotoxicity and whether they serve as useful markers for the early detection of cardiac complications.

求助全文
通过发布文献求助,成功后即可免费获取论文全文。 去求助
来源期刊
Cardio-oncology
Cardio-oncology Medicine-Cardiology and Cardiovascular Medicine
CiteScore
5.00
自引率
3.00%
发文量
17
审稿时长
7 weeks
×
引用
GB/T 7714-2015
复制
MLA
复制
APA
复制
导出至
BibTeX EndNote RefMan NoteFirst NoteExpress
×
提示
您的信息不完整,为了账户安全,请先补充。
现在去补充
×
提示
您因"违规操作"
具体请查看互助需知
我知道了
×
提示
确定
请完成安全验证×
copy
已复制链接
快去分享给好友吧!
我知道了
右上角分享
点击右上角分享
0
联系我们:info@booksci.cn Book学术提供免费学术资源搜索服务,方便国内外学者检索中英文文献。致力于提供最便捷和优质的服务体验。 Copyright © 2023 布克学术 All rights reserved.
京ICP备2023020795号-1
ghs 京公网安备 11010802042870号
Book学术文献互助
Book学术文献互助群
群 号:604180095
Book学术官方微信
小红书