橡胶攻胶者的姿势评估:OWAS, REBA, RULA和PERA方法的比较分析。

IF 2 4区 医学 Q2 PUBLIC, ENVIRONMENTAL & OCCUPATIONAL HEALTH
Abi Varghese, Vinay V Panicker, Joby George
{"title":"橡胶攻胶者的姿势评估:OWAS, REBA, RULA和PERA方法的比较分析。","authors":"Abi Varghese, Vinay V Panicker, Joby George","doi":"10.23749/mdl.v116i3.15875","DOIUrl":null,"url":null,"abstract":"<p><strong>Background: </strong>The study provides a comprehensive ergonomics assessment of the postures encountered by rubber tappers using the OWAS, REBA, RULA, and PERA methods and compares the risk levels across various ergonomic assessment methodologies.</p><p><strong>Methods: </strong>The research examines the postures of fifty-one selected rubber tappers from the state of Kerala, India, during rubber tapping, analyzing 1111 different working postures. The postural assessment was conducted by analyzing video recordings of the work tasks and evaluating the postures using OWAS, REBA, RULA, and PERA. Each method's focus and application were considered to comprehensively evaluate the postural risks.</p><p><strong>Results: </strong>The demographic characteristics indicate that the workforce mostly consists of middle-aged males involved in physically strenuous activities. The result shows that the RULA method, emphasizing upper limb postures, is particularly suited for assessing postural loads in rubber tapping, highlighting the need to match ergonomic tools to the specific demands of work activities. While OWAS provides a general overview, RULA focuses on upper limbs, REBA assesses whole-body postures, and PERA incorporates cyclic work factors, enabling targeted ergonomic interventions. Additionally, it is crucial to consider that each method OWAS, RULA, REBA, and PERA has distinct strengths and applications.</p><p><strong>Conclusions: </strong>The research highlights the need for tailored ergonomic interventions for tasks such as 'Incision on the Channel'. Ultimately, the study validates implementing a context-specific approach for assessing ergonomic parameters and intervention measures aimed at enhancing the overall occupational health of rubber tappers.</p>","PeriodicalId":49833,"journal":{"name":"Medicina Del Lavoro","volume":"116 3","pages":"15875"},"PeriodicalIF":2.0000,"publicationDate":"2025-06-17","publicationTypes":"Journal Article","fieldsOfStudy":null,"isOpenAccess":false,"openAccessPdf":"https://www.ncbi.nlm.nih.gov/pmc/articles/PMC12199027/pdf/","citationCount":"0","resultStr":"{\"title\":\"Posture Assessment of Rubber Tappers: A Comparative Analysis of OWAS, REBA, RULA, and PERA Methods.\",\"authors\":\"Abi Varghese, Vinay V Panicker, Joby George\",\"doi\":\"10.23749/mdl.v116i3.15875\",\"DOIUrl\":null,\"url\":null,\"abstract\":\"<p><strong>Background: </strong>The study provides a comprehensive ergonomics assessment of the postures encountered by rubber tappers using the OWAS, REBA, RULA, and PERA methods and compares the risk levels across various ergonomic assessment methodologies.</p><p><strong>Methods: </strong>The research examines the postures of fifty-one selected rubber tappers from the state of Kerala, India, during rubber tapping, analyzing 1111 different working postures. The postural assessment was conducted by analyzing video recordings of the work tasks and evaluating the postures using OWAS, REBA, RULA, and PERA. Each method's focus and application were considered to comprehensively evaluate the postural risks.</p><p><strong>Results: </strong>The demographic characteristics indicate that the workforce mostly consists of middle-aged males involved in physically strenuous activities. The result shows that the RULA method, emphasizing upper limb postures, is particularly suited for assessing postural loads in rubber tapping, highlighting the need to match ergonomic tools to the specific demands of work activities. While OWAS provides a general overview, RULA focuses on upper limbs, REBA assesses whole-body postures, and PERA incorporates cyclic work factors, enabling targeted ergonomic interventions. Additionally, it is crucial to consider that each method OWAS, RULA, REBA, and PERA has distinct strengths and applications.</p><p><strong>Conclusions: </strong>The research highlights the need for tailored ergonomic interventions for tasks such as 'Incision on the Channel'. Ultimately, the study validates implementing a context-specific approach for assessing ergonomic parameters and intervention measures aimed at enhancing the overall occupational health of rubber tappers.</p>\",\"PeriodicalId\":49833,\"journal\":{\"name\":\"Medicina Del Lavoro\",\"volume\":\"116 3\",\"pages\":\"15875\"},\"PeriodicalIF\":2.0000,\"publicationDate\":\"2025-06-17\",\"publicationTypes\":\"Journal Article\",\"fieldsOfStudy\":null,\"isOpenAccess\":false,\"openAccessPdf\":\"https://www.ncbi.nlm.nih.gov/pmc/articles/PMC12199027/pdf/\",\"citationCount\":\"0\",\"resultStr\":null,\"platform\":\"Semanticscholar\",\"paperid\":null,\"PeriodicalName\":\"Medicina Del Lavoro\",\"FirstCategoryId\":\"3\",\"ListUrlMain\":\"https://doi.org/10.23749/mdl.v116i3.15875\",\"RegionNum\":4,\"RegionCategory\":\"医学\",\"ArticlePicture\":[],\"TitleCN\":null,\"AbstractTextCN\":null,\"PMCID\":null,\"EPubDate\":\"\",\"PubModel\":\"\",\"JCR\":\"Q2\",\"JCRName\":\"PUBLIC, ENVIRONMENTAL & OCCUPATIONAL HEALTH\",\"Score\":null,\"Total\":0}","platform":"Semanticscholar","paperid":null,"PeriodicalName":"Medicina Del Lavoro","FirstCategoryId":"3","ListUrlMain":"https://doi.org/10.23749/mdl.v116i3.15875","RegionNum":4,"RegionCategory":"医学","ArticlePicture":[],"TitleCN":null,"AbstractTextCN":null,"PMCID":null,"EPubDate":"","PubModel":"","JCR":"Q2","JCRName":"PUBLIC, ENVIRONMENTAL & OCCUPATIONAL HEALTH","Score":null,"Total":0}
引用次数: 0

摘要

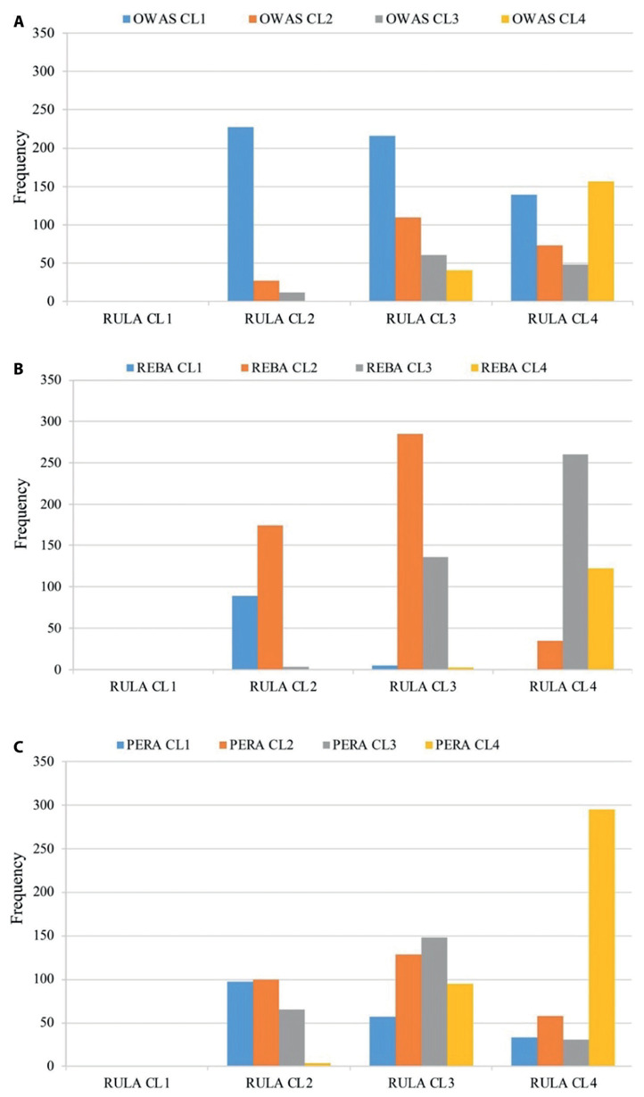
背景:本研究使用OWAS、REBA、RULA和PERA方法对橡胶攻胶者所遇到的姿势进行了全面的人体工程学评估,并比较了各种人体工程学评估方法的风险水平。方法:本研究对印度喀拉拉邦51名打胶工在打胶过程中的姿势进行了调查,分析了1111种不同的工作姿势。姿势评估通过分析工作任务的视频记录,并使用OWAS、REBA、RULA和PERA对姿势进行评估。考虑各方法的侧重点和应用,综合评价体位风险。结果:人口统计学特征表明,劳动人口以从事体力劳动的中年男性居多。结果表明,强调上肢姿势的RULA方法特别适合于评估橡胶敲击时的姿势负荷,强调了将人体工程学工具与工作活动的具体要求相匹配的必要性。OWAS提供总体概述,而RULA侧重于上肢,REBA评估全身姿势,PERA结合循环工作因素,实现有针对性的人体工程学干预。此外,重要的是要考虑到OWAS、RULA、REBA和PERA的每种方法都有不同的优势和应用。结论:该研究强调了对诸如“通道切口”等任务进行量身定制的人体工程学干预的必要性。最后,该研究验证了实施一种特定环境的方法来评估人体工程学参数和干预措施,旨在提高橡胶工人的整体职业健康。
本文章由计算机程序翻译,如有差异,请以英文原文为准。

Posture Assessment of Rubber Tappers: A Comparative Analysis of OWAS, REBA, RULA, and PERA Methods.

Posture Assessment of Rubber Tappers: A Comparative Analysis of OWAS, REBA, RULA, and PERA Methods.

Posture Assessment of Rubber Tappers: A Comparative Analysis of OWAS, REBA, RULA, and PERA Methods.

Posture Assessment of Rubber Tappers: A Comparative Analysis of OWAS, REBA, RULA, and PERA Methods.

Background: The study provides a comprehensive ergonomics assessment of the postures encountered by rubber tappers using the OWAS, REBA, RULA, and PERA methods and compares the risk levels across various ergonomic assessment methodologies.

Methods: The research examines the postures of fifty-one selected rubber tappers from the state of Kerala, India, during rubber tapping, analyzing 1111 different working postures. The postural assessment was conducted by analyzing video recordings of the work tasks and evaluating the postures using OWAS, REBA, RULA, and PERA. Each method's focus and application were considered to comprehensively evaluate the postural risks.

Results: The demographic characteristics indicate that the workforce mostly consists of middle-aged males involved in physically strenuous activities. The result shows that the RULA method, emphasizing upper limb postures, is particularly suited for assessing postural loads in rubber tapping, highlighting the need to match ergonomic tools to the specific demands of work activities. While OWAS provides a general overview, RULA focuses on upper limbs, REBA assesses whole-body postures, and PERA incorporates cyclic work factors, enabling targeted ergonomic interventions. Additionally, it is crucial to consider that each method OWAS, RULA, REBA, and PERA has distinct strengths and applications.

Conclusions: The research highlights the need for tailored ergonomic interventions for tasks such as 'Incision on the Channel'. Ultimately, the study validates implementing a context-specific approach for assessing ergonomic parameters and intervention measures aimed at enhancing the overall occupational health of rubber tappers.

求助全文
通过发布文献求助,成功后即可免费获取论文全文。 去求助
来源期刊
Medicina Del Lavoro
Medicina Del Lavoro 医学-公共卫生、环境卫生与职业卫生
CiteScore
4.70
自引率
7.40%
发文量
42
审稿时长
>12 weeks
期刊介绍: La Medicina del Lavoro is a bimonthly magazine founded in 1901 by L. Devoto, and then directed by L. Prieti, E. Vigliani, V. Foà, P.A. Bertazzi (Milan). Now directed by A. Mutti (Parma), the magazine is the official Journal of the Italian Society of Occupational Medicine (SIML), aimed at training and updating all professionals involved in prevention and cure of occupational diseases.
×
引用
GB/T 7714-2015
复制
MLA
复制
APA
复制
导出至
BibTeX EndNote RefMan NoteFirst NoteExpress
×
提示
您的信息不完整,为了账户安全,请先补充。
现在去补充
×
提示
您因"违规操作"
具体请查看互助需知
我知道了
×
提示
确定
请完成安全验证×
copy
已复制链接
快去分享给好友吧!
我知道了
右上角分享
点击右上角分享
0
联系我们:info@booksci.cn Book学术提供免费学术资源搜索服务,方便国内外学者检索中英文文献。致力于提供最便捷和优质的服务体验。 Copyright © 2023 布克学术 All rights reserved.
京ICP备2023020795号-1
ghs 京公网安备 11010802042870号
Book学术文献互助
Book学术文献互助群
群 号:604180095
Book学术官方微信