新型冠状病毒肺炎大流行后老年患者腹腔镜手术后肺部并发症的Nomogram预测

IF 3.7 3区 医学 Q2 GERIATRICS & GERONTOLOGY
Clinical Interventions in Aging Pub Date : 2025-06-13 eCollection Date: 2025-01-01 DOI:10.2147/CIA.S515849
Di Liu, Dan Liu, Fei Jiang, Yue Zhang, Hui Huang, Lei Zou, Yong Yang
{"title":"新型冠状病毒肺炎大流行后老年患者腹腔镜手术后肺部并发症的Nomogram预测","authors":"Di Liu, Dan Liu, Fei Jiang, Yue Zhang, Hui Huang, Lei Zou, Yong Yang","doi":"10.2147/CIA.S515849","DOIUrl":null,"url":null,"abstract":"<p><strong>Background: </strong>Postoperative pulmonary complications (PPCs) are common and serious after laparoscopic surgery, better than cardiac complications in predicting long-term mortality after non-cardiac surgery. In the post-epidemic era, the specific incidence of PPCs and their risk factors remain unclear.</p><p><strong>Methods: </strong>This two-center retrospective study used the eligible patients' demographics and clinical characteristics to develop a prediction model. These patients who had undergone laparoscopic surgery from January 2023 to April 2024 were randomized into the training set and validation set. The main outcome was the incidence of PPCs. The multi-input processing method was used for missing data imputation. The variables with a <i>P</i>-value ≤0.05 and the covariates considered meaningful in clinical practice in univariate logistic regression analysis were subjected to multivariate logistic regression analysis to determine the independent risk factors of PPCs. The ROC, AUC, calibration curve, and clinical decision curve analysis of both sets were used to evaluate the model's predictive accuracy.</p><p><strong>Results: </strong>278 patients (21.21%) developed PPCs. Surgical site and the comorbidities (except pulmonary diseases), pulmonary abnormalities, 24-h white blood cell count, and 24-h neutrophil percentage before surgery were independent risk factors for PPCs and used for the establishment of a nomogram prediction model for PPC risk in elderly patients. The AUC value, sensitivity, and specificity were 0.88, 75.4%, and 87.6% respectively in the model's ROC curve. Internal verification (AUC: 0.86) confirmed the model's good calibration and discrimination abilities. Clinical decision curve analysis showed that the model had a positive clinical net benefit within the risk threshold range of 0%~30%.</p><p><strong>Conclusion: </strong>This study identified the high-risk individuals of PPCs in elderly patients. PPC risk in elderly patients after laparoscopic surgery could be effectively reduced by optimizing surgical site selection, controlling preoperative comorbidities, adjusting preoperative lung conditions, and monitoring preoperative 24-h white blood cell count and neutrophil percentage.</p>","PeriodicalId":48841,"journal":{"name":"Clinical Interventions in Aging","volume":"20 ","pages":"837-848"},"PeriodicalIF":3.7000,"publicationDate":"2025-06-13","publicationTypes":"Journal Article","fieldsOfStudy":null,"isOpenAccess":false,"openAccessPdf":"https://www.ncbi.nlm.nih.gov/pmc/articles/PMC12174929/pdf/","citationCount":"0","resultStr":"{\"title\":\"A Nomogram for Predicting Pulmonary Complications Following Laparoscopic Surgery in Elderly Patients After the COVID-19 Pandemic.\",\"authors\":\"Di Liu, Dan Liu, Fei Jiang, Yue Zhang, Hui Huang, Lei Zou, Yong Yang\",\"doi\":\"10.2147/CIA.S515849\",\"DOIUrl\":null,\"url\":null,\"abstract\":\"<p><strong>Background: </strong>Postoperative pulmonary complications (PPCs) are common and serious after laparoscopic surgery, better than cardiac complications in predicting long-term mortality after non-cardiac surgery. In the post-epidemic era, the specific incidence of PPCs and their risk factors remain unclear.</p><p><strong>Methods: </strong>This two-center retrospective study used the eligible patients' demographics and clinical characteristics to develop a prediction model. These patients who had undergone laparoscopic surgery from January 2023 to April 2024 were randomized into the training set and validation set. The main outcome was the incidence of PPCs. The multi-input processing method was used for missing data imputation. The variables with a <i>P</i>-value ≤0.05 and the covariates considered meaningful in clinical practice in univariate logistic regression analysis were subjected to multivariate logistic regression analysis to determine the independent risk factors of PPCs. The ROC, AUC, calibration curve, and clinical decision curve analysis of both sets were used to evaluate the model's predictive accuracy.</p><p><strong>Results: </strong>278 patients (21.21%) developed PPCs. Surgical site and the comorbidities (except pulmonary diseases), pulmonary abnormalities, 24-h white blood cell count, and 24-h neutrophil percentage before surgery were independent risk factors for PPCs and used for the establishment of a nomogram prediction model for PPC risk in elderly patients. The AUC value, sensitivity, and specificity were 0.88, 75.4%, and 87.6% respectively in the model's ROC curve. Internal verification (AUC: 0.86) confirmed the model's good calibration and discrimination abilities. Clinical decision curve analysis showed that the model had a positive clinical net benefit within the risk threshold range of 0%~30%.</p><p><strong>Conclusion: </strong>This study identified the high-risk individuals of PPCs in elderly patients. PPC risk in elderly patients after laparoscopic surgery could be effectively reduced by optimizing surgical site selection, controlling preoperative comorbidities, adjusting preoperative lung conditions, and monitoring preoperative 24-h white blood cell count and neutrophil percentage.</p>\",\"PeriodicalId\":48841,\"journal\":{\"name\":\"Clinical Interventions in Aging\",\"volume\":\"20 \",\"pages\":\"837-848\"},\"PeriodicalIF\":3.7000,\"publicationDate\":\"2025-06-13\",\"publicationTypes\":\"Journal Article\",\"fieldsOfStudy\":null,\"isOpenAccess\":false,\"openAccessPdf\":\"https://www.ncbi.nlm.nih.gov/pmc/articles/PMC12174929/pdf/\",\"citationCount\":\"0\",\"resultStr\":null,\"platform\":\"Semanticscholar\",\"paperid\":null,\"PeriodicalName\":\"Clinical Interventions in Aging\",\"FirstCategoryId\":\"3\",\"ListUrlMain\":\"https://doi.org/10.2147/CIA.S515849\",\"RegionNum\":3,\"RegionCategory\":\"医学\",\"ArticlePicture\":[],\"TitleCN\":null,\"AbstractTextCN\":null,\"PMCID\":null,\"EPubDate\":\"2025/1/1 0:00:00\",\"PubModel\":\"eCollection\",\"JCR\":\"Q2\",\"JCRName\":\"GERIATRICS & GERONTOLOGY\",\"Score\":null,\"Total\":0}","platform":"Semanticscholar","paperid":null,"PeriodicalName":"Clinical Interventions in Aging","FirstCategoryId":"3","ListUrlMain":"https://doi.org/10.2147/CIA.S515849","RegionNum":3,"RegionCategory":"医学","ArticlePicture":[],"TitleCN":null,"AbstractTextCN":null,"PMCID":null,"EPubDate":"2025/1/1 0:00:00","PubModel":"eCollection","JCR":"Q2","JCRName":"GERIATRICS & GERONTOLOGY","Score":null,"Total":0}
引用次数: 0

摘要

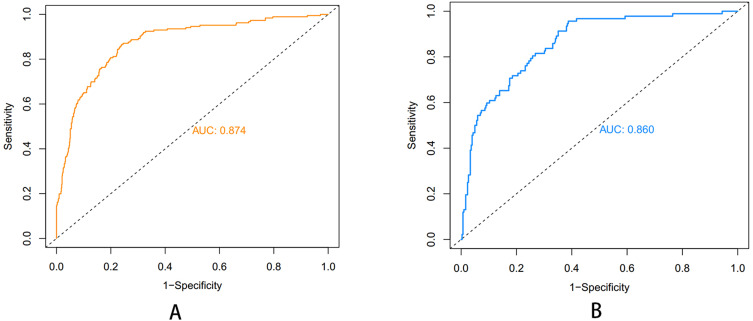
背景:腹腔镜手术后肺部并发症(PPCs)常见且严重,在预测非心脏手术后长期死亡率方面优于心脏并发症。在后流行病时代,PPCs的具体发病率及其危险因素尚不清楚。方法:本双中心回顾性研究采用符合条件的患者人口统计学和临床特征建立预测模型。这些于2023年1月至2024年4月接受腹腔镜手术的患者被随机分为训练集和验证集。主要结果是PPCs的发生率。缺失数据的输入采用多输入处理方法。对单因素logistic回归分析中p值≤0.05的变量和临床实践中认为有意义的协变量进行多因素logistic回归分析,确定PPCs的独立危险因素。采用两组的ROC、AUC、校准曲线和临床决策曲线分析来评价模型的预测准确性。结果:278例(21.21%)发生PPCs。手术部位及合并症(肺部疾病除外)、肺部异常、术前24小时白细胞计数、24小时中性粒细胞百分比为PPC的独立危险因素,并用于建立老年患者PPC风险的nomogram预测模型。模型ROC曲线的AUC值为0.88,灵敏度为75.4%,特异度为87.6%。内部验证(AUC: 0.86)证实该模型具有良好的标定和判别能力。临床决策曲线分析表明,该模型在0%~30%的风险阈值范围内具有正的临床净效益。结论:本研究确定了老年患者PPCs的高危人群。通过优化手术部位选择、控制术前合并症、调整术前肺部状况、监测术前24小时白细胞计数和中性粒细胞百分比,可有效降低老年腹腔镜术后PPC风险。
本文章由计算机程序翻译,如有差异,请以英文原文为准。

A Nomogram for Predicting Pulmonary Complications Following Laparoscopic Surgery in Elderly Patients After the COVID-19 Pandemic.

A Nomogram for Predicting Pulmonary Complications Following Laparoscopic Surgery in Elderly Patients After the COVID-19 Pandemic.

A Nomogram for Predicting Pulmonary Complications Following Laparoscopic Surgery in Elderly Patients After the COVID-19 Pandemic.

A Nomogram for Predicting Pulmonary Complications Following Laparoscopic Surgery in Elderly Patients After the COVID-19 Pandemic.

Background: Postoperative pulmonary complications (PPCs) are common and serious after laparoscopic surgery, better than cardiac complications in predicting long-term mortality after non-cardiac surgery. In the post-epidemic era, the specific incidence of PPCs and their risk factors remain unclear.

Methods: This two-center retrospective study used the eligible patients' demographics and clinical characteristics to develop a prediction model. These patients who had undergone laparoscopic surgery from January 2023 to April 2024 were randomized into the training set and validation set. The main outcome was the incidence of PPCs. The multi-input processing method was used for missing data imputation. The variables with a P-value ≤0.05 and the covariates considered meaningful in clinical practice in univariate logistic regression analysis were subjected to multivariate logistic regression analysis to determine the independent risk factors of PPCs. The ROC, AUC, calibration curve, and clinical decision curve analysis of both sets were used to evaluate the model's predictive accuracy.

Results: 278 patients (21.21%) developed PPCs. Surgical site and the comorbidities (except pulmonary diseases), pulmonary abnormalities, 24-h white blood cell count, and 24-h neutrophil percentage before surgery were independent risk factors for PPCs and used for the establishment of a nomogram prediction model for PPC risk in elderly patients. The AUC value, sensitivity, and specificity were 0.88, 75.4%, and 87.6% respectively in the model's ROC curve. Internal verification (AUC: 0.86) confirmed the model's good calibration and discrimination abilities. Clinical decision curve analysis showed that the model had a positive clinical net benefit within the risk threshold range of 0%~30%.

Conclusion: This study identified the high-risk individuals of PPCs in elderly patients. PPC risk in elderly patients after laparoscopic surgery could be effectively reduced by optimizing surgical site selection, controlling preoperative comorbidities, adjusting preoperative lung conditions, and monitoring preoperative 24-h white blood cell count and neutrophil percentage.

求助全文
通过发布文献求助,成功后即可免费获取论文全文。 去求助
来源期刊
Clinical Interventions in Aging
Clinical Interventions in Aging GERIATRICS & GERONTOLOGY-
CiteScore
6.80
自引率
2.80%
发文量
193
审稿时长
6-12 weeks
期刊介绍: Clinical Interventions in Aging, is an online, peer reviewed, open access journal focusing on concise rapid reporting of original research and reviews in aging. Special attention will be given to papers reporting on actual or potential clinical applications leading to improved prevention or treatment of disease or a greater understanding of pathological processes that result from maladaptive changes in the body associated with aging. This journal is directed at a wide array of scientists, engineers, pharmacists, pharmacologists and clinical specialists wishing to maintain an up to date knowledge of this exciting and emerging field.
×
引用
GB/T 7714-2015
复制
MLA
复制
APA
复制
导出至
BibTeX EndNote RefMan NoteFirst NoteExpress
×
提示
您的信息不完整,为了账户安全,请先补充。
现在去补充
×
提示
您因"违规操作"
具体请查看互助需知
我知道了
×
提示
确定
请完成安全验证×
copy
已复制链接
快去分享给好友吧!
我知道了
右上角分享
点击右上角分享
0
联系我们:info@booksci.cn Book学术提供免费学术资源搜索服务,方便国内外学者检索中英文文献。致力于提供最便捷和优质的服务体验。 Copyright © 2023 布克学术 All rights reserved.
京ICP备2023020795号-1
ghs 京公网安备 11010802042870号
Book学术文献互助
Book学术文献互助群
群 号:604180095
Book学术官方微信