家族史和性别对2型糖尿病患者糖尿病相关结局的影响——来自蒂洛尔糖尿病登记的分析

IF 2.6 3区 综合性期刊 Q1 MULTIDISCIPLINARY SCIENCES
PLoS ONE Pub Date : 2025-06-18 eCollection Date: 2025-01-01 DOI:10.1371/journal.pone.0324696
Clemens Plattner, Bernhard Pfeifer, Harald Sourij, David Vill, Marietta Wiedl, Klaus Middeldorf, Egon Eisendle, Robert Eiter, Christian Ciardi, Karin Pölzl, Julia Schock, Di Chen-König, Martin Juchum, Gerald Bode, Bernhard Heindl, Christian Hengl, Karl Kirchmeyr, Lisa Rieger, Ursula Köllensberger, Andrea Schwaiger, Günther Ladner, Monika Lechleitner, Sabrina Neururer, Herbert Tilg, Susanne Kaser
{"title":"家族史和性别对2型糖尿病患者糖尿病相关结局的影响——来自蒂洛尔糖尿病登记的分析","authors":"Clemens Plattner, Bernhard Pfeifer, Harald Sourij, David Vill, Marietta Wiedl, Klaus Middeldorf, Egon Eisendle, Robert Eiter, Christian Ciardi, Karin Pölzl, Julia Schock, Di Chen-König, Martin Juchum, Gerald Bode, Bernhard Heindl, Christian Hengl, Karl Kirchmeyr, Lisa Rieger, Ursula Köllensberger, Andrea Schwaiger, Günther Ladner, Monika Lechleitner, Sabrina Neururer, Herbert Tilg, Susanne Kaser","doi":"10.1371/journal.pone.0324696","DOIUrl":null,"url":null,"abstract":"<p><strong>Aims: </strong>Family history for diabetes (FHD) is a strong risk factor for type 2 diabetes (T2D), however, little is known on its effects on the outcome. Here we aimed to analyse the effects of FHD on diabetes-related outcome.</p><p><strong>Methods: </strong>7866 patients with T2D from the Tyrolean Diabetes Registry were grouped according to their FHD status. Propensity score matching for sex, BMI, HbA1c and diabetes duration provided 1440 patients per group. Survival curves were estimated using the Kaplan-Meier plot and compared using the Log-rank test.</p><p><strong>Results: </strong>Mean age at T2D diagnosis was significantly lower in the FHD group, while time to insulin initiation was independent from FHD status. FHD was associated with increased risk for neuropathy (HR 1.41 [95%CI 1.11-1.81]) but decreased risk for macrovascular disease (HR 0.84 [95%CI 0.71-0.99]). Risk for total macrovascular disease, myocardial infarction, coronary artery bypass surgery and peripheral artery disease was increased by 73-156% in males in matched groups.</p><p><strong>Conclusion: </strong>Family history for diabetes is not only associated with earlier diagnosis of type 2 diabetes but also affects diabetes-related outcomes with males being more prone to cardiovascular disease and patients with FHD to increased risk for neuropathy but decreased risk for macrovascular disease.</p>","PeriodicalId":20189,"journal":{"name":"PLoS ONE","volume":"20 6","pages":"e0324696"},"PeriodicalIF":2.6000,"publicationDate":"2025-06-18","publicationTypes":"Journal Article","fieldsOfStudy":null,"isOpenAccess":false,"openAccessPdf":"https://www.ncbi.nlm.nih.gov/pmc/articles/PMC12176189/pdf/","citationCount":"0","resultStr":"{\"title\":\"Effects of family history and sex on diabetes-related outcome in type 2 diabetes - Analysis from the tyrolean diabetes registry.\",\"authors\":\"Clemens Plattner, Bernhard Pfeifer, Harald Sourij, David Vill, Marietta Wiedl, Klaus Middeldorf, Egon Eisendle, Robert Eiter, Christian Ciardi, Karin Pölzl, Julia Schock, Di Chen-König, Martin Juchum, Gerald Bode, Bernhard Heindl, Christian Hengl, Karl Kirchmeyr, Lisa Rieger, Ursula Köllensberger, Andrea Schwaiger, Günther Ladner, Monika Lechleitner, Sabrina Neururer, Herbert Tilg, Susanne Kaser\",\"doi\":\"10.1371/journal.pone.0324696\",\"DOIUrl\":null,\"url\":null,\"abstract\":\"<p><strong>Aims: </strong>Family history for diabetes (FHD) is a strong risk factor for type 2 diabetes (T2D), however, little is known on its effects on the outcome. Here we aimed to analyse the effects of FHD on diabetes-related outcome.</p><p><strong>Methods: </strong>7866 patients with T2D from the Tyrolean Diabetes Registry were grouped according to their FHD status. Propensity score matching for sex, BMI, HbA1c and diabetes duration provided 1440 patients per group. Survival curves were estimated using the Kaplan-Meier plot and compared using the Log-rank test.</p><p><strong>Results: </strong>Mean age at T2D diagnosis was significantly lower in the FHD group, while time to insulin initiation was independent from FHD status. FHD was associated with increased risk for neuropathy (HR 1.41 [95%CI 1.11-1.81]) but decreased risk for macrovascular disease (HR 0.84 [95%CI 0.71-0.99]). Risk for total macrovascular disease, myocardial infarction, coronary artery bypass surgery and peripheral artery disease was increased by 73-156% in males in matched groups.</p><p><strong>Conclusion: </strong>Family history for diabetes is not only associated with earlier diagnosis of type 2 diabetes but also affects diabetes-related outcomes with males being more prone to cardiovascular disease and patients with FHD to increased risk for neuropathy but decreased risk for macrovascular disease.</p>\",\"PeriodicalId\":20189,\"journal\":{\"name\":\"PLoS ONE\",\"volume\":\"20 6\",\"pages\":\"e0324696\"},\"PeriodicalIF\":2.6000,\"publicationDate\":\"2025-06-18\",\"publicationTypes\":\"Journal Article\",\"fieldsOfStudy\":null,\"isOpenAccess\":false,\"openAccessPdf\":\"https://www.ncbi.nlm.nih.gov/pmc/articles/PMC12176189/pdf/\",\"citationCount\":\"0\",\"resultStr\":null,\"platform\":\"Semanticscholar\",\"paperid\":null,\"PeriodicalName\":\"PLoS ONE\",\"FirstCategoryId\":\"103\",\"ListUrlMain\":\"https://doi.org/10.1371/journal.pone.0324696\",\"RegionNum\":3,\"RegionCategory\":\"综合性期刊\",\"ArticlePicture\":[],\"TitleCN\":null,\"AbstractTextCN\":null,\"PMCID\":null,\"EPubDate\":\"2025/1/1 0:00:00\",\"PubModel\":\"eCollection\",\"JCR\":\"Q1\",\"JCRName\":\"MULTIDISCIPLINARY SCIENCES\",\"Score\":null,\"Total\":0}","platform":"Semanticscholar","paperid":null,"PeriodicalName":"PLoS ONE","FirstCategoryId":"103","ListUrlMain":"https://doi.org/10.1371/journal.pone.0324696","RegionNum":3,"RegionCategory":"综合性期刊","ArticlePicture":[],"TitleCN":null,"AbstractTextCN":null,"PMCID":null,"EPubDate":"2025/1/1 0:00:00","PubModel":"eCollection","JCR":"Q1","JCRName":"MULTIDISCIPLINARY SCIENCES","Score":null,"Total":0}
引用次数: 0

摘要

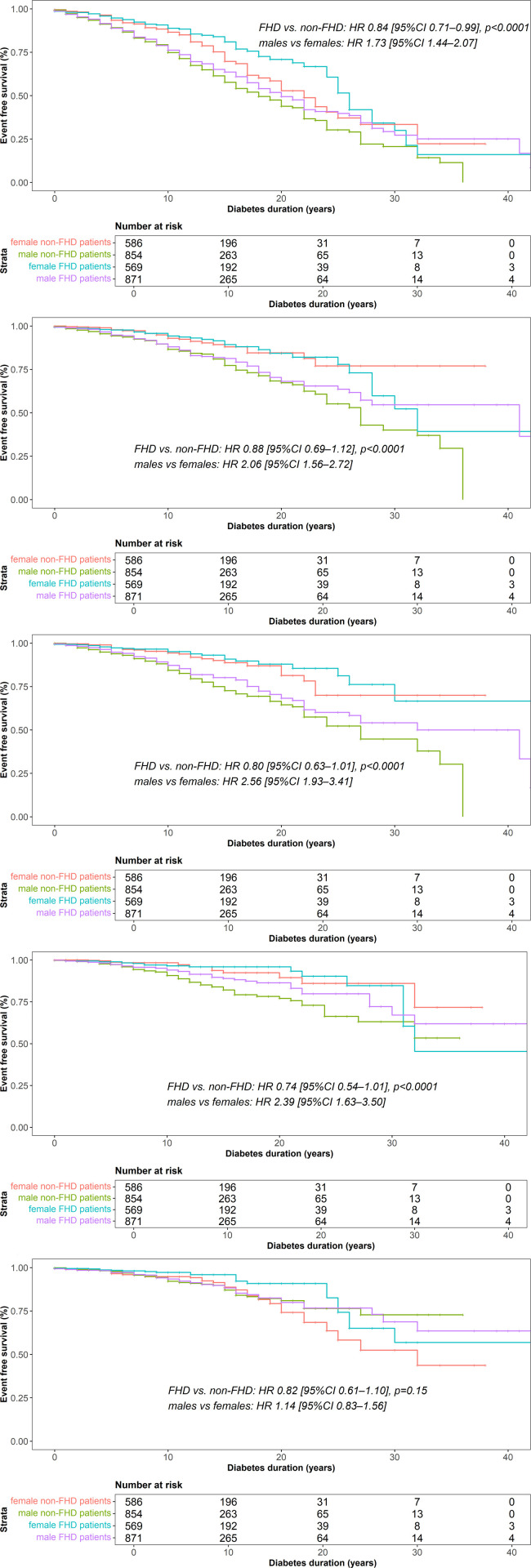
目的:糖尿病家族史(FHD)是2型糖尿病(T2D)的一个重要危险因素,然而,它对结果的影响知之甚少。在这里,我们的目的是分析FHD对糖尿病相关结局的影响。方法:7866例来自Tyrolean糖尿病登记处的t2dm患者根据FHD状态进行分组。匹配性别、BMI、HbA1c和糖尿病病程的倾向评分为每组1440例患者。使用Kaplan-Meier图估计生存曲线,使用Log-rank检验进行比较。结果:FHD组T2D诊断的平均年龄明显低于FHD组,而胰岛素启动时间与FHD状态无关。FHD与神经病变风险增加相关(HR 1.41 [95%CI 1.11-1.81]),但与大血管疾病风险降低相关(HR 0.84 [95%CI 0.71-0.99])。匹配组男性发生总大血管疾病、心肌梗死、冠状动脉搭桥手术和外周动脉疾病的风险增加了73-156%。结论:糖尿病家族史不仅与2型糖尿病的早期诊断有关,而且影响糖尿病相关结果,男性更容易患心血管疾病,FHD患者患神经病变的风险增加,但患大血管疾病的风险降低。
本文章由计算机程序翻译,如有差异,请以英文原文为准。

Effects of family history and sex on diabetes-related outcome in type 2 diabetes - Analysis from the tyrolean diabetes registry.

Effects of family history and sex on diabetes-related outcome in type 2 diabetes - Analysis from the tyrolean diabetes registry.

Effects of family history and sex on diabetes-related outcome in type 2 diabetes - Analysis from the tyrolean diabetes registry.

Effects of family history and sex on diabetes-related outcome in type 2 diabetes - Analysis from the tyrolean diabetes registry.

Aims: Family history for diabetes (FHD) is a strong risk factor for type 2 diabetes (T2D), however, little is known on its effects on the outcome. Here we aimed to analyse the effects of FHD on diabetes-related outcome.

Methods: 7866 patients with T2D from the Tyrolean Diabetes Registry were grouped according to their FHD status. Propensity score matching for sex, BMI, HbA1c and diabetes duration provided 1440 patients per group. Survival curves were estimated using the Kaplan-Meier plot and compared using the Log-rank test.

Results: Mean age at T2D diagnosis was significantly lower in the FHD group, while time to insulin initiation was independent from FHD status. FHD was associated with increased risk for neuropathy (HR 1.41 [95%CI 1.11-1.81]) but decreased risk for macrovascular disease (HR 0.84 [95%CI 0.71-0.99]). Risk for total macrovascular disease, myocardial infarction, coronary artery bypass surgery and peripheral artery disease was increased by 73-156% in males in matched groups.

Conclusion: Family history for diabetes is not only associated with earlier diagnosis of type 2 diabetes but also affects diabetes-related outcomes with males being more prone to cardiovascular disease and patients with FHD to increased risk for neuropathy but decreased risk for macrovascular disease.

求助全文
通过发布文献求助,成功后即可免费获取论文全文。 去求助
来源期刊
PLoS ONE
PLoS ONE 生物-生物学
CiteScore
6.20
自引率
5.40%
发文量
14242
审稿时长
3.7 months
期刊介绍: PLOS ONE is an international, peer-reviewed, open-access, online publication. PLOS ONE welcomes reports on primary research from any scientific discipline. It provides: * Open-access—freely accessible online, authors retain copyright * Fast publication times * Peer review by expert, practicing researchers * Post-publication tools to indicate quality and impact * Community-based dialogue on articles * Worldwide media coverage
×
引用
GB/T 7714-2015
复制
MLA
复制
APA
复制
导出至
BibTeX EndNote RefMan NoteFirst NoteExpress
×
提示
您的信息不完整,为了账户安全,请先补充。
现在去补充
×
提示
您因"违规操作"
具体请查看互助需知
我知道了
×
提示
确定
请完成安全验证×
copy
已复制链接
快去分享给好友吧!
我知道了
右上角分享
点击右上角分享
0
联系我们:info@booksci.cn Book学术提供免费学术资源搜索服务,方便国内外学者检索中英文文献。致力于提供最便捷和优质的服务体验。 Copyright © 2023 布克学术 All rights reserved.
京ICP备2023020795号-1
ghs 京公网安备 11010802042870号
Book学术文献互助
Book学术文献互助群
群 号:604180095
Book学术官方微信