低温胁迫下梨形孢子菌和丛枝菌根真菌对辣木生长和生理的影响。

IF 1.7 4区 生物学 Q3 BIOLOGY
Open Life Sciences Pub Date : 2025-06-13 eCollection Date: 2025-01-01 DOI:10.1515/biol-2025-1111
Guo Zhou, Sini Wu, Meichun Qiu, Yingtong Long, Qian He, Junjie Zhang
{"title":"低温胁迫下梨形孢子菌和丛枝菌根真菌对辣木生长和生理的影响。","authors":"Guo Zhou, Sini Wu, Meichun Qiu, Yingtong Long, Qian He, Junjie Zhang","doi":"10.1515/biol-2025-1111","DOIUrl":null,"url":null,"abstract":"<p><p><i>Moringa</i> is a perennial tree with high nutritional value, and it is drought tolerant and barren but has poor cold resistance during the seedling stage. This study selected <i>Piriformospora indica</i> (PI) and arbuscular mycorrhizal fungus (AM) as inoculants, <i>Moringa</i> seedlings were inoculated, and their growth and physiological responses were evaluated under different low-temperature stress times. The research results show that PI and AM can symbiotically associate with <i>Moringa</i> successfully and promote their nutritional growth. At low temperature, Moringa inoculated with PI and AM exhibited better physiological resistance. However, the effect of mixed inoculation of PI and AM is not as significant as that of single inoculation of any strain. Inoculating plant growth-promoting rhizobia (PGPR) reduced the richness of fungal communities and the number of unique operational taxonomic units (OTUs), with PI being the most prominent. Vaccination with PGPR also increased bacterial diversity, richness, and the number of unique OTUs, with AM inoculation showing the most prominent performance. This suggests that <i>Moringa</i> seedling growth and responsiveness to low-temperature stress are significantly influenced by PGPR, and there may be interactions between different bacterial strains. The results suggest that PGPR can improve the yield and quality of <i>Moringa</i> by promoting growth and regulating stress resistance.</p>","PeriodicalId":19605,"journal":{"name":"Open Life Sciences","volume":"20 1","pages":"20251111"},"PeriodicalIF":1.7000,"publicationDate":"2025-06-13","publicationTypes":"Journal Article","fieldsOfStudy":null,"isOpenAccess":false,"openAccessPdf":"https://www.ncbi.nlm.nih.gov/pmc/articles/PMC12176005/pdf/","citationCount":"0","resultStr":"{\"title\":\"Effects of <i>Piriformospora indica</i> and arbuscular mycorrhizal fungus on growth and physiology of <i>Moringa oleifera</i> under low-temperature stress.\",\"authors\":\"Guo Zhou, Sini Wu, Meichun Qiu, Yingtong Long, Qian He, Junjie Zhang\",\"doi\":\"10.1515/biol-2025-1111\",\"DOIUrl\":null,\"url\":null,\"abstract\":\"<p><p><i>Moringa</i> is a perennial tree with high nutritional value, and it is drought tolerant and barren but has poor cold resistance during the seedling stage. This study selected <i>Piriformospora indica</i> (PI) and arbuscular mycorrhizal fungus (AM) as inoculants, <i>Moringa</i> seedlings were inoculated, and their growth and physiological responses were evaluated under different low-temperature stress times. The research results show that PI and AM can symbiotically associate with <i>Moringa</i> successfully and promote their nutritional growth. At low temperature, Moringa inoculated with PI and AM exhibited better physiological resistance. However, the effect of mixed inoculation of PI and AM is not as significant as that of single inoculation of any strain. Inoculating plant growth-promoting rhizobia (PGPR) reduced the richness of fungal communities and the number of unique operational taxonomic units (OTUs), with PI being the most prominent. Vaccination with PGPR also increased bacterial diversity, richness, and the number of unique OTUs, with AM inoculation showing the most prominent performance. This suggests that <i>Moringa</i> seedling growth and responsiveness to low-temperature stress are significantly influenced by PGPR, and there may be interactions between different bacterial strains. The results suggest that PGPR can improve the yield and quality of <i>Moringa</i> by promoting growth and regulating stress resistance.</p>\",\"PeriodicalId\":19605,\"journal\":{\"name\":\"Open Life Sciences\",\"volume\":\"20 1\",\"pages\":\"20251111\"},\"PeriodicalIF\":1.7000,\"publicationDate\":\"2025-06-13\",\"publicationTypes\":\"Journal Article\",\"fieldsOfStudy\":null,\"isOpenAccess\":false,\"openAccessPdf\":\"https://www.ncbi.nlm.nih.gov/pmc/articles/PMC12176005/pdf/\",\"citationCount\":\"0\",\"resultStr\":null,\"platform\":\"Semanticscholar\",\"paperid\":null,\"PeriodicalName\":\"Open Life Sciences\",\"FirstCategoryId\":\"99\",\"ListUrlMain\":\"https://doi.org/10.1515/biol-2025-1111\",\"RegionNum\":4,\"RegionCategory\":\"生物学\",\"ArticlePicture\":[],\"TitleCN\":null,\"AbstractTextCN\":null,\"PMCID\":null,\"EPubDate\":\"2025/1/1 0:00:00\",\"PubModel\":\"eCollection\",\"JCR\":\"Q3\",\"JCRName\":\"BIOLOGY\",\"Score\":null,\"Total\":0}","platform":"Semanticscholar","paperid":null,"PeriodicalName":"Open Life Sciences","FirstCategoryId":"99","ListUrlMain":"https://doi.org/10.1515/biol-2025-1111","RegionNum":4,"RegionCategory":"生物学","ArticlePicture":[],"TitleCN":null,"AbstractTextCN":null,"PMCID":null,"EPubDate":"2025/1/1 0:00:00","PubModel":"eCollection","JCR":"Q3","JCRName":"BIOLOGY","Score":null,"Total":0}
引用次数: 0

摘要

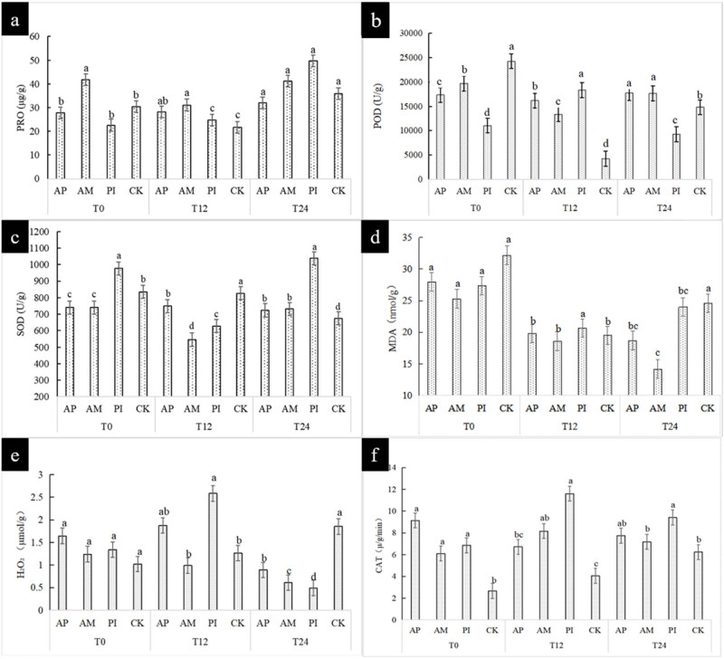
辣木是一种营养价值较高的多年生乔木,苗期耐旱贫瘠,耐寒性较差。本研究选用Piriformospora indica (PI)和arbuscular mycorrhizal fungus (AM)作为接种剂,接种辣木幼苗,对不同低温胁迫时间下辣木幼苗的生长和生理反应进行了评价。研究结果表明,PI和AM能与辣木成功共生,促进辣木营养生长。在低温条件下,接种了PI和AM的辣木表现出较好的生理抗性。然而,混合接种PI和AM的效果不如单一接种任何菌株的效果显著。接种植物促生根瘤菌(PGPR)降低了真菌群落的丰富度和独特操作分类单位(OTUs)的数量,其中PI的影响最为显著。接种PGPR也增加了细菌的多样性、丰富度和独特otu的数量,其中接种AM表现出最显著的效果。由此可见,PGPR对辣木幼苗的生长和对低温胁迫的响应有显著影响,不同菌株之间可能存在相互作用。结果表明,PGPR可以通过促进辣木生长和调节抗逆性来提高辣木的产量和品质。
本文章由计算机程序翻译,如有差异,请以英文原文为准。

Effects of <i>Piriformospora indica</i> and arbuscular mycorrhizal fungus on growth and physiology of <i>Moringa oleifera</i> under low-temperature stress.

Effects of <i>Piriformospora indica</i> and arbuscular mycorrhizal fungus on growth and physiology of <i>Moringa oleifera</i> under low-temperature stress.

Effects of <i>Piriformospora indica</i> and arbuscular mycorrhizal fungus on growth and physiology of <i>Moringa oleifera</i> under low-temperature stress.

Effects of Piriformospora indica and arbuscular mycorrhizal fungus on growth and physiology of Moringa oleifera under low-temperature stress.

Moringa is a perennial tree with high nutritional value, and it is drought tolerant and barren but has poor cold resistance during the seedling stage. This study selected Piriformospora indica (PI) and arbuscular mycorrhizal fungus (AM) as inoculants, Moringa seedlings were inoculated, and their growth and physiological responses were evaluated under different low-temperature stress times. The research results show that PI and AM can symbiotically associate with Moringa successfully and promote their nutritional growth. At low temperature, Moringa inoculated with PI and AM exhibited better physiological resistance. However, the effect of mixed inoculation of PI and AM is not as significant as that of single inoculation of any strain. Inoculating plant growth-promoting rhizobia (PGPR) reduced the richness of fungal communities and the number of unique operational taxonomic units (OTUs), with PI being the most prominent. Vaccination with PGPR also increased bacterial diversity, richness, and the number of unique OTUs, with AM inoculation showing the most prominent performance. This suggests that Moringa seedling growth and responsiveness to low-temperature stress are significantly influenced by PGPR, and there may be interactions between different bacterial strains. The results suggest that PGPR can improve the yield and quality of Moringa by promoting growth and regulating stress resistance.

求助全文
通过发布文献求助,成功后即可免费获取论文全文。 去求助
来源期刊
CiteScore
2.50
自引率
4.50%
发文量
131
审稿时长
43 weeks
期刊介绍: Open Life Sciences (previously Central European Journal of Biology) is a fast growing peer-reviewed journal, devoted to scholarly research in all areas of life sciences, such as molecular biology, plant science, biotechnology, cell biology, biochemistry, biophysics, microbiology and virology, ecology, differentiation and development, genetics and many others. Open Life Sciences assures top quality of published data through critical peer review and editorial involvement throughout the whole publication process. Thanks to the Open Access model of publishing, it also offers unrestricted access to published articles for all users.
×
引用
GB/T 7714-2015
复制
MLA
复制
APA
复制
导出至
BibTeX EndNote RefMan NoteFirst NoteExpress
×
提示
您的信息不完整,为了账户安全,请先补充。
现在去补充
×
提示
您因"违规操作"
具体请查看互助需知
我知道了
×
提示
确定
请完成安全验证×
copy
已复制链接
快去分享给好友吧!
我知道了
右上角分享
点击右上角分享
0
联系我们:info@booksci.cn Book学术提供免费学术资源搜索服务,方便国内外学者检索中英文文献。致力于提供最便捷和优质的服务体验。 Copyright © 2023 布克学术 All rights reserved.
京ICP备2023020795号-1
ghs 京公网安备 11010802042870号
Book学术文献互助
Book学术文献互助群
群 号:604180095
Book学术官方微信