囊性纤维化患者小气道内溶栓/溶栓/溶栓的影响。

IF 3 4区 医学 Q2 RESPIRATORY SYSTEM
Jornal Brasileiro De Pneumologia Pub Date : 2025-06-13 eCollection Date: 2025-01-01 DOI:10.36416/1806-3756/e20240406
Sofia Campos Silva, Andreia Barroso, Maria Cunha, Elsa Fragoso, Pilar Azevedo
{"title":"囊性纤维化患者小气道内溶栓/溶栓/溶栓的影响。","authors":"Sofia Campos Silva, Andreia Barroso, Maria Cunha, Elsa Fragoso, Pilar Azevedo","doi":"10.36416/1806-3756/e20240406","DOIUrl":null,"url":null,"abstract":"<p><strong>Objective: </strong>To evaluate the impact of the elexacaftor/tezacaftor/ivacaftor (ELX/TEZ/IVA) combination on the small airways in adults with cystic fibrosis (CF), a genetic disorder that primarily affects the respiratory system, leading to progressive lung disease. In CF, the small airways play a critical role, contributing to chronic symptoms such as cough, sputum production, and dyspnea.</p><p><strong>Methods: </strong>This was a single-center, retrospective observational study of adults with CF treated with ELX/TEZ/IVA for 12 months. We compared the patients who were homozygous for the F508del mutation of the CF transmembrane conductance regulator (CFTR) gene with those who were heterozygous for that mutation, in terms of lung function outcomes (FEV1, FEF25-75%, and the RV/TLC ratio) and the extent of non-homogeneous ground-glass opacity. Among the patients within the cohort, the same parameters were evaluated separately in those who had advanced lung disease and in those who had previously undergone CFTR modulator therapy.</p><p><strong>Results: </strong>There was a significant post-treatment improvement in lung function, with a median increase of 0.42 L/s in the FEF25-75% (p < 0.001) and a 5% reduction in the mean RV/TLC ratio (p < 0.001). There was a trend toward a higher improvement the F508del homozygous patients. A significant reduction in non-homogeneous ground-glass opacity was observed in 79.5% of the patients. Among the patients with advanced lung disease, there were notable post-treatment improvements in all of the parameters assessed.</p><p><strong>Conclusions: </strong>Our results highlight the positive impact that ELX/TEZ/IVA treatment can have on small airway function in patients with CF, with potential benefits even for those with advanced lung disease. Further research is needed in order to evaluate the long-term effects of this treatment and its relationship with patient-reported outcomes.</p>","PeriodicalId":14845,"journal":{"name":"Jornal Brasileiro De Pneumologia","volume":"51 2","pages":"e20240406"},"PeriodicalIF":3.0000,"publicationDate":"2025-06-13","publicationTypes":"Journal Article","fieldsOfStudy":null,"isOpenAccess":false,"openAccessPdf":"https://www.ncbi.nlm.nih.gov/pmc/articles/PMC12401089/pdf/","citationCount":"0","resultStr":"{\"title\":\"Impact of elexacaftor/tezacaftor/ivacaftor on the small airways in cystic fibrosis.\",\"authors\":\"Sofia Campos Silva, Andreia Barroso, Maria Cunha, Elsa Fragoso, Pilar Azevedo\",\"doi\":\"10.36416/1806-3756/e20240406\",\"DOIUrl\":null,\"url\":null,\"abstract\":\"<p><strong>Objective: </strong>To evaluate the impact of the elexacaftor/tezacaftor/ivacaftor (ELX/TEZ/IVA) combination on the small airways in adults with cystic fibrosis (CF), a genetic disorder that primarily affects the respiratory system, leading to progressive lung disease. In CF, the small airways play a critical role, contributing to chronic symptoms such as cough, sputum production, and dyspnea.</p><p><strong>Methods: </strong>This was a single-center, retrospective observational study of adults with CF treated with ELX/TEZ/IVA for 12 months. We compared the patients who were homozygous for the F508del mutation of the CF transmembrane conductance regulator (CFTR) gene with those who were heterozygous for that mutation, in terms of lung function outcomes (FEV1, FEF25-75%, and the RV/TLC ratio) and the extent of non-homogeneous ground-glass opacity. Among the patients within the cohort, the same parameters were evaluated separately in those who had advanced lung disease and in those who had previously undergone CFTR modulator therapy.</p><p><strong>Results: </strong>There was a significant post-treatment improvement in lung function, with a median increase of 0.42 L/s in the FEF25-75% (p < 0.001) and a 5% reduction in the mean RV/TLC ratio (p < 0.001). There was a trend toward a higher improvement the F508del homozygous patients. A significant reduction in non-homogeneous ground-glass opacity was observed in 79.5% of the patients. Among the patients with advanced lung disease, there were notable post-treatment improvements in all of the parameters assessed.</p><p><strong>Conclusions: </strong>Our results highlight the positive impact that ELX/TEZ/IVA treatment can have on small airway function in patients with CF, with potential benefits even for those with advanced lung disease. Further research is needed in order to evaluate the long-term effects of this treatment and its relationship with patient-reported outcomes.</p>\",\"PeriodicalId\":14845,\"journal\":{\"name\":\"Jornal Brasileiro De Pneumologia\",\"volume\":\"51 2\",\"pages\":\"e20240406\"},\"PeriodicalIF\":3.0000,\"publicationDate\":\"2025-06-13\",\"publicationTypes\":\"Journal Article\",\"fieldsOfStudy\":null,\"isOpenAccess\":false,\"openAccessPdf\":\"https://www.ncbi.nlm.nih.gov/pmc/articles/PMC12401089/pdf/\",\"citationCount\":\"0\",\"resultStr\":null,\"platform\":\"Semanticscholar\",\"paperid\":null,\"PeriodicalName\":\"Jornal Brasileiro De Pneumologia\",\"FirstCategoryId\":\"3\",\"ListUrlMain\":\"https://doi.org/10.36416/1806-3756/e20240406\",\"RegionNum\":4,\"RegionCategory\":\"医学\",\"ArticlePicture\":[],\"TitleCN\":null,\"AbstractTextCN\":null,\"PMCID\":null,\"EPubDate\":\"2025/1/1 0:00:00\",\"PubModel\":\"eCollection\",\"JCR\":\"Q2\",\"JCRName\":\"RESPIRATORY SYSTEM\",\"Score\":null,\"Total\":0}","platform":"Semanticscholar","paperid":null,"PeriodicalName":"Jornal Brasileiro De Pneumologia","FirstCategoryId":"3","ListUrlMain":"https://doi.org/10.36416/1806-3756/e20240406","RegionNum":4,"RegionCategory":"医学","ArticlePicture":[],"TitleCN":null,"AbstractTextCN":null,"PMCID":null,"EPubDate":"2025/1/1 0:00:00","PubModel":"eCollection","JCR":"Q2","JCRName":"RESPIRATORY SYSTEM","Score":null,"Total":0}
引用次数: 0

摘要

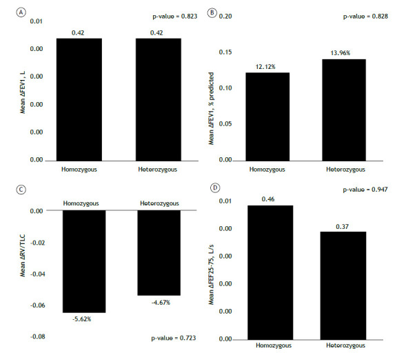
目的:评价elexaftor /tezacaftor/ivacaftor (ELX/TEZ/IVA)组合对囊性纤维化(CF)成人小气道的影响。CF是一种主要影响呼吸系统的遗传性疾病,导致进行性肺部疾病。在CF中,小气道起关键作用,导致慢性症状,如咳嗽、咳痰和呼吸困难。方法:这是一项单中心、回顾性观察性研究,研究对象是接受ELX/TEZ/IVA治疗12个月的成年CF患者。我们比较了CF跨膜传导调节因子(CFTR)基因F508del突变纯合的患者和该突变杂合的患者,在肺功能结果(FEV1, FEF25-75%, RV/TLC比率)和非均匀毛玻璃混浊程度方面。在队列中的患者中,分别对患有晚期肺部疾病的患者和先前接受过CFTR调节剂治疗的患者进行相同的参数评估。结果:治疗后肺功能有显著改善,FEF25-75%时中位数增加0.42 L/s (p < 0.001),平均RV/TLC比降低5% (p < 0.001)。F508del纯合子患者有更高的改善趋势。在79.5%的患者中观察到非均匀毛玻璃混浊的显著减少。在晚期肺部疾病患者中,治疗后所有评估参数均有显著改善。结论:我们的研究结果强调了ELX/TEZ/IVA治疗对CF患者小气道功能的积极影响,甚至对晚期肺部疾病患者也有潜在的益处。为了评估这种治疗的长期效果及其与患者报告结果的关系,需要进一步的研究。
本文章由计算机程序翻译,如有差异,请以英文原文为准。

Impact of elexacaftor/tezacaftor/ivacaftor on the small airways in cystic fibrosis.

Impact of elexacaftor/tezacaftor/ivacaftor on the small airways in cystic fibrosis.

Impact of elexacaftor/tezacaftor/ivacaftor on the small airways in cystic fibrosis.

Objective: To evaluate the impact of the elexacaftor/tezacaftor/ivacaftor (ELX/TEZ/IVA) combination on the small airways in adults with cystic fibrosis (CF), a genetic disorder that primarily affects the respiratory system, leading to progressive lung disease. In CF, the small airways play a critical role, contributing to chronic symptoms such as cough, sputum production, and dyspnea.

Methods: This was a single-center, retrospective observational study of adults with CF treated with ELX/TEZ/IVA for 12 months. We compared the patients who were homozygous for the F508del mutation of the CF transmembrane conductance regulator (CFTR) gene with those who were heterozygous for that mutation, in terms of lung function outcomes (FEV1, FEF25-75%, and the RV/TLC ratio) and the extent of non-homogeneous ground-glass opacity. Among the patients within the cohort, the same parameters were evaluated separately in those who had advanced lung disease and in those who had previously undergone CFTR modulator therapy.

Results: There was a significant post-treatment improvement in lung function, with a median increase of 0.42 L/s in the FEF25-75% (p < 0.001) and a 5% reduction in the mean RV/TLC ratio (p < 0.001). There was a trend toward a higher improvement the F508del homozygous patients. A significant reduction in non-homogeneous ground-glass opacity was observed in 79.5% of the patients. Among the patients with advanced lung disease, there were notable post-treatment improvements in all of the parameters assessed.

Conclusions: Our results highlight the positive impact that ELX/TEZ/IVA treatment can have on small airway function in patients with CF, with potential benefits even for those with advanced lung disease. Further research is needed in order to evaluate the long-term effects of this treatment and its relationship with patient-reported outcomes.

求助全文
通过发布文献求助,成功后即可免费获取论文全文。 去求助
来源期刊
Jornal Brasileiro De Pneumologia
Jornal Brasileiro De Pneumologia RESPIRATORY SYSTEM-
CiteScore
3.50
自引率
14.80%
发文量
118
审稿时长
20 weeks
期刊介绍: The Brazilian Journal of Pulmonology publishes scientific articles that contribute to the improvement of knowledge in the field of the lung diseases and related areas.
×
引用
GB/T 7714-2015
复制
MLA
复制
APA
复制
导出至
BibTeX EndNote RefMan NoteFirst NoteExpress
×
提示
您的信息不完整,为了账户安全,请先补充。
现在去补充
×
提示
您因"违规操作"
具体请查看互助需知
我知道了
×
提示
确定
请完成安全验证×
copy
已复制链接
快去分享给好友吧!
我知道了
右上角分享
点击右上角分享
0
联系我们:info@booksci.cn Book学术提供免费学术资源搜索服务,方便国内外学者检索中英文文献。致力于提供最便捷和优质的服务体验。 Copyright © 2023 布克学术 All rights reserved.
京ICP备2023020795号-1
ghs 京公网安备 11010802042870号
Book学术文献互助
Book学术文献互助群
群 号:604180095
Book学术官方微信