黄斑裂孔视网膜脱离玻璃体切除术后脉络膜的改变。

IF 1.9 3区 医学 Q2 OPHTHALMOLOGY
Japanese Journal of Ophthalmology Pub Date : 2025-09-01 Epub Date: 2025-06-18 DOI:10.1007/s10384-025-01218-y
Hirotaka Sumida, Ikuko Umeda, Takayuki Baba
{"title":"黄斑裂孔视网膜脱离玻璃体切除术后脉络膜的改变。","authors":"Hirotaka Sumida, Ikuko Umeda, Takayuki Baba","doi":"10.1007/s10384-025-01218-y","DOIUrl":null,"url":null,"abstract":"<p><strong>Purpose: </strong>To investigate changes in the choroidal area (CA), luminal area (LA), stromal area (SA), choroidal vascularity index (CVI), and choroidal thickness (CT) before and after vitrectomy in eyes with macular hole retinal detachment (MHRD).</p><p><strong>Study design: </strong>Retrospective observational study.</p><p><strong>Methods: </strong>We measured the best-corrected visual acuity (BCVA), intraocular pressure (IOP), CA, LA, SA, CVI, and CT preoperatively and 1, 3, and 6 months postoperatively in 10 eyes with MHRD. CA was measured within a 3-mm-wide area around the fovea in the horizontal and vertical images. LA and SA were quantified using the Niblack method, and CVI was calculated as the ratio of LA to CA. CT was measured at the subfovea and at 1 and 3 mm vertically and horizontally away from the fovea.</p><p><strong>Results: </strong>BCVA improved significantly at 1 and 3 months postoperatively (P = 0.036 and 0.016). IOP remained stable. CA and LA decreased significantly 6 months postoperatively in both the horizontal (P = 0.002 and 0.014) and vertical sections (P = 0.006 and 0.002). SA remained stable. CVI reduced significantly at 1 month horizontally and at 3 months vertically (both P = 0.027). CT decreased significantly in the subfovea at 3 and 6 months postoperatively (P = 0.027 and 0.020, respectively). Significant reductions were also observed at 1 mm nasal, temporal, and superior regions (P = 0.014, 0.014, and 0.004) and at 2 mm temporal and superior regions 1 month postoperatively (P = 0.020 and 0.014).</p><p><strong>Conclusion: </strong>Choroidal thinning was observed after vitrectomy in eyes with MHRD, driven by a reduction in the luminal area.</p>","PeriodicalId":14563,"journal":{"name":"Japanese Journal of Ophthalmology","volume":" ","pages":"755-765"},"PeriodicalIF":1.9000,"publicationDate":"2025-09-01","publicationTypes":"Journal Article","fieldsOfStudy":null,"isOpenAccess":false,"openAccessPdf":"https://www.ncbi.nlm.nih.gov/pmc/articles/PMC12390876/pdf/","citationCount":"0","resultStr":"{\"title\":\"Choroidal changes after vitrectomy performed for macular hole retinal detachment.\",\"authors\":\"Hirotaka Sumida, Ikuko Umeda, Takayuki Baba\",\"doi\":\"10.1007/s10384-025-01218-y\",\"DOIUrl\":null,\"url\":null,\"abstract\":\"<p><strong>Purpose: </strong>To investigate changes in the choroidal area (CA), luminal area (LA), stromal area (SA), choroidal vascularity index (CVI), and choroidal thickness (CT) before and after vitrectomy in eyes with macular hole retinal detachment (MHRD).</p><p><strong>Study design: </strong>Retrospective observational study.</p><p><strong>Methods: </strong>We measured the best-corrected visual acuity (BCVA), intraocular pressure (IOP), CA, LA, SA, CVI, and CT preoperatively and 1, 3, and 6 months postoperatively in 10 eyes with MHRD. CA was measured within a 3-mm-wide area around the fovea in the horizontal and vertical images. LA and SA were quantified using the Niblack method, and CVI was calculated as the ratio of LA to CA. CT was measured at the subfovea and at 1 and 3 mm vertically and horizontally away from the fovea.</p><p><strong>Results: </strong>BCVA improved significantly at 1 and 3 months postoperatively (P = 0.036 and 0.016). IOP remained stable. CA and LA decreased significantly 6 months postoperatively in both the horizontal (P = 0.002 and 0.014) and vertical sections (P = 0.006 and 0.002). SA remained stable. CVI reduced significantly at 1 month horizontally and at 3 months vertically (both P = 0.027). CT decreased significantly in the subfovea at 3 and 6 months postoperatively (P = 0.027 and 0.020, respectively). Significant reductions were also observed at 1 mm nasal, temporal, and superior regions (P = 0.014, 0.014, and 0.004) and at 2 mm temporal and superior regions 1 month postoperatively (P = 0.020 and 0.014).</p><p><strong>Conclusion: </strong>Choroidal thinning was observed after vitrectomy in eyes with MHRD, driven by a reduction in the luminal area.</p>\",\"PeriodicalId\":14563,\"journal\":{\"name\":\"Japanese Journal of Ophthalmology\",\"volume\":\" \",\"pages\":\"755-765\"},\"PeriodicalIF\":1.9000,\"publicationDate\":\"2025-09-01\",\"publicationTypes\":\"Journal Article\",\"fieldsOfStudy\":null,\"isOpenAccess\":false,\"openAccessPdf\":\"https://www.ncbi.nlm.nih.gov/pmc/articles/PMC12390876/pdf/\",\"citationCount\":\"0\",\"resultStr\":null,\"platform\":\"Semanticscholar\",\"paperid\":null,\"PeriodicalName\":\"Japanese Journal of Ophthalmology\",\"FirstCategoryId\":\"3\",\"ListUrlMain\":\"https://doi.org/10.1007/s10384-025-01218-y\",\"RegionNum\":3,\"RegionCategory\":\"医学\",\"ArticlePicture\":[],\"TitleCN\":null,\"AbstractTextCN\":null,\"PMCID\":null,\"EPubDate\":\"2025/6/18 0:00:00\",\"PubModel\":\"Epub\",\"JCR\":\"Q2\",\"JCRName\":\"OPHTHALMOLOGY\",\"Score\":null,\"Total\":0}","platform":"Semanticscholar","paperid":null,"PeriodicalName":"Japanese Journal of Ophthalmology","FirstCategoryId":"3","ListUrlMain":"https://doi.org/10.1007/s10384-025-01218-y","RegionNum":3,"RegionCategory":"医学","ArticlePicture":[],"TitleCN":null,"AbstractTextCN":null,"PMCID":null,"EPubDate":"2025/6/18 0:00:00","PubModel":"Epub","JCR":"Q2","JCRName":"OPHTHALMOLOGY","Score":null,"Total":0}
引用次数: 0

摘要

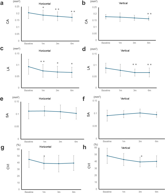
目的:探讨黄斑孔型视网膜脱离(MHRD)眼玻璃体切除术前后脉络膜面积(CA)、管腔面积(LA)、间质面积(SA)、脉络膜血管指数(CVI)、脉络膜厚度(CT)的变化。研究设计:回顾性观察性研究。方法:对10只MHRD患者术前及术后1、3、6个月的最佳矫正视力(BCVA)、眼压(IOP)、CA、LA、SA、CVI、CT进行测定。在水平和垂直图像中测量中央凹周围3mm宽区域内的CA。采用Niblack法定量LA和SA,以LA与CA之比计算CVI。在距中央窝下及距中央窝垂直和水平方向1和3mm处测量CT。结果:术后1、3个月BCVA明显改善(P = 0.036、0.016)。眼压保持稳定。术后6个月,CA和LA在横切面(P = 0.002和0.014)和纵切面(P = 0.006和0.002)均显著下降。SA保持稳定。CVI在水平方向1个月和垂直方向3个月显著降低(P = 0.027)。术后3、6个月中央凹下CT明显下降(P值分别为0.027、0.020)。术后1个月,1毫米的鼻、颞和上区(P = 0.014、0.014和0.004)和2毫米的颞和上区(P = 0.020和0.014)也观察到显著的减少。结论:MHRD眼玻璃体切除术后,由于管腔面积减少,可见脉络膜变薄。
本文章由计算机程序翻译,如有差异,请以英文原文为准。

Choroidal changes after vitrectomy performed for macular hole retinal detachment.

Choroidal changes after vitrectomy performed for macular hole retinal detachment.

Choroidal changes after vitrectomy performed for macular hole retinal detachment.

Choroidal changes after vitrectomy performed for macular hole retinal detachment.

Purpose: To investigate changes in the choroidal area (CA), luminal area (LA), stromal area (SA), choroidal vascularity index (CVI), and choroidal thickness (CT) before and after vitrectomy in eyes with macular hole retinal detachment (MHRD).

Study design: Retrospective observational study.

Methods: We measured the best-corrected visual acuity (BCVA), intraocular pressure (IOP), CA, LA, SA, CVI, and CT preoperatively and 1, 3, and 6 months postoperatively in 10 eyes with MHRD. CA was measured within a 3-mm-wide area around the fovea in the horizontal and vertical images. LA and SA were quantified using the Niblack method, and CVI was calculated as the ratio of LA to CA. CT was measured at the subfovea and at 1 and 3 mm vertically and horizontally away from the fovea.

Results: BCVA improved significantly at 1 and 3 months postoperatively (P = 0.036 and 0.016). IOP remained stable. CA and LA decreased significantly 6 months postoperatively in both the horizontal (P = 0.002 and 0.014) and vertical sections (P = 0.006 and 0.002). SA remained stable. CVI reduced significantly at 1 month horizontally and at 3 months vertically (both P = 0.027). CT decreased significantly in the subfovea at 3 and 6 months postoperatively (P = 0.027 and 0.020, respectively). Significant reductions were also observed at 1 mm nasal, temporal, and superior regions (P = 0.014, 0.014, and 0.004) and at 2 mm temporal and superior regions 1 month postoperatively (P = 0.020 and 0.014).

Conclusion: Choroidal thinning was observed after vitrectomy in eyes with MHRD, driven by a reduction in the luminal area.

求助全文
通过发布文献求助,成功后即可免费获取论文全文。 去求助
来源期刊
CiteScore
4.80
自引率
8.30%
发文量
65
审稿时长
6-12 weeks
期刊介绍: The Japanese Journal of Ophthalmology (JJO) was inaugurated in 1957 as a quarterly journal published in English by the Ophthalmology Department of the University of Tokyo, with the aim of disseminating the achievements of Japanese ophthalmologists worldwide. JJO remains the only Japanese ophthalmology journal published in English. In 1997, the Japanese Ophthalmological Society assumed the responsibility for publishing the Japanese Journal of Ophthalmology as its official English-language publication. Currently the journal is published bimonthly and accepts papers from authors worldwide. JJO has become an international interdisciplinary forum for the publication of basic science and clinical research papers.
×
引用
GB/T 7714-2015
复制
MLA
复制
APA
复制
导出至
BibTeX EndNote RefMan NoteFirst NoteExpress
×
提示
您的信息不完整,为了账户安全,请先补充。
现在去补充
×
提示
您因"违规操作"
具体请查看互助需知
我知道了
×
提示
确定
请完成安全验证×
copy
已复制链接
快去分享给好友吧!
我知道了
右上角分享
点击右上角分享
0
联系我们:info@booksci.cn Book学术提供免费学术资源搜索服务,方便国内外学者检索中英文文献。致力于提供最便捷和优质的服务体验。 Copyright © 2023 布克学术 All rights reserved.
京ICP备2023020795号-1
ghs 京公网安备 11010802042870号
Book学术文献互助
Book学术文献互助群
群 号:604180095
Book学术官方微信