选择性HER2抑制剂BI-4142的首次规模化应用

IF 3.5 3区 化学 Q2 CHEMISTRY, APPLIED
Eugene Chong*, Ruoshi Li, Weitong Dong, Maxim Chevliakov, Thomas G. Tampone, Yongda Zhang, Bo Qu, Nizar Haddad, Jon C. Lorenz, Max Sarvestani, Thuraya Omar, Huayu Li, Joe J. Gao, Donghong A. Gao, Scott Pennino, Ling Wu, Earl Spinelli, Steven Yao, Heewon Lee, Frederic Buono, Jinhua J. Song and Birgit Wilding, 
{"title":"选择性HER2抑制剂BI-4142的首次规模化应用","authors":"Eugene Chong*,&nbsp;Ruoshi Li,&nbsp;Weitong Dong,&nbsp;Maxim Chevliakov,&nbsp;Thomas G. Tampone,&nbsp;Yongda Zhang,&nbsp;Bo Qu,&nbsp;Nizar Haddad,&nbsp;Jon C. Lorenz,&nbsp;Max Sarvestani,&nbsp;Thuraya Omar,&nbsp;Huayu Li,&nbsp;Joe J. Gao,&nbsp;Donghong A. Gao,&nbsp;Scott Pennino,&nbsp;Ling Wu,&nbsp;Earl Spinelli,&nbsp;Steven Yao,&nbsp;Heewon Lee,&nbsp;Frederic Buono,&nbsp;Jinhua J. Song and Birgit Wilding,&nbsp;","doi":"10.1021/acs.oprd.5c0012710.1021/acs.oprd.5c00127","DOIUrl":null,"url":null,"abstract":"<p >The enabling synthesis of the first route to HER2 inhibitor <b>BI-4142</b> (<b>1</b>) to deliver a drug substance in kilogram quantity is reported. The synthetic route involves (1) a fit-for-purpose synthesis of pyrimido[5,4-<i>d</i>]pyrimidine <b>2</b>; (2) a high yielding, scalable synthesis of aniline <b>3</b>; (3) a safer sodium tungstate-catalyzed sulfide oxidation; (4) S<sub>N</sub>Ar reactions to form C–N bonds; and (5) amidation via Schotten–Baumann conditions. With the speed of delivery prioritized, a purification protocol using silica gel filtration and crystallizations was developed in time to control the quality of API. The overall yield of the delivery route was improved from 22% to 46% over a prior route starting from <b>2</b>.</p>","PeriodicalId":55,"journal":{"name":"Organic Process Research & Development","volume":"29 6","pages":"1606–1616 1606–1616"},"PeriodicalIF":3.5000,"publicationDate":"2025-05-14","publicationTypes":"Journal Article","fieldsOfStudy":null,"isOpenAccess":false,"openAccessPdf":"","citationCount":"0","resultStr":"{\"title\":\"Enabling the First Scale-Up of the Selective HER2 Inhibitor BI-4142\",\"authors\":\"Eugene Chong*,&nbsp;Ruoshi Li,&nbsp;Weitong Dong,&nbsp;Maxim Chevliakov,&nbsp;Thomas G. Tampone,&nbsp;Yongda Zhang,&nbsp;Bo Qu,&nbsp;Nizar Haddad,&nbsp;Jon C. Lorenz,&nbsp;Max Sarvestani,&nbsp;Thuraya Omar,&nbsp;Huayu Li,&nbsp;Joe J. Gao,&nbsp;Donghong A. Gao,&nbsp;Scott Pennino,&nbsp;Ling Wu,&nbsp;Earl Spinelli,&nbsp;Steven Yao,&nbsp;Heewon Lee,&nbsp;Frederic Buono,&nbsp;Jinhua J. Song and Birgit Wilding,&nbsp;\",\"doi\":\"10.1021/acs.oprd.5c0012710.1021/acs.oprd.5c00127\",\"DOIUrl\":null,\"url\":null,\"abstract\":\"<p >The enabling synthesis of the first route to HER2 inhibitor <b>BI-4142</b> (<b>1</b>) to deliver a drug substance in kilogram quantity is reported. The synthetic route involves (1) a fit-for-purpose synthesis of pyrimido[5,4-<i>d</i>]pyrimidine <b>2</b>; (2) a high yielding, scalable synthesis of aniline <b>3</b>; (3) a safer sodium tungstate-catalyzed sulfide oxidation; (4) S<sub>N</sub>Ar reactions to form C–N bonds; and (5) amidation via Schotten–Baumann conditions. With the speed of delivery prioritized, a purification protocol using silica gel filtration and crystallizations was developed in time to control the quality of API. The overall yield of the delivery route was improved from 22% to 46% over a prior route starting from <b>2</b>.</p>\",\"PeriodicalId\":55,\"journal\":{\"name\":\"Organic Process Research & Development\",\"volume\":\"29 6\",\"pages\":\"1606–1616 1606–1616\"},\"PeriodicalIF\":3.5000,\"publicationDate\":\"2025-05-14\",\"publicationTypes\":\"Journal Article\",\"fieldsOfStudy\":null,\"isOpenAccess\":false,\"openAccessPdf\":\"\",\"citationCount\":\"0\",\"resultStr\":null,\"platform\":\"Semanticscholar\",\"paperid\":null,\"PeriodicalName\":\"Organic Process Research & Development\",\"FirstCategoryId\":\"92\",\"ListUrlMain\":\"https://pubs.acs.org/doi/10.1021/acs.oprd.5c00127\",\"RegionNum\":3,\"RegionCategory\":\"化学\",\"ArticlePicture\":[],\"TitleCN\":null,\"AbstractTextCN\":null,\"PMCID\":null,\"EPubDate\":\"\",\"PubModel\":\"\",\"JCR\":\"Q2\",\"JCRName\":\"CHEMISTRY, APPLIED\",\"Score\":null,\"Total\":0}","platform":"Semanticscholar","paperid":null,"PeriodicalName":"Organic Process Research & Development","FirstCategoryId":"92","ListUrlMain":"https://pubs.acs.org/doi/10.1021/acs.oprd.5c00127","RegionNum":3,"RegionCategory":"化学","ArticlePicture":[],"TitleCN":null,"AbstractTextCN":null,"PMCID":null,"EPubDate":"","PubModel":"","JCR":"Q2","JCRName":"CHEMISTRY, APPLIED","Score":null,"Total":0}
引用次数: 0

摘要

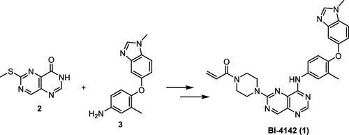
据报道,能够合成HER2抑制剂BI-4142(1)的第一种途径,以递送公斤数量的药物。合成路线包括(1)符合目的的嘧啶[5,4-d]嘧啶2的合成;(2)高效、规模化的苯胺3合成;(3)更安全的钨酸钠催化硫化物氧化;(4) SNAr反应形成C-N键;(5) Schotten-Baumann条件修正。以输送速度为优先,及时制定了硅胶过滤结晶纯化方案,控制原料药的质量。与之前从2点开始的配送路线相比,配送路线的总收益率从22%提高到46%。
本文章由计算机程序翻译,如有差异,请以英文原文为准。

Enabling the First Scale-Up of the Selective HER2 Inhibitor BI-4142

Enabling the First Scale-Up of the Selective HER2 Inhibitor BI-4142

The enabling synthesis of the first route to HER2 inhibitor BI-4142 (1) to deliver a drug substance in kilogram quantity is reported. The synthetic route involves (1) a fit-for-purpose synthesis of pyrimido[5,4-d]pyrimidine 2; (2) a high yielding, scalable synthesis of aniline 3; (3) a safer sodium tungstate-catalyzed sulfide oxidation; (4) SNAr reactions to form C–N bonds; and (5) amidation via Schotten–Baumann conditions. With the speed of delivery prioritized, a purification protocol using silica gel filtration and crystallizations was developed in time to control the quality of API. The overall yield of the delivery route was improved from 22% to 46% over a prior route starting from 2.

求助全文
通过发布文献求助,成功后即可免费获取论文全文。 去求助
来源期刊
CiteScore
6.90
自引率
14.70%
发文量
251
审稿时长
2 months
期刊介绍: The journal Organic Process Research & Development serves as a communication tool between industrial chemists and chemists working in universities and research institutes. As such, it reports original work from the broad field of industrial process chemistry but also presents academic results that are relevant, or potentially relevant, to industrial applications. Process chemistry is the science that enables the safe, environmentally benign and ultimately economical manufacturing of organic compounds that are required in larger amounts to help address the needs of society. Consequently, the Journal encompasses every aspect of organic chemistry, including all aspects of catalysis, synthetic methodology development and synthetic strategy exploration, but also includes aspects from analytical and solid-state chemistry and chemical engineering, such as work-up tools,process safety, or flow-chemistry. The goal of development and optimization of chemical reactions and processes is their transfer to a larger scale; original work describing such studies and the actual implementation on scale is highly relevant to the journal. However, studies on new developments from either industry, research institutes or academia that have not yet been demonstrated on scale, but where an industrial utility can be expected and where the study has addressed important prerequisites for a scale-up and has given confidence into the reliability and practicality of the chemistry, also serve the mission of OPR&D as a communication tool between the different contributors to the field.
×
引用
GB/T 7714-2015
复制
MLA
复制
APA
复制
导出至
BibTeX EndNote RefMan NoteFirst NoteExpress
×
提示
您的信息不完整,为了账户安全,请先补充。
现在去补充
×
提示
您因"违规操作"
具体请查看互助需知
我知道了
×
提示
确定
请完成安全验证×
copy
已复制链接
快去分享给好友吧!
我知道了
右上角分享
点击右上角分享
0
联系我们:info@booksci.cn Book学术提供免费学术资源搜索服务,方便国内外学者检索中英文文献。致力于提供最便捷和优质的服务体验。 Copyright © 2023 布克学术 All rights reserved.
京ICP备2023020795号-1
ghs 京公网安备 11010802042870号
Book学术文献互助
Book学术文献互助群
群 号:604180095
Book学术官方微信