从东方到西方:中国青少年抑郁和焦虑症状的地区差异。

IF 3.2 3区 心理学 Q2 PSYCHOLOGY, CLINICAL
Psychology Research and Behavior Management Pub Date : 2025-06-12 eCollection Date: 2025-01-01 DOI:10.2147/PRBM.S527697
Rui Yang, Xing-Jie Yang, Jin-Ling Wan, Lei-Lei Wang, Hu Deng, Jing-Xu Chen, Shuang-Jiang Zhou
{"title":"从东方到西方:中国青少年抑郁和焦虑症状的地区差异。","authors":"Rui Yang, Xing-Jie Yang, Jin-Ling Wan, Lei-Lei Wang, Hu Deng, Jing-Xu Chen, Shuang-Jiang Zhou","doi":"10.2147/PRBM.S527697","DOIUrl":null,"url":null,"abstract":"<p><strong>Background: </strong>To explore the prevalence and determinants of depressive and anxious symptoms among adolescents in China, focusing on regional disparities, cognitive function, psychological resilience, and family functioning.</p><p><strong>Methods: </strong>A total of 39854 adolescents, aged 12-18 years, participated in this survey. Data were collected using SoJump software between January 8 and January 25, 2023. The Patient Health Questionnaire-9, Generalized Anxiety Disorder Questionnaire-7, Cognitive Deficits Questionnaire-5, Connor-Davidson Resilience Scale-10, and Family APGAR Questionnaire were completed. Statistical analyses, including descriptive statistics, correlation analysis, and multivariate linear regression, were conducted to explore the relationships between variables.</p><p><strong>Results: </strong>Significant regional differences were observed in depression (6.16 ± 6.16 versus [vs] 5.18 ± 5.77; P < 0.001) and anxiety symptoms (4.15 ± 5.18 vs 3.34 ± 4.82, P < 0.001), with adolescents in the western regions exhibiting higher scores. Depressive symptoms were positively correlated with cognitive function (r = 0.577, P < 0.05), as were anxious symptoms (r = 0.533, P < 0.05). Both depressive (r = -0.339, P < 0.05) and anxious symptoms (r = -0.321, P < 0.05) were negatively correlated with psychological resilience, as well as with family functioning (r = -0.302 and r = -0.284, respectively; P < 0.05). In addition, compared to adolescents who lived with their parents, those who lived with others had more severe depressive and anxious symptoms.</p><p><strong>Conclusion: </strong>Our study revealed significant regional disparities in depressive and anxious symptoms among Chinese adolescents, with higher levels observed in Western China. Cognitive function showed a positive association, while psychological resilience and family functioning were negatively linked to these symptoms. By comprehending and targeting these factors through specific interventions and policies, we can ease the mental health burden on this vulnerable population.</p>","PeriodicalId":20954,"journal":{"name":"Psychology Research and Behavior Management","volume":"18 ","pages":"1359-1369"},"PeriodicalIF":3.2000,"publicationDate":"2025-06-12","publicationTypes":"Journal Article","fieldsOfStudy":null,"isOpenAccess":false,"openAccessPdf":"https://www.ncbi.nlm.nih.gov/pmc/articles/PMC12170808/pdf/","citationCount":"0","resultStr":"{\"title\":\"From East to West: Regional Disparities in Depressive and Anxious Symptoms Among Chinese Adolescents.\",\"authors\":\"Rui Yang, Xing-Jie Yang, Jin-Ling Wan, Lei-Lei Wang, Hu Deng, Jing-Xu Chen, Shuang-Jiang Zhou\",\"doi\":\"10.2147/PRBM.S527697\",\"DOIUrl\":null,\"url\":null,\"abstract\":\"<p><strong>Background: </strong>To explore the prevalence and determinants of depressive and anxious symptoms among adolescents in China, focusing on regional disparities, cognitive function, psychological resilience, and family functioning.</p><p><strong>Methods: </strong>A total of 39854 adolescents, aged 12-18 years, participated in this survey. Data were collected using SoJump software between January 8 and January 25, 2023. The Patient Health Questionnaire-9, Generalized Anxiety Disorder Questionnaire-7, Cognitive Deficits Questionnaire-5, Connor-Davidson Resilience Scale-10, and Family APGAR Questionnaire were completed. Statistical analyses, including descriptive statistics, correlation analysis, and multivariate linear regression, were conducted to explore the relationships between variables.</p><p><strong>Results: </strong>Significant regional differences were observed in depression (6.16 ± 6.16 versus [vs] 5.18 ± 5.77; P < 0.001) and anxiety symptoms (4.15 ± 5.18 vs 3.34 ± 4.82, P < 0.001), with adolescents in the western regions exhibiting higher scores. Depressive symptoms were positively correlated with cognitive function (r = 0.577, P < 0.05), as were anxious symptoms (r = 0.533, P < 0.05). Both depressive (r = -0.339, P < 0.05) and anxious symptoms (r = -0.321, P < 0.05) were negatively correlated with psychological resilience, as well as with family functioning (r = -0.302 and r = -0.284, respectively; P < 0.05). In addition, compared to adolescents who lived with their parents, those who lived with others had more severe depressive and anxious symptoms.</p><p><strong>Conclusion: </strong>Our study revealed significant regional disparities in depressive and anxious symptoms among Chinese adolescents, with higher levels observed in Western China. Cognitive function showed a positive association, while psychological resilience and family functioning were negatively linked to these symptoms. By comprehending and targeting these factors through specific interventions and policies, we can ease the mental health burden on this vulnerable population.</p>\",\"PeriodicalId\":20954,\"journal\":{\"name\":\"Psychology Research and Behavior Management\",\"volume\":\"18 \",\"pages\":\"1359-1369\"},\"PeriodicalIF\":3.2000,\"publicationDate\":\"2025-06-12\",\"publicationTypes\":\"Journal Article\",\"fieldsOfStudy\":null,\"isOpenAccess\":false,\"openAccessPdf\":\"https://www.ncbi.nlm.nih.gov/pmc/articles/PMC12170808/pdf/\",\"citationCount\":\"0\",\"resultStr\":null,\"platform\":\"Semanticscholar\",\"paperid\":null,\"PeriodicalName\":\"Psychology Research and Behavior Management\",\"FirstCategoryId\":\"102\",\"ListUrlMain\":\"https://doi.org/10.2147/PRBM.S527697\",\"RegionNum\":3,\"RegionCategory\":\"心理学\",\"ArticlePicture\":[],\"TitleCN\":null,\"AbstractTextCN\":null,\"PMCID\":null,\"EPubDate\":\"2025/1/1 0:00:00\",\"PubModel\":\"eCollection\",\"JCR\":\"Q2\",\"JCRName\":\"PSYCHOLOGY, CLINICAL\",\"Score\":null,\"Total\":0}","platform":"Semanticscholar","paperid":null,"PeriodicalName":"Psychology Research and Behavior Management","FirstCategoryId":"102","ListUrlMain":"https://doi.org/10.2147/PRBM.S527697","RegionNum":3,"RegionCategory":"心理学","ArticlePicture":[],"TitleCN":null,"AbstractTextCN":null,"PMCID":null,"EPubDate":"2025/1/1 0:00:00","PubModel":"eCollection","JCR":"Q2","JCRName":"PSYCHOLOGY, CLINICAL","Score":null,"Total":0}
引用次数: 0

摘要

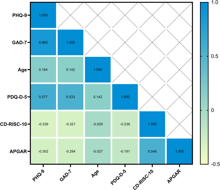
背景:探讨中国青少年抑郁和焦虑症状的患病率及其影响因素,重点关注地区差异、认知功能、心理弹性和家庭功能。方法:共39854名12 ~ 18岁的青少年参与调查。数据在2023年1月8日至1月25日期间使用SoJump软件收集。完成患者健康问卷-9、广泛性焦虑障碍问卷-7、认知缺陷问卷-5、Connor-Davidson弹性量表-10和家庭APGAR问卷。统计分析包括描述性统计、相关分析、多元线性回归等,探讨变量之间的关系。结果:抑郁症的区域差异显著(6.16±6.16 vs 5.18±5.77;P < 0.001)和焦虑症状(4.15±5.18 vs 3.34±4.82,P < 0.001),西部地区青少年得分较高。抑郁症状与认知功能呈正相关(r = 0.577, P < 0.05),焦虑症状与认知功能呈正相关(r = 0.533, P < 0.05)。抑郁症状(r = -0.339, P < 0.05)、焦虑症状(r = -0.321, P < 0.05)与心理弹性、家庭功能呈负相关(r = -0.302、r = -0.284);P < 0.05)。此外,与与父母同住的青少年相比,与他人同住的青少年有更严重的抑郁和焦虑症状。结论:我们的研究揭示了中国青少年抑郁和焦虑症状的显著地区差异,在中国西部观察到更高的水平。认知功能显示出正相关,而心理弹性和家庭功能与这些症状呈负相关。通过具体的干预措施和政策了解并针对这些因素,我们可以减轻这一弱势群体的心理健康负担。
本文章由计算机程序翻译,如有差异,请以英文原文为准。

From East to West: Regional Disparities in Depressive and Anxious Symptoms Among Chinese Adolescents.

From East to West: Regional Disparities in Depressive and Anxious Symptoms Among Chinese Adolescents.

From East to West: Regional Disparities in Depressive and Anxious Symptoms Among Chinese Adolescents.

Background: To explore the prevalence and determinants of depressive and anxious symptoms among adolescents in China, focusing on regional disparities, cognitive function, psychological resilience, and family functioning.

Methods: A total of 39854 adolescents, aged 12-18 years, participated in this survey. Data were collected using SoJump software between January 8 and January 25, 2023. The Patient Health Questionnaire-9, Generalized Anxiety Disorder Questionnaire-7, Cognitive Deficits Questionnaire-5, Connor-Davidson Resilience Scale-10, and Family APGAR Questionnaire were completed. Statistical analyses, including descriptive statistics, correlation analysis, and multivariate linear regression, were conducted to explore the relationships between variables.

Results: Significant regional differences were observed in depression (6.16 ± 6.16 versus [vs] 5.18 ± 5.77; P < 0.001) and anxiety symptoms (4.15 ± 5.18 vs 3.34 ± 4.82, P < 0.001), with adolescents in the western regions exhibiting higher scores. Depressive symptoms were positively correlated with cognitive function (r = 0.577, P < 0.05), as were anxious symptoms (r = 0.533, P < 0.05). Both depressive (r = -0.339, P < 0.05) and anxious symptoms (r = -0.321, P < 0.05) were negatively correlated with psychological resilience, as well as with family functioning (r = -0.302 and r = -0.284, respectively; P < 0.05). In addition, compared to adolescents who lived with their parents, those who lived with others had more severe depressive and anxious symptoms.

Conclusion: Our study revealed significant regional disparities in depressive and anxious symptoms among Chinese adolescents, with higher levels observed in Western China. Cognitive function showed a positive association, while psychological resilience and family functioning were negatively linked to these symptoms. By comprehending and targeting these factors through specific interventions and policies, we can ease the mental health burden on this vulnerable population.

求助全文
通过发布文献求助,成功后即可免费获取论文全文。 去求助
来源期刊
CiteScore
4.50
自引率
4.70%
发文量
341
审稿时长
16 weeks
期刊介绍: Psychology Research and Behavior Management is an international, peer-reviewed, open access journal focusing on the science of psychology and its application in behavior management to develop improved outcomes in the clinical, educational, sports and business arenas. Specific topics covered in the journal include: -Neuroscience, memory and decision making -Behavior modification and management -Clinical applications -Business and sports performance management -Social and developmental studies -Animal studies The journal welcomes submitted papers covering original research, clinical studies, surveys, reviews and evaluations, guidelines, expert opinion and commentary, case reports and extended reports.
×
引用
GB/T 7714-2015
复制
MLA
复制
APA
复制
导出至
BibTeX EndNote RefMan NoteFirst NoteExpress
×
提示
您的信息不完整,为了账户安全,请先补充。
现在去补充
×
提示
您因"违规操作"
具体请查看互助需知
我知道了
×
提示
确定
请完成安全验证×
copy
已复制链接
快去分享给好友吧!
我知道了
右上角分享
点击右上角分享
0
联系我们:info@booksci.cn Book学术提供免费学术资源搜索服务,方便国内外学者检索中英文文献。致力于提供最便捷和优质的服务体验。 Copyright © 2023 布克学术 All rights reserved.
京ICP备2023020795号-1
ghs 京公网安备 11010802042870号
Book学术文献互助
Book学术文献互助群
群 号:604180095
Book学术官方微信