育龄妇女代谢性脂肪性肝病的全球负担:1990年至2021年的趋势和2040年的预测

IF 2.6 3区 综合性期刊 Q1 MULTIDISCIPLINARY SCIENCES
PLoS ONE Pub Date : 2025-06-17 eCollection Date: 2025-01-01 DOI:10.1371/journal.pone.0326244
Jiaxing Li, Qihui Hu, Jiajie Leng, Baoyong Zhou, Cong Chen, Yaoyue Hu, Bingdi Chao, Zhenhao Huang, Zhenrui Cao, Zhongling An, Jixing Wang, Dingheng Hu, Rui Tao
{"title":"育龄妇女代谢性脂肪性肝病的全球负担:1990年至2021年的趋势和2040年的预测","authors":"Jiaxing Li, Qihui Hu, Jiajie Leng, Baoyong Zhou, Cong Chen, Yaoyue Hu, Bingdi Chao, Zhenhao Huang, Zhenrui Cao, Zhongling An, Jixing Wang, Dingheng Hu, Rui Tao","doi":"10.1371/journal.pone.0326244","DOIUrl":null,"url":null,"abstract":"<p><strong>Background: </strong>Metabolic-associated fatty liver disease (MAFLD) is a growing global health concern, particularly among women of childbearing age (WCBA). We aimed to analyze the global burden of MAFLD among WCBA from 1990 to 2021 and project trends to 2040.</p><p><strong>Methods: </strong>Data on incidence, prevalence, deaths, and disability-adjusted life years (DALYs) were extracted from the Global Burden of Disease Study 2021. Joinpoint regression and decomposition analysis were used to assess historical trends, and Bayesian Age-Period-Cohort (BAPC) modeling projected future burdens.</p><p><strong>Results: </strong>From 1990 to 2021, the age-standardized rate (ASR) of MAFLD incidence and prevalence among WCBA increased globally (EAPC = 0.76 and 0.71, respectively). China showed declining trends in deaths (EAPC = -2.63) and DALYs (EAPC = -2.62). By 2040, BAPC modeling predicts a continued rise in global incidence and prevalence, with regional disparities in mortality. Population growth was the primary driver of the global increase in MAFLD incidence, accounting for 63.38% of the rise.</p><p><strong>Conclusion: </strong>MAFLD imposes a significant burden on WCBA globally, with socioeconomic disparities driving regional variations. Targeted interventions addressing obesogenic environments and healthcare inequities are urgently needed.</p>","PeriodicalId":20189,"journal":{"name":"PLoS ONE","volume":"20 6","pages":"e0326244"},"PeriodicalIF":2.6000,"publicationDate":"2025-06-17","publicationTypes":"Journal Article","fieldsOfStudy":null,"isOpenAccess":false,"openAccessPdf":"https://www.ncbi.nlm.nih.gov/pmc/articles/PMC12173223/pdf/","citationCount":"0","resultStr":"{\"title\":\"Global burden of metabolic-associated fatty liver disease among women of childbearing age: Trends from 1990 to 2021 and projections to 2040.\",\"authors\":\"Jiaxing Li, Qihui Hu, Jiajie Leng, Baoyong Zhou, Cong Chen, Yaoyue Hu, Bingdi Chao, Zhenhao Huang, Zhenrui Cao, Zhongling An, Jixing Wang, Dingheng Hu, Rui Tao\",\"doi\":\"10.1371/journal.pone.0326244\",\"DOIUrl\":null,\"url\":null,\"abstract\":\"<p><strong>Background: </strong>Metabolic-associated fatty liver disease (MAFLD) is a growing global health concern, particularly among women of childbearing age (WCBA). We aimed to analyze the global burden of MAFLD among WCBA from 1990 to 2021 and project trends to 2040.</p><p><strong>Methods: </strong>Data on incidence, prevalence, deaths, and disability-adjusted life years (DALYs) were extracted from the Global Burden of Disease Study 2021. Joinpoint regression and decomposition analysis were used to assess historical trends, and Bayesian Age-Period-Cohort (BAPC) modeling projected future burdens.</p><p><strong>Results: </strong>From 1990 to 2021, the age-standardized rate (ASR) of MAFLD incidence and prevalence among WCBA increased globally (EAPC = 0.76 and 0.71, respectively). China showed declining trends in deaths (EAPC = -2.63) and DALYs (EAPC = -2.62). By 2040, BAPC modeling predicts a continued rise in global incidence and prevalence, with regional disparities in mortality. Population growth was the primary driver of the global increase in MAFLD incidence, accounting for 63.38% of the rise.</p><p><strong>Conclusion: </strong>MAFLD imposes a significant burden on WCBA globally, with socioeconomic disparities driving regional variations. Targeted interventions addressing obesogenic environments and healthcare inequities are urgently needed.</p>\",\"PeriodicalId\":20189,\"journal\":{\"name\":\"PLoS ONE\",\"volume\":\"20 6\",\"pages\":\"e0326244\"},\"PeriodicalIF\":2.6000,\"publicationDate\":\"2025-06-17\",\"publicationTypes\":\"Journal Article\",\"fieldsOfStudy\":null,\"isOpenAccess\":false,\"openAccessPdf\":\"https://www.ncbi.nlm.nih.gov/pmc/articles/PMC12173223/pdf/\",\"citationCount\":\"0\",\"resultStr\":null,\"platform\":\"Semanticscholar\",\"paperid\":null,\"PeriodicalName\":\"PLoS ONE\",\"FirstCategoryId\":\"103\",\"ListUrlMain\":\"https://doi.org/10.1371/journal.pone.0326244\",\"RegionNum\":3,\"RegionCategory\":\"综合性期刊\",\"ArticlePicture\":[],\"TitleCN\":null,\"AbstractTextCN\":null,\"PMCID\":null,\"EPubDate\":\"2025/1/1 0:00:00\",\"PubModel\":\"eCollection\",\"JCR\":\"Q1\",\"JCRName\":\"MULTIDISCIPLINARY SCIENCES\",\"Score\":null,\"Total\":0}","platform":"Semanticscholar","paperid":null,"PeriodicalName":"PLoS ONE","FirstCategoryId":"103","ListUrlMain":"https://doi.org/10.1371/journal.pone.0326244","RegionNum":3,"RegionCategory":"综合性期刊","ArticlePicture":[],"TitleCN":null,"AbstractTextCN":null,"PMCID":null,"EPubDate":"2025/1/1 0:00:00","PubModel":"eCollection","JCR":"Q1","JCRName":"MULTIDISCIPLINARY SCIENCES","Score":null,"Total":0}
引用次数: 0

摘要

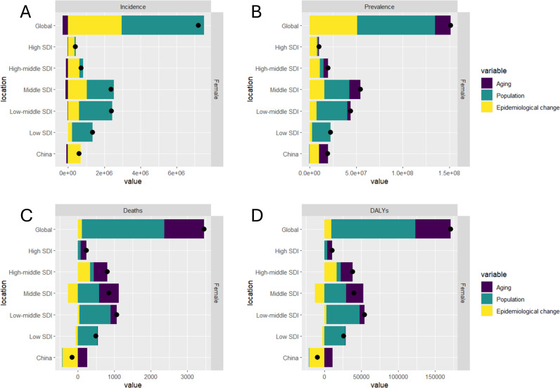
背景:代谢性相关脂肪性肝病(MAFLD)是一个日益增长的全球健康问题,尤其是育龄妇女(WCBA)。我们的目的是分析1990年至2021年WCBA中mld的全球负担以及到2040年的项目趋势。方法:从2021年全球疾病负担研究中提取有关发病率、患病率、死亡和残疾调整生命年(DALYs)的数据。接合点回归和分解分析用于评估历史趋势,贝叶斯年龄-时期-队列(BAPC)模型预测未来负担。结果:从1990年到2021年,全球范围内WCBA中MAFLD发病率和患病率的年龄标准化率(ASR)均呈上升趋势(EAPC分别为0.76和0.71)。中国的死亡率(EAPC = -2.63)和DALYs (EAPC = -2.62)呈下降趋势。BAPC模型预测,到2040年,全球发病率和流行率将继续上升,死亡率将存在地区差异。人口增长是全球MAFLD发病率增加的主要驱动因素,占上升的63.38%。结论:mald对全球WCBA造成了重大负担,社会经济差异推动了区域差异。迫切需要有针对性的干预措施,解决致肥环境和医疗保健不公平问题。
本文章由计算机程序翻译,如有差异,请以英文原文为准。

Global burden of metabolic-associated fatty liver disease among women of childbearing age: Trends from 1990 to 2021 and projections to 2040.

Global burden of metabolic-associated fatty liver disease among women of childbearing age: Trends from 1990 to 2021 and projections to 2040.

Global burden of metabolic-associated fatty liver disease among women of childbearing age: Trends from 1990 to 2021 and projections to 2040.

Global burden of metabolic-associated fatty liver disease among women of childbearing age: Trends from 1990 to 2021 and projections to 2040.

Background: Metabolic-associated fatty liver disease (MAFLD) is a growing global health concern, particularly among women of childbearing age (WCBA). We aimed to analyze the global burden of MAFLD among WCBA from 1990 to 2021 and project trends to 2040.

Methods: Data on incidence, prevalence, deaths, and disability-adjusted life years (DALYs) were extracted from the Global Burden of Disease Study 2021. Joinpoint regression and decomposition analysis were used to assess historical trends, and Bayesian Age-Period-Cohort (BAPC) modeling projected future burdens.

Results: From 1990 to 2021, the age-standardized rate (ASR) of MAFLD incidence and prevalence among WCBA increased globally (EAPC = 0.76 and 0.71, respectively). China showed declining trends in deaths (EAPC = -2.63) and DALYs (EAPC = -2.62). By 2040, BAPC modeling predicts a continued rise in global incidence and prevalence, with regional disparities in mortality. Population growth was the primary driver of the global increase in MAFLD incidence, accounting for 63.38% of the rise.

Conclusion: MAFLD imposes a significant burden on WCBA globally, with socioeconomic disparities driving regional variations. Targeted interventions addressing obesogenic environments and healthcare inequities are urgently needed.

求助全文
通过发布文献求助,成功后即可免费获取论文全文。 去求助
来源期刊
PLoS ONE
PLoS ONE 生物-生物学
CiteScore
6.20
自引率
5.40%
发文量
14242
审稿时长
3.7 months
期刊介绍: PLOS ONE is an international, peer-reviewed, open-access, online publication. PLOS ONE welcomes reports on primary research from any scientific discipline. It provides: * Open-access—freely accessible online, authors retain copyright * Fast publication times * Peer review by expert, practicing researchers * Post-publication tools to indicate quality and impact * Community-based dialogue on articles * Worldwide media coverage
×
引用
GB/T 7714-2015
复制
MLA
复制
APA
复制
导出至
BibTeX EndNote RefMan NoteFirst NoteExpress
×
提示
您的信息不完整,为了账户安全,请先补充。
现在去补充
×
提示
您因"违规操作"
具体请查看互助需知
我知道了
×
提示
确定
请完成安全验证×
copy
已复制链接
快去分享给好友吧!
我知道了
右上角分享
点击右上角分享
0
联系我们:info@booksci.cn Book学术提供免费学术资源搜索服务,方便国内外学者检索中英文文献。致力于提供最便捷和优质的服务体验。 Copyright © 2023 布克学术 All rights reserved.
京ICP备2023020795号-1
ghs 京公网安备 11010802042870号
Book学术文献互助
Book学术文献互助群
群 号:604180095
Book学术官方微信