基于临床标本病毒载量的丙型流感病毒感染儿童共致病菌的临床影响

IF 2.2 4区 医学 Q3 IMMUNOLOGY
Pediatric Infectious Disease Journal Pub Date : 2025-11-01 Epub Date: 2025-06-16 DOI:10.1097/INF.0000000000004897
Yoko Matsuzaki, Emi Takashita, Seiichiro Fujisaki, Mina Nakauchi, Suguru Ohmiya, Ryoichi Onuma, Yuriko Katsushima, Fumio Katsushima, Hidekazu Nishimura
{"title":"基于临床标本病毒载量的丙型流感病毒感染儿童共致病菌的临床影响","authors":"Yoko Matsuzaki, Emi Takashita, Seiichiro Fujisaki, Mina Nakauchi, Suguru Ohmiya, Ryoichi Onuma, Yuriko Katsushima, Fumio Katsushima, Hidekazu Nishimura","doi":"10.1097/INF.0000000000004897","DOIUrl":null,"url":null,"abstract":"<p><strong>Background: </strong>We have monitored influenza C virus infection using the cell culture method due to its advantage in detecting infectious virus. Application of multiplex polymerase chain reaction (PCR) improves the detection rate of multiple pathogens from the same clinical specimen, and it can be difficult to determine whether the influenza C virus is the cause of the patient's symptoms. This study aimed to evaluate the impact of co-pathogens in children infected with the influenza C virus based on viral load in clinical specimens.</p><p><strong>Methods: </strong>We enrolled 11 patients in whom influenza C virus and co-pathogens were isolated by cell culture. Pathogens were further detected by multiplex real-time PCR and next-generation sequencing (NGS). Viral load was determined by quantitative real-time PCR, and its association with the patients' symptoms was investigated.</p><p><strong>Results: </strong>Co-pathogens not isolated in cell culture, including rhinovirus, adenovirus and bocavirus, were detected in 5 of the 11 specimens by real-time PCR. Additionally, adenovirus and human metapneumovirus, which were not detected by real-time PCR, were detected by next-generation sequencing, but both had very low read numbers. Children whose specimens had influenza C virus levels of ≥10 4 copies/μL showed typical symptoms of influenza C virus infection, such as coughing and nasal discharge. When the viral load of a co-pathogen was greater than that of influenza C virus, atypical symptoms such as persistent fever were likely due to the co-pathogens, suggesting that co-infection contributed to symptom severity.</p><p><strong>Conclusion: </strong>Knowledge of viral load can help in evaluating the etiologic role of the virus in influenza C-infected children with co-pathogens.</p>","PeriodicalId":19858,"journal":{"name":"Pediatric Infectious Disease Journal","volume":" ","pages":"1038-1043"},"PeriodicalIF":2.2000,"publicationDate":"2025-11-01","publicationTypes":"Journal Article","fieldsOfStudy":null,"isOpenAccess":false,"openAccessPdf":"https://www.ncbi.nlm.nih.gov/pmc/articles/PMC12506693/pdf/","citationCount":"0","resultStr":"{\"title\":\"Clinical Impact of Co-pathogens in Children Infected With Influenza C Virus Based on Viral Load in Clinical Specimens.\",\"authors\":\"Yoko Matsuzaki, Emi Takashita, Seiichiro Fujisaki, Mina Nakauchi, Suguru Ohmiya, Ryoichi Onuma, Yuriko Katsushima, Fumio Katsushima, Hidekazu Nishimura\",\"doi\":\"10.1097/INF.0000000000004897\",\"DOIUrl\":null,\"url\":null,\"abstract\":\"<p><strong>Background: </strong>We have monitored influenza C virus infection using the cell culture method due to its advantage in detecting infectious virus. Application of multiplex polymerase chain reaction (PCR) improves the detection rate of multiple pathogens from the same clinical specimen, and it can be difficult to determine whether the influenza C virus is the cause of the patient's symptoms. This study aimed to evaluate the impact of co-pathogens in children infected with the influenza C virus based on viral load in clinical specimens.</p><p><strong>Methods: </strong>We enrolled 11 patients in whom influenza C virus and co-pathogens were isolated by cell culture. Pathogens were further detected by multiplex real-time PCR and next-generation sequencing (NGS). Viral load was determined by quantitative real-time PCR, and its association with the patients' symptoms was investigated.</p><p><strong>Results: </strong>Co-pathogens not isolated in cell culture, including rhinovirus, adenovirus and bocavirus, were detected in 5 of the 11 specimens by real-time PCR. Additionally, adenovirus and human metapneumovirus, which were not detected by real-time PCR, were detected by next-generation sequencing, but both had very low read numbers. Children whose specimens had influenza C virus levels of ≥10 4 copies/μL showed typical symptoms of influenza C virus infection, such as coughing and nasal discharge. When the viral load of a co-pathogen was greater than that of influenza C virus, atypical symptoms such as persistent fever were likely due to the co-pathogens, suggesting that co-infection contributed to symptom severity.</p><p><strong>Conclusion: </strong>Knowledge of viral load can help in evaluating the etiologic role of the virus in influenza C-infected children with co-pathogens.</p>\",\"PeriodicalId\":19858,\"journal\":{\"name\":\"Pediatric Infectious Disease Journal\",\"volume\":\" \",\"pages\":\"1038-1043\"},\"PeriodicalIF\":2.2000,\"publicationDate\":\"2025-11-01\",\"publicationTypes\":\"Journal Article\",\"fieldsOfStudy\":null,\"isOpenAccess\":false,\"openAccessPdf\":\"https://www.ncbi.nlm.nih.gov/pmc/articles/PMC12506693/pdf/\",\"citationCount\":\"0\",\"resultStr\":null,\"platform\":\"Semanticscholar\",\"paperid\":null,\"PeriodicalName\":\"Pediatric Infectious Disease Journal\",\"FirstCategoryId\":\"3\",\"ListUrlMain\":\"https://doi.org/10.1097/INF.0000000000004897\",\"RegionNum\":4,\"RegionCategory\":\"医学\",\"ArticlePicture\":[],\"TitleCN\":null,\"AbstractTextCN\":null,\"PMCID\":null,\"EPubDate\":\"2025/6/16 0:00:00\",\"PubModel\":\"Epub\",\"JCR\":\"Q3\",\"JCRName\":\"IMMUNOLOGY\",\"Score\":null,\"Total\":0}","platform":"Semanticscholar","paperid":null,"PeriodicalName":"Pediatric Infectious Disease Journal","FirstCategoryId":"3","ListUrlMain":"https://doi.org/10.1097/INF.0000000000004897","RegionNum":4,"RegionCategory":"医学","ArticlePicture":[],"TitleCN":null,"AbstractTextCN":null,"PMCID":null,"EPubDate":"2025/6/16 0:00:00","PubModel":"Epub","JCR":"Q3","JCRName":"IMMUNOLOGY","Score":null,"Total":0}
引用次数: 0

摘要

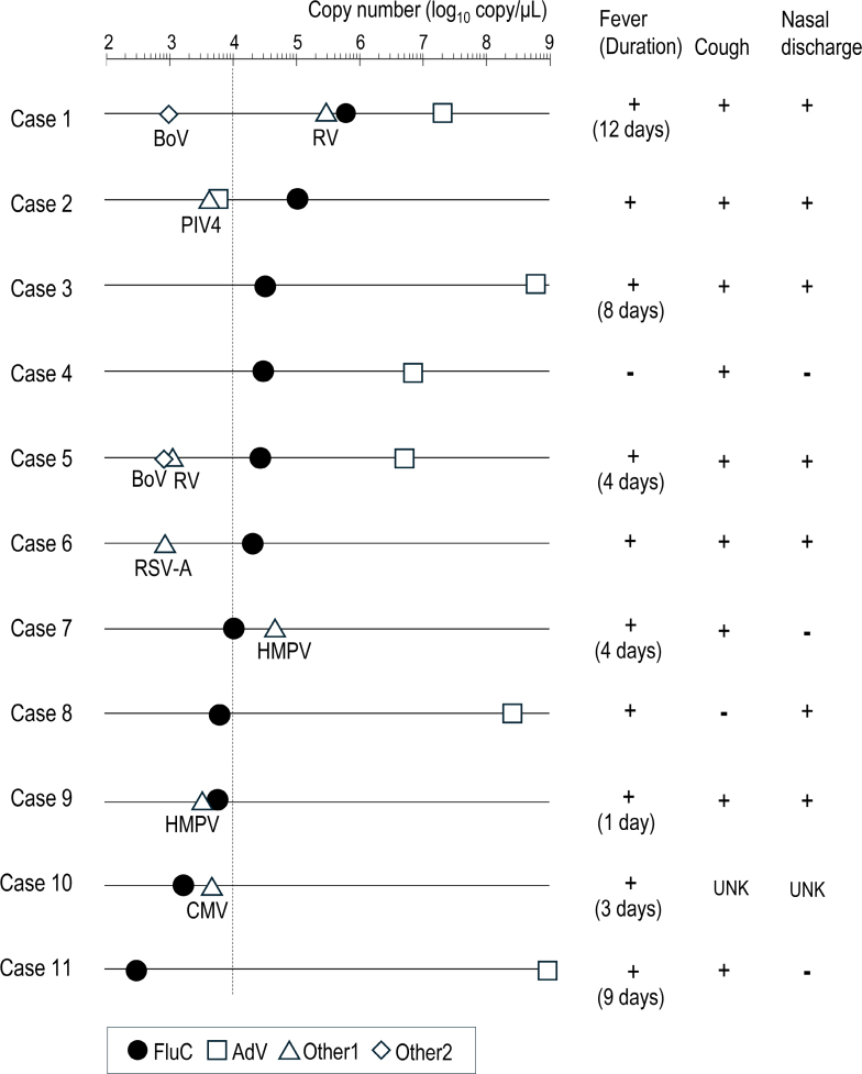
背景:利用细胞培养法检测感染性病毒的优势,对丙型流感病毒感染进行了监测。多重聚合酶链反应(PCR)的应用提高了同一临床标本中多种病原体的检出率,但难以确定丙型流感病毒是否是患者症状的原因。本研究旨在评估基于临床标本病毒载量的共病原体对丙型流感病毒感染儿童的影响。方法:采用细胞培养法分离丙型流感病毒及其共致病菌11例。采用多重实时荧光定量PCR和下一代测序(NGS)检测病原菌。采用实时荧光定量PCR法测定病毒载量,并探讨其与患者症状的关系。结果:11份标本中有5份通过实时PCR检测到细胞培养未分离的共病原体,包括鼻病毒、腺病毒和bocavavirus。此外,腺病毒和人偏肺病毒(real-time PCR未检测到)通过下一代测序检测到,但两者的读取数都很低。标本中C型流感病毒水平≥104拷贝/μL的患儿表现出典型的C型流感病毒感染症状,如咳嗽和流鼻水。当一种共病原体的病毒载量大于丙型流感病毒载量时,持续发烧等非典型症状可能是由共病原体引起的,这表明共感染导致了症状的严重程度。结论:了解病毒载量有助于评估病毒在合并病原体的丙型流感感染儿童中的病原学作用。
本文章由计算机程序翻译,如有差异,请以英文原文为准。

Clinical Impact of Co-pathogens in Children Infected With Influenza C Virus Based on Viral Load in Clinical Specimens.

Clinical Impact of Co-pathogens in Children Infected With Influenza C Virus Based on Viral Load in Clinical Specimens.

Background: We have monitored influenza C virus infection using the cell culture method due to its advantage in detecting infectious virus. Application of multiplex polymerase chain reaction (PCR) improves the detection rate of multiple pathogens from the same clinical specimen, and it can be difficult to determine whether the influenza C virus is the cause of the patient's symptoms. This study aimed to evaluate the impact of co-pathogens in children infected with the influenza C virus based on viral load in clinical specimens.

Methods: We enrolled 11 patients in whom influenza C virus and co-pathogens were isolated by cell culture. Pathogens were further detected by multiplex real-time PCR and next-generation sequencing (NGS). Viral load was determined by quantitative real-time PCR, and its association with the patients' symptoms was investigated.

Results: Co-pathogens not isolated in cell culture, including rhinovirus, adenovirus and bocavirus, were detected in 5 of the 11 specimens by real-time PCR. Additionally, adenovirus and human metapneumovirus, which were not detected by real-time PCR, were detected by next-generation sequencing, but both had very low read numbers. Children whose specimens had influenza C virus levels of ≥10 4 copies/μL showed typical symptoms of influenza C virus infection, such as coughing and nasal discharge. When the viral load of a co-pathogen was greater than that of influenza C virus, atypical symptoms such as persistent fever were likely due to the co-pathogens, suggesting that co-infection contributed to symptom severity.

Conclusion: Knowledge of viral load can help in evaluating the etiologic role of the virus in influenza C-infected children with co-pathogens.

求助全文
通过发布文献求助,成功后即可免费获取论文全文。 去求助
来源期刊
CiteScore
6.30
自引率
2.80%
发文量
566
审稿时长
2-4 weeks
期刊介绍: ​​The Pediatric Infectious Disease Journal® (PIDJ) is a complete, up-to-the-minute resource on infectious diseases in children. Through a mix of original studies, informative review articles, and unique case reports, PIDJ delivers the latest insights on combating disease in children — from state-of-the-art diagnostic techniques to the most effective drug therapies and other treatment protocols. It is a resource that can improve patient care and stimulate your personal research.
×
引用
GB/T 7714-2015
复制
MLA
复制
APA
复制
导出至
BibTeX EndNote RefMan NoteFirst NoteExpress
×
提示
您的信息不完整,为了账户安全,请先补充。
现在去补充
×
提示
您因"违规操作"
具体请查看互助需知
我知道了
×
提示
确定
请完成安全验证×
copy
已复制链接
快去分享给好友吧!
我知道了
右上角分享
点击右上角分享
0
联系我们:info@booksci.cn Book学术提供免费学术资源搜索服务,方便国内外学者检索中英文文献。致力于提供最便捷和优质的服务体验。 Copyright © 2023 布克学术 All rights reserved.
京ICP备2023020795号-1
ghs 京公网安备 11010802042870号
Book学术文献互助
Book学术文献互助群
群 号:604180095
Book学术官方微信