基于机器学习的OSA患者睡眠质量风险预测模型的构建与验证

IF 3.4 2区 医学 Q2 CLINICAL NEUROLOGY
Nature and Science of Sleep Pub Date : 2025-06-12 eCollection Date: 2025-01-01 DOI:10.2147/NSS.S516912
Yangyang Tong, Kuo Wen, Enguang Li, Fangzhu Ai, Ping Tang, Hongjuan Wen, Botang Guo
{"title":"基于机器学习的OSA患者睡眠质量风险预测模型的构建与验证","authors":"Yangyang Tong, Kuo Wen, Enguang Li, Fangzhu Ai, Ping Tang, Hongjuan Wen, Botang Guo","doi":"10.2147/NSS.S516912","DOIUrl":null,"url":null,"abstract":"<p><strong>Objective: </strong>The aim of this study was to establish a risk prediction model for sleep quality in patients with obstructive sleep apnea (OSA) based on machine learning algorithms with optimal predictive performance.</p><p><strong>Methods: </strong>A total of 400 OSA patients were included in this study. A LightGBM model was constructed and compared with other machine learning models, in terms of performance metrics such as the area under the receiver operating characteristic curve (AUC), calibration curves, and decision curve analysis (DCA). The SHapley Additive exPlanation (SHAP) analysis was used to interpret the model and identify key predictors of sleep quality.</p><p><strong>Results: </strong>The LightGBM model demonstrated the best predictive performance, with an AUC of 0.910 in the validation set, outperforming support vector machine and random forest. SHAP analysis identified six key predictors of sleep quality: depressive symptoms, OSA duration, oxygen desaturation index (ODI), anxiety symptoms, exercise frequency, and coffee consumption. The model's calibration curve indicated a high degree of agreement between predicted and observed outcomes, and DCA confirmed its clinical utility.</p><p><strong>Conclusion: </strong>The LightGBM model is the best choice for predicting sleep quality in patients with OSA. Depressive symptoms and ODI were the most influential factors negatively associated with sleep quality. This study not only deepens understanding of the factors affecting sleep quality in OSA patients, but also provides a powerful predictive tool for clinical doctors. Future research can explore the potential of incorporating these predictive factors into comprehensive treatment strategies to improve patient prognosis and overall quality of life.</p>","PeriodicalId":18896,"journal":{"name":"Nature and Science of Sleep","volume":"17 ","pages":"1271-1289"},"PeriodicalIF":3.4000,"publicationDate":"2025-06-12","publicationTypes":"Journal Article","fieldsOfStudy":null,"isOpenAccess":false,"openAccessPdf":"https://www.ncbi.nlm.nih.gov/pmc/articles/PMC12170853/pdf/","citationCount":"0","resultStr":"{\"title\":\"Construction and Validation of a Machine Learning-Based Risk Prediction Model for Sleep Quality in Patients with OSA.\",\"authors\":\"Yangyang Tong, Kuo Wen, Enguang Li, Fangzhu Ai, Ping Tang, Hongjuan Wen, Botang Guo\",\"doi\":\"10.2147/NSS.S516912\",\"DOIUrl\":null,\"url\":null,\"abstract\":\"<p><strong>Objective: </strong>The aim of this study was to establish a risk prediction model for sleep quality in patients with obstructive sleep apnea (OSA) based on machine learning algorithms with optimal predictive performance.</p><p><strong>Methods: </strong>A total of 400 OSA patients were included in this study. A LightGBM model was constructed and compared with other machine learning models, in terms of performance metrics such as the area under the receiver operating characteristic curve (AUC), calibration curves, and decision curve analysis (DCA). The SHapley Additive exPlanation (SHAP) analysis was used to interpret the model and identify key predictors of sleep quality.</p><p><strong>Results: </strong>The LightGBM model demonstrated the best predictive performance, with an AUC of 0.910 in the validation set, outperforming support vector machine and random forest. SHAP analysis identified six key predictors of sleep quality: depressive symptoms, OSA duration, oxygen desaturation index (ODI), anxiety symptoms, exercise frequency, and coffee consumption. The model's calibration curve indicated a high degree of agreement between predicted and observed outcomes, and DCA confirmed its clinical utility.</p><p><strong>Conclusion: </strong>The LightGBM model is the best choice for predicting sleep quality in patients with OSA. Depressive symptoms and ODI were the most influential factors negatively associated with sleep quality. This study not only deepens understanding of the factors affecting sleep quality in OSA patients, but also provides a powerful predictive tool for clinical doctors. Future research can explore the potential of incorporating these predictive factors into comprehensive treatment strategies to improve patient prognosis and overall quality of life.</p>\",\"PeriodicalId\":18896,\"journal\":{\"name\":\"Nature and Science of Sleep\",\"volume\":\"17 \",\"pages\":\"1271-1289\"},\"PeriodicalIF\":3.4000,\"publicationDate\":\"2025-06-12\",\"publicationTypes\":\"Journal Article\",\"fieldsOfStudy\":null,\"isOpenAccess\":false,\"openAccessPdf\":\"https://www.ncbi.nlm.nih.gov/pmc/articles/PMC12170853/pdf/\",\"citationCount\":\"0\",\"resultStr\":null,\"platform\":\"Semanticscholar\",\"paperid\":null,\"PeriodicalName\":\"Nature and Science of Sleep\",\"FirstCategoryId\":\"3\",\"ListUrlMain\":\"https://doi.org/10.2147/NSS.S516912\",\"RegionNum\":2,\"RegionCategory\":\"医学\",\"ArticlePicture\":[],\"TitleCN\":null,\"AbstractTextCN\":null,\"PMCID\":null,\"EPubDate\":\"2025/1/1 0:00:00\",\"PubModel\":\"eCollection\",\"JCR\":\"Q2\",\"JCRName\":\"CLINICAL NEUROLOGY\",\"Score\":null,\"Total\":0}","platform":"Semanticscholar","paperid":null,"PeriodicalName":"Nature and Science of Sleep","FirstCategoryId":"3","ListUrlMain":"https://doi.org/10.2147/NSS.S516912","RegionNum":2,"RegionCategory":"医学","ArticlePicture":[],"TitleCN":null,"AbstractTextCN":null,"PMCID":null,"EPubDate":"2025/1/1 0:00:00","PubModel":"eCollection","JCR":"Q2","JCRName":"CLINICAL NEUROLOGY","Score":null,"Total":0}
引用次数: 0

摘要

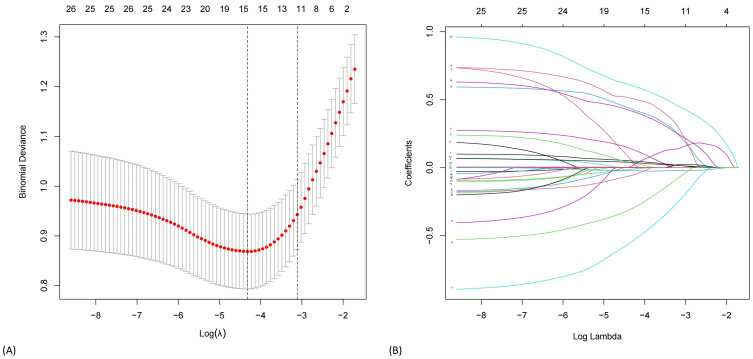
目的:本研究旨在建立基于机器学习算法的预测性能最优的阻塞性睡眠呼吸暂停(OSA)患者睡眠质量风险预测模型。方法:本研究共纳入400例OSA患者。构建了LightGBM模型,并将其与其他机器学习模型进行了性能指标的比较,如接收器工作特征曲线(AUC)下的面积、校准曲线和决策曲线分析(DCA)。使用SHapley加性解释(SHAP)分析来解释模型并确定睡眠质量的关键预测因子。结果:LightGBM模型的预测性能最好,在验证集中AUC为0.910,优于支持向量机和随机森林。SHAP分析确定了睡眠质量的六个关键预测因素:抑郁症状、OSA持续时间、氧去饱和指数(ODI)、焦虑症状、运动频率和咖啡摄入量。该模型的校正曲线表明预测结果与观察结果高度一致,DCA证实了其临床实用性。结论:LightGBM模型是预测OSA患者睡眠质量的最佳选择。抑郁症状和ODI是影响睡眠质量负相关的最主要因素。本研究不仅加深了对OSA患者睡眠质量影响因素的认识,也为临床医生提供了有力的预测工具。未来的研究可以探索将这些预测因素纳入综合治疗策略以改善患者预后和整体生活质量的潜力。
本文章由计算机程序翻译,如有差异,请以英文原文为准。

Construction and Validation of a Machine Learning-Based Risk Prediction Model for Sleep Quality in Patients with OSA.

Construction and Validation of a Machine Learning-Based Risk Prediction Model for Sleep Quality in Patients with OSA.

Construction and Validation of a Machine Learning-Based Risk Prediction Model for Sleep Quality in Patients with OSA.

Construction and Validation of a Machine Learning-Based Risk Prediction Model for Sleep Quality in Patients with OSA.

Objective: The aim of this study was to establish a risk prediction model for sleep quality in patients with obstructive sleep apnea (OSA) based on machine learning algorithms with optimal predictive performance.

Methods: A total of 400 OSA patients were included in this study. A LightGBM model was constructed and compared with other machine learning models, in terms of performance metrics such as the area under the receiver operating characteristic curve (AUC), calibration curves, and decision curve analysis (DCA). The SHapley Additive exPlanation (SHAP) analysis was used to interpret the model and identify key predictors of sleep quality.

Results: The LightGBM model demonstrated the best predictive performance, with an AUC of 0.910 in the validation set, outperforming support vector machine and random forest. SHAP analysis identified six key predictors of sleep quality: depressive symptoms, OSA duration, oxygen desaturation index (ODI), anxiety symptoms, exercise frequency, and coffee consumption. The model's calibration curve indicated a high degree of agreement between predicted and observed outcomes, and DCA confirmed its clinical utility.

Conclusion: The LightGBM model is the best choice for predicting sleep quality in patients with OSA. Depressive symptoms and ODI were the most influential factors negatively associated with sleep quality. This study not only deepens understanding of the factors affecting sleep quality in OSA patients, but also provides a powerful predictive tool for clinical doctors. Future research can explore the potential of incorporating these predictive factors into comprehensive treatment strategies to improve patient prognosis and overall quality of life.

求助全文
通过发布文献求助,成功后即可免费获取论文全文。 去求助
来源期刊
Nature and Science of Sleep
Nature and Science of Sleep Neuroscience-Behavioral Neuroscience
CiteScore
5.70
自引率
5.90%
发文量
245
审稿时长
16 weeks
期刊介绍: Nature and Science of Sleep is an international, peer-reviewed, open access journal covering all aspects of sleep science and sleep medicine, including the neurophysiology and functions of sleep, the genetics of sleep, sleep and society, biological rhythms, dreaming, sleep disorders and therapy, and strategies to optimize healthy sleep. Specific topics covered in the journal include: The functions of sleep in humans and other animals Physiological and neurophysiological changes with sleep The genetics of sleep and sleep differences The neurotransmitters, receptors and pathways involved in controlling both sleep and wakefulness Behavioral and pharmacological interventions aimed at improving sleep, and improving wakefulness Sleep changes with development and with age Sleep and reproduction (e.g., changes across the menstrual cycle, with pregnancy and menopause) The science and nature of dreams Sleep disorders Impact of sleep and sleep disorders on health, daytime function and quality of life Sleep problems secondary to clinical disorders Interaction of society with sleep (e.g., consequences of shift work, occupational health, public health) The microbiome and sleep Chronotherapy Impact of circadian rhythms on sleep, physiology, cognition and health Mechanisms controlling circadian rhythms, centrally and peripherally Impact of circadian rhythm disruptions (including night shift work, jet lag and social jet lag) on sleep, physiology, cognition and health Behavioral and pharmacological interventions aimed at reducing adverse effects of circadian-related sleep disruption Assessment of technologies and biomarkers for measuring sleep and/or circadian rhythms Epigenetic markers of sleep or circadian disruption.
×
引用
GB/T 7714-2015
复制
MLA
复制
APA
复制
导出至
BibTeX EndNote RefMan NoteFirst NoteExpress
×
提示
您的信息不完整,为了账户安全,请先补充。
现在去补充
×
提示
您因"违规操作"
具体请查看互助需知
我知道了
×
提示
确定
请完成安全验证×
copy
已复制链接
快去分享给好友吧!
我知道了
右上角分享
点击右上角分享
0
联系我们:info@booksci.cn Book学术提供免费学术资源搜索服务,方便国内外学者检索中英文文献。致力于提供最便捷和优质的服务体验。 Copyright © 2023 布克学术 All rights reserved.
京ICP备2023020795号-1
ghs 京公网安备 11010802042870号
Book学术文献互助
Book学术文献互助群
群 号:604180095
Book学术官方微信