高阶网络社会困境中的合作驱动因素。

IF 3.5 2区 综合性期刊 Q1 MULTIDISCIPLINARY SCIENCES
Journal of The Royal Society Interface Pub Date : 2025-06-01 Epub Date: 2025-06-18 DOI:10.1098/rsif.2025.0134
Onkar Sadekar, Andrea Civilini, Vito Latora, Federico Battiston
{"title":"高阶网络社会困境中的合作驱动因素。","authors":"Onkar Sadekar, Andrea Civilini, Vito Latora, Federico Battiston","doi":"10.1098/rsif.2025.0134","DOIUrl":null,"url":null,"abstract":"<p><p>Understanding cooperation in social dilemmas requires models that capture the complexity of real-world interactions. While network frameworks have provided valuable insights to model the evolution of cooperation, they are unable to encode group interactions properly. Here, we introduce a general higher-order networks framework for multi-player games on structured populations. Our model considers multi-dimensional strategies, based on the observation that social behaviours are affected by the size of the group interaction. We investigate the dynamical and structural coupling between different orders of interactions, revealing the crucial role of nested multi-level interactions and showing how such features can enhance cooperation beyond the limit of traditional models with uni-dimensional strategies. Our work identifies the key drivers promoting cooperative behaviour commonly observed in real-world group social dilemmas.</p>","PeriodicalId":17488,"journal":{"name":"Journal of The Royal Society Interface","volume":"22 227","pages":"20250134"},"PeriodicalIF":3.5000,"publicationDate":"2025-06-01","publicationTypes":"Journal Article","fieldsOfStudy":null,"isOpenAccess":false,"openAccessPdf":"https://www.ncbi.nlm.nih.gov/pmc/articles/PMC12173504/pdf/","citationCount":"0","resultStr":"{\"title\":\"Drivers of cooperation in social dilemmas on higher-order networks.\",\"authors\":\"Onkar Sadekar, Andrea Civilini, Vito Latora, Federico Battiston\",\"doi\":\"10.1098/rsif.2025.0134\",\"DOIUrl\":null,\"url\":null,\"abstract\":\"<p><p>Understanding cooperation in social dilemmas requires models that capture the complexity of real-world interactions. While network frameworks have provided valuable insights to model the evolution of cooperation, they are unable to encode group interactions properly. Here, we introduce a general higher-order networks framework for multi-player games on structured populations. Our model considers multi-dimensional strategies, based on the observation that social behaviours are affected by the size of the group interaction. We investigate the dynamical and structural coupling between different orders of interactions, revealing the crucial role of nested multi-level interactions and showing how such features can enhance cooperation beyond the limit of traditional models with uni-dimensional strategies. Our work identifies the key drivers promoting cooperative behaviour commonly observed in real-world group social dilemmas.</p>\",\"PeriodicalId\":17488,\"journal\":{\"name\":\"Journal of The Royal Society Interface\",\"volume\":\"22 227\",\"pages\":\"20250134\"},\"PeriodicalIF\":3.5000,\"publicationDate\":\"2025-06-01\",\"publicationTypes\":\"Journal Article\",\"fieldsOfStudy\":null,\"isOpenAccess\":false,\"openAccessPdf\":\"https://www.ncbi.nlm.nih.gov/pmc/articles/PMC12173504/pdf/\",\"citationCount\":\"0\",\"resultStr\":null,\"platform\":\"Semanticscholar\",\"paperid\":null,\"PeriodicalName\":\"Journal of The Royal Society Interface\",\"FirstCategoryId\":\"103\",\"ListUrlMain\":\"https://doi.org/10.1098/rsif.2025.0134\",\"RegionNum\":2,\"RegionCategory\":\"综合性期刊\",\"ArticlePicture\":[],\"TitleCN\":null,\"AbstractTextCN\":null,\"PMCID\":null,\"EPubDate\":\"2025/6/18 0:00:00\",\"PubModel\":\"Epub\",\"JCR\":\"Q1\",\"JCRName\":\"MULTIDISCIPLINARY SCIENCES\",\"Score\":null,\"Total\":0}","platform":"Semanticscholar","paperid":null,"PeriodicalName":"Journal of The Royal Society Interface","FirstCategoryId":"103","ListUrlMain":"https://doi.org/10.1098/rsif.2025.0134","RegionNum":2,"RegionCategory":"综合性期刊","ArticlePicture":[],"TitleCN":null,"AbstractTextCN":null,"PMCID":null,"EPubDate":"2025/6/18 0:00:00","PubModel":"Epub","JCR":"Q1","JCRName":"MULTIDISCIPLINARY SCIENCES","Score":null,"Total":0}
引用次数: 0

摘要

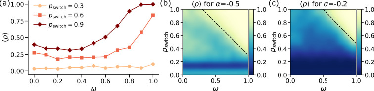
理解社会困境中的合作需要能够捕捉现实世界互动复杂性的模型。虽然网络框架为模拟合作的演变提供了有价值的见解,但它们无法正确地对群体互动进行编码。在这里,我们为结构化人群上的多人博弈引入了一个一般的高阶网络框架。我们的模型考虑了多维策略,基于对社会行为受群体互动规模影响的观察。我们研究了不同顺序的相互作用之间的动态和结构耦合,揭示了嵌套多层次相互作用的关键作用,并展示了这些特征如何超越传统单维策略模型的限制来增强合作。我们的工作确定了在现实世界的群体社会困境中常见的促进合作行为的关键驱动因素。
本文章由计算机程序翻译,如有差异,请以英文原文为准。

Drivers of cooperation in social dilemmas on higher-order networks.

Drivers of cooperation in social dilemmas on higher-order networks.

Drivers of cooperation in social dilemmas on higher-order networks.

Drivers of cooperation in social dilemmas on higher-order networks.

Understanding cooperation in social dilemmas requires models that capture the complexity of real-world interactions. While network frameworks have provided valuable insights to model the evolution of cooperation, they are unable to encode group interactions properly. Here, we introduce a general higher-order networks framework for multi-player games on structured populations. Our model considers multi-dimensional strategies, based on the observation that social behaviours are affected by the size of the group interaction. We investigate the dynamical and structural coupling between different orders of interactions, revealing the crucial role of nested multi-level interactions and showing how such features can enhance cooperation beyond the limit of traditional models with uni-dimensional strategies. Our work identifies the key drivers promoting cooperative behaviour commonly observed in real-world group social dilemmas.

求助全文
通过发布文献求助,成功后即可免费获取论文全文。 去求助
来源期刊
Journal of The Royal Society Interface
Journal of The Royal Society Interface 综合性期刊-综合性期刊
CiteScore
7.10
自引率
2.60%
发文量
234
审稿时长
2.5 months
期刊介绍: J. R. Soc. Interface welcomes articles of high quality research at the interface of the physical and life sciences. It provides a high-quality forum to publish rapidly and interact across this boundary in two main ways: J. R. Soc. Interface publishes research applying chemistry, engineering, materials science, mathematics and physics to the biological and medical sciences; it also highlights discoveries in the life sciences of relevance to the physical sciences. Both sides of the interface are considered equally and it is one of the only journals to cover this exciting new territory. J. R. Soc. Interface welcomes contributions on a diverse range of topics, including but not limited to; biocomplexity, bioengineering, bioinformatics, biomaterials, biomechanics, bionanoscience, biophysics, chemical biology, computer science (as applied to the life sciences), medical physics, synthetic biology, systems biology, theoretical biology and tissue engineering.
×
引用
GB/T 7714-2015
复制
MLA
复制
APA
复制
导出至
BibTeX EndNote RefMan NoteFirst NoteExpress
×
提示
您的信息不完整,为了账户安全,请先补充。
现在去补充
×
提示
您因"违规操作"
具体请查看互助需知
我知道了
×
提示
确定
请完成安全验证×
copy
已复制链接
快去分享给好友吧!
我知道了
右上角分享
点击右上角分享
0
联系我们:info@booksci.cn Book学术提供免费学术资源搜索服务,方便国内外学者检索中英文文献。致力于提供最便捷和优质的服务体验。 Copyright © 2023 布克学术 All rights reserved.
京ICP备2023020795号-1
ghs 京公网安备 11010802042870号
Book学术文献互助
Book学术文献互助群
群 号:604180095
Book学术官方微信