利用陶瓷立体光刻技术制备生物相容性磷酸钙陶瓷支架。

IF 4.5 3区 医学 Q2 ENGINEERING, BIOMEDICAL
Carolina Duque-Uribe, Valentina López Vargas, Ana Isabel Moreno Florez, Alejandro Pelaez-Vargas, Alex Ossa, Carolina Cárdenas-Ramírez, Sebastián Restrepo-Vélez, Andrés Felipe Vásquez, Claudia Garcia
{"title":"利用陶瓷立体光刻技术制备生物相容性磷酸钙陶瓷支架。","authors":"Carolina Duque-Uribe,&nbsp;Valentina López Vargas,&nbsp;Ana Isabel Moreno Florez,&nbsp;Alejandro Pelaez-Vargas,&nbsp;Alex Ossa,&nbsp;Carolina Cárdenas-Ramírez,&nbsp;Sebastián Restrepo-Vélez,&nbsp;Andrés Felipe Vásquez,&nbsp;Claudia Garcia","doi":"10.1007/s10856-025-06903-5","DOIUrl":null,"url":null,"abstract":"<div><p>Ceramic stereolithography scaffolds with designs based on triple periodic minimal surfaces (TPMS) were developed for potential applications in bone tissue regeneration. An acrylic-based resin with calcium phosphate nanoparticles were used. Particles were synthesized via Combustion in solution, resulting in hydroxyapatite and β-TCP phases. Suspensions with 35, 40, and 50 vol% particles, using a 10 wt% of dispersant, were prepared and rheologically characterized to ensure suitable viscosities for printing, and were used to print gyroid scaffolds by DLP technique. The suspension with the highest ceramic load demonstrated the highest viscosity. The green bodies were morphologically and mechanically characterized before and after sintering. Volumetric shrinkage, morphological characteristics by digital and FE-SEM images, and compressive strength were evaluated. Polymeric-ceramic (Hybrid) scaffolds before sintering exhibited better compressive strength than sintered ones. Ceramic scaffolds achieved compressive strength values up to 0.9 MPa, comparable to those of cancellous and cortical bone. The optimal scaffolds (50CPF) were subjected to degradation tests in PBS and were impregnated with ethanolic extract of propolis from Arauca, Colombia, for biological analysis using the L929 cell line. The results indicate that ceramic stereolithography is an effective technique to produce scaffolds with optimal characteristics for potential applications in bone tissue regeneration.</p><h3>Graphical Abstract</h3><div><figure><div><div><picture><source><img></source></picture></div></div></figure></div></div>","PeriodicalId":647,"journal":{"name":"Journal of Materials Science: Materials in Medicine","volume":"36 1","pages":""},"PeriodicalIF":4.5000,"publicationDate":"2025-06-17","publicationTypes":"Journal Article","fieldsOfStudy":null,"isOpenAccess":false,"openAccessPdf":"https://www.ncbi.nlm.nih.gov/pmc/articles/PMC12174250/pdf/","citationCount":"0","resultStr":"{\"title\":\"Obtaining biocompatible ceramic scaffolds of calcium phosphates through ceramic stereolithography\",\"authors\":\"Carolina Duque-Uribe,&nbsp;Valentina López Vargas,&nbsp;Ana Isabel Moreno Florez,&nbsp;Alejandro Pelaez-Vargas,&nbsp;Alex Ossa,&nbsp;Carolina Cárdenas-Ramírez,&nbsp;Sebastián Restrepo-Vélez,&nbsp;Andrés Felipe Vásquez,&nbsp;Claudia Garcia\",\"doi\":\"10.1007/s10856-025-06903-5\",\"DOIUrl\":null,\"url\":null,\"abstract\":\"<div><p>Ceramic stereolithography scaffolds with designs based on triple periodic minimal surfaces (TPMS) were developed for potential applications in bone tissue regeneration. An acrylic-based resin with calcium phosphate nanoparticles were used. Particles were synthesized via Combustion in solution, resulting in hydroxyapatite and β-TCP phases. Suspensions with 35, 40, and 50 vol% particles, using a 10 wt% of dispersant, were prepared and rheologically characterized to ensure suitable viscosities for printing, and were used to print gyroid scaffolds by DLP technique. The suspension with the highest ceramic load demonstrated the highest viscosity. The green bodies were morphologically and mechanically characterized before and after sintering. Volumetric shrinkage, morphological characteristics by digital and FE-SEM images, and compressive strength were evaluated. Polymeric-ceramic (Hybrid) scaffolds before sintering exhibited better compressive strength than sintered ones. Ceramic scaffolds achieved compressive strength values up to 0.9 MPa, comparable to those of cancellous and cortical bone. The optimal scaffolds (50CPF) were subjected to degradation tests in PBS and were impregnated with ethanolic extract of propolis from Arauca, Colombia, for biological analysis using the L929 cell line. The results indicate that ceramic stereolithography is an effective technique to produce scaffolds with optimal characteristics for potential applications in bone tissue regeneration.</p><h3>Graphical Abstract</h3><div><figure><div><div><picture><source><img></source></picture></div></div></figure></div></div>\",\"PeriodicalId\":647,\"journal\":{\"name\":\"Journal of Materials Science: Materials in Medicine\",\"volume\":\"36 1\",\"pages\":\"\"},\"PeriodicalIF\":4.5000,\"publicationDate\":\"2025-06-17\",\"publicationTypes\":\"Journal Article\",\"fieldsOfStudy\":null,\"isOpenAccess\":false,\"openAccessPdf\":\"https://www.ncbi.nlm.nih.gov/pmc/articles/PMC12174250/pdf/\",\"citationCount\":\"0\",\"resultStr\":null,\"platform\":\"Semanticscholar\",\"paperid\":null,\"PeriodicalName\":\"Journal of Materials Science: Materials in Medicine\",\"FirstCategoryId\":\"5\",\"ListUrlMain\":\"https://link.springer.com/article/10.1007/s10856-025-06903-5\",\"RegionNum\":3,\"RegionCategory\":\"医学\",\"ArticlePicture\":[],\"TitleCN\":null,\"AbstractTextCN\":null,\"PMCID\":null,\"EPubDate\":\"\",\"PubModel\":\"\",\"JCR\":\"Q2\",\"JCRName\":\"ENGINEERING, BIOMEDICAL\",\"Score\":null,\"Total\":0}","platform":"Semanticscholar","paperid":null,"PeriodicalName":"Journal of Materials Science: Materials in Medicine","FirstCategoryId":"5","ListUrlMain":"https://link.springer.com/article/10.1007/s10856-025-06903-5","RegionNum":3,"RegionCategory":"医学","ArticlePicture":[],"TitleCN":null,"AbstractTextCN":null,"PMCID":null,"EPubDate":"","PubModel":"","JCR":"Q2","JCRName":"ENGINEERING, BIOMEDICAL","Score":null,"Total":0}
引用次数: 0

摘要

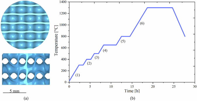
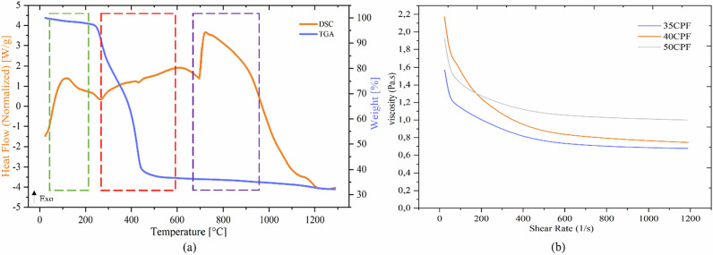
基于三周期最小表面(TPMS)设计的陶瓷立体光刻支架在骨组织再生中具有潜在的应用前景。采用丙烯酸基树脂和磷酸钙纳米颗粒。通过在溶液中燃烧合成颗粒,得到羟基磷灰石和β-TCP相。制备了含有35、40和50体积%颗粒的悬浮液,使用10重量%的分散剂,并对其进行了流变学表征,以确保适合打印的粘度,并通过DLP技术用于打印陀形支架。陶瓷载荷最大的悬浮液粘度最高。对烧结前后的绿体进行了形貌和力学表征。体积收缩率、数字和FE-SEM图像的形态特征以及抗压强度进行了评估。未烧结的聚合物-陶瓷(杂化)支架抗压强度优于烧结后的聚合物-陶瓷(杂化)支架。陶瓷支架的抗压强度可达0.9 MPa,与松质骨和皮质骨相当。最佳支架(50CPF)在PBS中进行降解试验,并用哥伦比亚Arauca蜂胶乙醇提取物浸没,使用L929细胞系进行生物学分析。结果表明,陶瓷立体光刻技术是制备具有最佳性能的骨支架的有效技术,在骨组织再生中具有潜在的应用前景。
本文章由计算机程序翻译,如有差异,请以英文原文为准。

Obtaining biocompatible ceramic scaffolds of calcium phosphates through ceramic stereolithography

Obtaining biocompatible ceramic scaffolds of calcium phosphates through ceramic stereolithography

Obtaining biocompatible ceramic scaffolds of calcium phosphates through ceramic stereolithography

Obtaining biocompatible ceramic scaffolds of calcium phosphates through ceramic stereolithography

Ceramic stereolithography scaffolds with designs based on triple periodic minimal surfaces (TPMS) were developed for potential applications in bone tissue regeneration. An acrylic-based resin with calcium phosphate nanoparticles were used. Particles were synthesized via Combustion in solution, resulting in hydroxyapatite and β-TCP phases. Suspensions with 35, 40, and 50 vol% particles, using a 10 wt% of dispersant, were prepared and rheologically characterized to ensure suitable viscosities for printing, and were used to print gyroid scaffolds by DLP technique. The suspension with the highest ceramic load demonstrated the highest viscosity. The green bodies were morphologically and mechanically characterized before and after sintering. Volumetric shrinkage, morphological characteristics by digital and FE-SEM images, and compressive strength were evaluated. Polymeric-ceramic (Hybrid) scaffolds before sintering exhibited better compressive strength than sintered ones. Ceramic scaffolds achieved compressive strength values up to 0.9 MPa, comparable to those of cancellous and cortical bone. The optimal scaffolds (50CPF) were subjected to degradation tests in PBS and were impregnated with ethanolic extract of propolis from Arauca, Colombia, for biological analysis using the L929 cell line. The results indicate that ceramic stereolithography is an effective technique to produce scaffolds with optimal characteristics for potential applications in bone tissue regeneration.

Graphical Abstract

求助全文
通过发布文献求助,成功后即可免费获取论文全文。 去求助
来源期刊
Journal of Materials Science: Materials in Medicine
Journal of Materials Science: Materials in Medicine 工程技术-材料科学:生物材料
CiteScore
8.00
自引率
0.00%
发文量
73
审稿时长
3.5 months
期刊介绍: The Journal of Materials Science: Materials in Medicine publishes refereed papers providing significant progress in the application of biomaterials and tissue engineering constructs as medical or dental implants, prostheses and devices. Coverage spans a wide range of topics from basic science to clinical applications, around the theme of materials in medicine and dentistry. The central element is the development of synthetic and natural materials used in orthopaedic, maxillofacial, cardiovascular, neurological, ophthalmic and dental applications. Special biomedical topics include biomaterial synthesis and characterisation, biocompatibility studies, nanomedicine, tissue engineering constructs and cell substrates, regenerative medicine, computer modelling and other advanced experimental methodologies.
×
引用
GB/T 7714-2015
复制
MLA
复制
APA
复制
导出至
BibTeX EndNote RefMan NoteFirst NoteExpress
×
提示
您的信息不完整,为了账户安全,请先补充。
现在去补充
×
提示
您因"违规操作"
具体请查看互助需知
我知道了
×
提示
确定
请完成安全验证×
copy
已复制链接
快去分享给好友吧!
我知道了
右上角分享
点击右上角分享
0
联系我们:info@booksci.cn Book学术提供免费学术资源搜索服务,方便国内外学者检索中英文文献。致力于提供最便捷和优质的服务体验。 Copyright © 2023 布克学术 All rights reserved.
京ICP备2023020795号-1
ghs 京公网安备 11010802042870号
Book学术文献互助
Book学术文献互助群
群 号:604180095
Book学术官方微信