数字工具对缅甸糖尿病控制一线卫生工作者的知识和绩效的影响:成本效益分析和准实验研究

IF 4
JMIR nursing Pub Date : 2025-06-16 DOI:10.2196/72230
Kyi Thar, Sathirakorn Pongpanich, Min Nwe Tun
{"title":"数字工具对缅甸糖尿病控制一线卫生工作者的知识和绩效的影响:成本效益分析和准实验研究","authors":"Kyi Thar, Sathirakorn Pongpanich, Min Nwe Tun","doi":"10.2196/72230","DOIUrl":null,"url":null,"abstract":"<p><strong>Background: </strong>Diabetes has become a significant global health issue, particularly imposing a deep economic burden on low-income countries. Innovative and integrated digital solutions can reduce the impact of diabetes and enhance the quality of care. However, digital solutions have not been utilized before in Myanmar.</p><p><strong>Objective: </strong>This study aimed to demonstrate the novel integrated effect of diabetes knowledge and registry tools on the performance of front-line health workers in primary health care settings.</p><p><strong>Methods: </strong>A quasi-experimental study with an intervention and a control group was conducted in two townships from October 2022 to April 2023. For the first time, researchers trained the intervention group to use digital tools for diabetes control and performed monthly follow-ups. The study employed multiple linear regression models to explore the novel impact of digital tools on knowledge and performance scores, their correlations, and their association with covariates. Additionally, it assessed the cost-effectiveness of the intervention by using self-administered questionnaires as measurement tools formulated based on the National Diabetes Guidelines.</p><p><strong>Results: </strong>A total of 96 participants were enrolled in the study, divided evenly into the two groups. The intervention group exhibited a significant increase in the mean knowledge scores from 85.81 to 99.25 (P<.001) and performance scores from 71.22 to 107.16 (P<.001). The intervention accounted for 43.2% of the variance in knowledge scores and 62.5% in performance scores (P<.001). A positive correlation was found between knowledge and performance scores (r=0.45, P<.001). The intervention was also cost-effective, with a cost-effectiveness analysis value of 0.711 and an incremental cost-effectiveness ratio of 10127.04 Kyats (US$ 4.83).</p><p><strong>Conclusions: </strong>As the new integrated intervention yields significant economic gains and positive effects, researchers suggest policy makers replicate this intervention as a nationwide program and recommend scaling up the use of digital tools to improve knowledge and performance for diabetes control in frontline health workers.</p>","PeriodicalId":73556,"journal":{"name":"JMIR nursing","volume":"8 ","pages":"e72230"},"PeriodicalIF":4.0000,"publicationDate":"2025-06-16","publicationTypes":"Journal Article","fieldsOfStudy":null,"isOpenAccess":false,"openAccessPdf":"https://www.ncbi.nlm.nih.gov/pmc/articles/PMC12185031/pdf/","citationCount":"0","resultStr":"{\"title\":\"Effect of Digital Tools on the Knowledge and Performance of Frontline Health Workers For Diabetes Control in Myanmar: Cost-Effective Analysis and Quasi Experimental Study.\",\"authors\":\"Kyi Thar, Sathirakorn Pongpanich, Min Nwe Tun\",\"doi\":\"10.2196/72230\",\"DOIUrl\":null,\"url\":null,\"abstract\":\"<p><strong>Background: </strong>Diabetes has become a significant global health issue, particularly imposing a deep economic burden on low-income countries. Innovative and integrated digital solutions can reduce the impact of diabetes and enhance the quality of care. However, digital solutions have not been utilized before in Myanmar.</p><p><strong>Objective: </strong>This study aimed to demonstrate the novel integrated effect of diabetes knowledge and registry tools on the performance of front-line health workers in primary health care settings.</p><p><strong>Methods: </strong>A quasi-experimental study with an intervention and a control group was conducted in two townships from October 2022 to April 2023. For the first time, researchers trained the intervention group to use digital tools for diabetes control and performed monthly follow-ups. The study employed multiple linear regression models to explore the novel impact of digital tools on knowledge and performance scores, their correlations, and their association with covariates. Additionally, it assessed the cost-effectiveness of the intervention by using self-administered questionnaires as measurement tools formulated based on the National Diabetes Guidelines.</p><p><strong>Results: </strong>A total of 96 participants were enrolled in the study, divided evenly into the two groups. The intervention group exhibited a significant increase in the mean knowledge scores from 85.81 to 99.25 (P<.001) and performance scores from 71.22 to 107.16 (P<.001). The intervention accounted for 43.2% of the variance in knowledge scores and 62.5% in performance scores (P<.001). A positive correlation was found between knowledge and performance scores (r=0.45, P<.001). The intervention was also cost-effective, with a cost-effectiveness analysis value of 0.711 and an incremental cost-effectiveness ratio of 10127.04 Kyats (US$ 4.83).</p><p><strong>Conclusions: </strong>As the new integrated intervention yields significant economic gains and positive effects, researchers suggest policy makers replicate this intervention as a nationwide program and recommend scaling up the use of digital tools to improve knowledge and performance for diabetes control in frontline health workers.</p>\",\"PeriodicalId\":73556,\"journal\":{\"name\":\"JMIR nursing\",\"volume\":\"8 \",\"pages\":\"e72230\"},\"PeriodicalIF\":4.0000,\"publicationDate\":\"2025-06-16\",\"publicationTypes\":\"Journal Article\",\"fieldsOfStudy\":null,\"isOpenAccess\":false,\"openAccessPdf\":\"https://www.ncbi.nlm.nih.gov/pmc/articles/PMC12185031/pdf/\",\"citationCount\":\"0\",\"resultStr\":null,\"platform\":\"Semanticscholar\",\"paperid\":null,\"PeriodicalName\":\"JMIR nursing\",\"FirstCategoryId\":\"1085\",\"ListUrlMain\":\"https://doi.org/10.2196/72230\",\"RegionNum\":0,\"RegionCategory\":null,\"ArticlePicture\":[],\"TitleCN\":null,\"AbstractTextCN\":null,\"PMCID\":null,\"EPubDate\":\"\",\"PubModel\":\"\",\"JCR\":\"\",\"JCRName\":\"\",\"Score\":null,\"Total\":0}","platform":"Semanticscholar","paperid":null,"PeriodicalName":"JMIR nursing","FirstCategoryId":"1085","ListUrlMain":"https://doi.org/10.2196/72230","RegionNum":0,"RegionCategory":null,"ArticlePicture":[],"TitleCN":null,"AbstractTextCN":null,"PMCID":null,"EPubDate":"","PubModel":"","JCR":"","JCRName":"","Score":null,"Total":0}
引用次数: 0

摘要

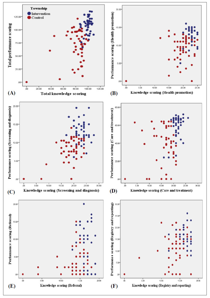
背景:糖尿病已成为一个重大的全球健康问题,尤其给低收入国家造成了沉重的经济负担。创新的综合数字解决方案可以减少糖尿病的影响,提高护理质量。然而,缅甸以前从未使用过数字解决方案。目的:本研究旨在证明糖尿病知识和登记工具对初级卫生保健机构一线卫生工作者绩效的新型综合影响。方法:于2022年10月至2023年4月在两个乡镇进行准实验研究,采用干预组和对照组。研究人员首次训练干预组使用数字工具控制糖尿病,并进行每月随访。本研究采用多元线性回归模型来探讨数字工具对知识和表现分数的新影响、它们之间的相关性以及它们与协变量的关联。此外,它通过使用基于国家糖尿病指南制定的自我管理问卷作为测量工具来评估干预的成本效益。结果:96名参与者被纳入研究,平均分为两组。干预组的平均知识得分从85.81显著提高到99.25。结论:由于新的综合干预产生了显著的经济收益和积极效果,研究人员建议政策制定者将这种干预推广到全国范围内,并建议扩大使用数字工具来提高一线卫生工作者糖尿病控制的知识和绩效。
本文章由计算机程序翻译,如有差异,请以英文原文为准。

Effect of Digital Tools on the Knowledge and Performance of Frontline Health Workers For Diabetes Control in Myanmar: Cost-Effective Analysis and Quasi Experimental Study.

Effect of Digital Tools on the Knowledge and Performance of Frontline Health Workers For Diabetes Control in Myanmar: Cost-Effective Analysis and Quasi Experimental Study.

Effect of Digital Tools on the Knowledge and Performance of Frontline Health Workers For Diabetes Control in Myanmar: Cost-Effective Analysis and Quasi Experimental Study.

Effect of Digital Tools on the Knowledge and Performance of Frontline Health Workers For Diabetes Control in Myanmar: Cost-Effective Analysis and Quasi Experimental Study.

Background: Diabetes has become a significant global health issue, particularly imposing a deep economic burden on low-income countries. Innovative and integrated digital solutions can reduce the impact of diabetes and enhance the quality of care. However, digital solutions have not been utilized before in Myanmar.

Objective: This study aimed to demonstrate the novel integrated effect of diabetes knowledge and registry tools on the performance of front-line health workers in primary health care settings.

Methods: A quasi-experimental study with an intervention and a control group was conducted in two townships from October 2022 to April 2023. For the first time, researchers trained the intervention group to use digital tools for diabetes control and performed monthly follow-ups. The study employed multiple linear regression models to explore the novel impact of digital tools on knowledge and performance scores, their correlations, and their association with covariates. Additionally, it assessed the cost-effectiveness of the intervention by using self-administered questionnaires as measurement tools formulated based on the National Diabetes Guidelines.

Results: A total of 96 participants were enrolled in the study, divided evenly into the two groups. The intervention group exhibited a significant increase in the mean knowledge scores from 85.81 to 99.25 (P<.001) and performance scores from 71.22 to 107.16 (P<.001). The intervention accounted for 43.2% of the variance in knowledge scores and 62.5% in performance scores (P<.001). A positive correlation was found between knowledge and performance scores (r=0.45, P<.001). The intervention was also cost-effective, with a cost-effectiveness analysis value of 0.711 and an incremental cost-effectiveness ratio of 10127.04 Kyats (US$ 4.83).

Conclusions: As the new integrated intervention yields significant economic gains and positive effects, researchers suggest policy makers replicate this intervention as a nationwide program and recommend scaling up the use of digital tools to improve knowledge and performance for diabetes control in frontline health workers.

求助全文
通过发布文献求助,成功后即可免费获取论文全文。 去求助
来源期刊
CiteScore
5.20
自引率
0.00%
发文量
0
审稿时长
16 weeks
×
引用
GB/T 7714-2015
复制
MLA
复制
APA
复制
导出至
BibTeX EndNote RefMan NoteFirst NoteExpress
×
提示
您的信息不完整,为了账户安全,请先补充。
现在去补充
×
提示
您因"违规操作"
具体请查看互助需知
我知道了
×
提示
确定
请完成安全验证×
copy
已复制链接
快去分享给好友吧!
我知道了
右上角分享
点击右上角分享
0
联系我们:info@booksci.cn Book学术提供免费学术资源搜索服务,方便国内外学者检索中英文文献。致力于提供最便捷和优质的服务体验。 Copyright © 2023 布克学术 All rights reserved.
京ICP备2023020795号-1
ghs 京公网安备 11010802042870号
Book学术文献互助
Book学术文献互助群
群 号:604180095
Book学术官方微信