晚上是最合适的时间:在一段尴尬的经历之后,晚上睡觉的时间间隔并不会影响对其再次激活的长期情绪反应。

Faya L Reinhold, Eus J W van Someren, Merel Kindt
{"title":"晚上是最合适的时间:在一段尴尬的经历之后,晚上睡觉的时间间隔并不会影响对其再次激活的长期情绪反应。","authors":"Faya L Reinhold, Eus J W van Someren, Merel Kindt","doi":"10.1093/sleepadvances/zpaf029","DOIUrl":null,"url":null,"abstract":"<p><p>The \"sleep to forget and sleep to remember\" hypothesis states that sleep <i>attenuates the emotional tone</i> of a memory while <i>strengthening its factual content</i>. However, previous experimental research has yielded inconsistent results, associating sleep with the reduction, enhancement, or maintenance of the emotional tone of memories. Although the hypothesized process may necessitate multiple nights of sleep, most studies have relied on single-night protocols. To address this, we further investigated whether immediate sleep diminishes emotional reactivity triggered by memory reactivation after one week. In a karaoke paradigm, we recorded participants' singing of two songs and played back one of their recordings (rec1) to induce an embarrassing episode either in the early afternoon (delayed sleep group; <i>N</i> = 25) or the evening (immediate sleep group; <i>N</i> = 25). One week later, we assessed participants' emotional reactions to the re-exposed recording (rec1) and a newly introduced recording (rec2). Emotional reactivity was assessed using facial blushing as a primary physiological measure and subjective ratings of embarrassment, valence, and blushing. Sleep was monitored using diaries. While the embarrassing episode was successfully induced, Bayesian mixed-effects models revealed reduced facial blushing and more negative valence ratings from initial exposure to re-exposure (rec1) after both a shorter and longer interval to sleep. These changes were nonspecific to the reactivated recording (rec1) and were also observed for the new recording (rec2). Other subjective measures remained unchanged. This study demonstrates that neither the time interval to sleep following encoding nor memory reactivation influenced long-term emotional reactivity, leaving sleep's role in emotional memory processing elusive.</p>","PeriodicalId":74808,"journal":{"name":"Sleep advances : a journal of the Sleep Research Society","volume":"6 2","pages":"zpaf029"},"PeriodicalIF":0.0000,"publicationDate":"2025-05-18","publicationTypes":"Journal Article","fieldsOfStudy":null,"isOpenAccess":false,"openAccessPdf":"https://www.ncbi.nlm.nih.gov/pmc/articles/PMC12168128/pdf/","citationCount":"0","resultStr":"{\"title\":\"Nighttime is the right time: the time interval to overnight sleep following an embarrassing experience does not influence long-term emotional responses to its reactivated episode.\",\"authors\":\"Faya L Reinhold, Eus J W van Someren, Merel Kindt\",\"doi\":\"10.1093/sleepadvances/zpaf029\",\"DOIUrl\":null,\"url\":null,\"abstract\":\"<p><p>The \\\"sleep to forget and sleep to remember\\\" hypothesis states that sleep <i>attenuates the emotional tone</i> of a memory while <i>strengthening its factual content</i>. However, previous experimental research has yielded inconsistent results, associating sleep with the reduction, enhancement, or maintenance of the emotional tone of memories. Although the hypothesized process may necessitate multiple nights of sleep, most studies have relied on single-night protocols. To address this, we further investigated whether immediate sleep diminishes emotional reactivity triggered by memory reactivation after one week. In a karaoke paradigm, we recorded participants' singing of two songs and played back one of their recordings (rec1) to induce an embarrassing episode either in the early afternoon (delayed sleep group; <i>N</i> = 25) or the evening (immediate sleep group; <i>N</i> = 25). One week later, we assessed participants' emotional reactions to the re-exposed recording (rec1) and a newly introduced recording (rec2). Emotional reactivity was assessed using facial blushing as a primary physiological measure and subjective ratings of embarrassment, valence, and blushing. Sleep was monitored using diaries. While the embarrassing episode was successfully induced, Bayesian mixed-effects models revealed reduced facial blushing and more negative valence ratings from initial exposure to re-exposure (rec1) after both a shorter and longer interval to sleep. These changes were nonspecific to the reactivated recording (rec1) and were also observed for the new recording (rec2). Other subjective measures remained unchanged. This study demonstrates that neither the time interval to sleep following encoding nor memory reactivation influenced long-term emotional reactivity, leaving sleep's role in emotional memory processing elusive.</p>\",\"PeriodicalId\":74808,\"journal\":{\"name\":\"Sleep advances : a journal of the Sleep Research Society\",\"volume\":\"6 2\",\"pages\":\"zpaf029\"},\"PeriodicalIF\":0.0000,\"publicationDate\":\"2025-05-18\",\"publicationTypes\":\"Journal Article\",\"fieldsOfStudy\":null,\"isOpenAccess\":false,\"openAccessPdf\":\"https://www.ncbi.nlm.nih.gov/pmc/articles/PMC12168128/pdf/\",\"citationCount\":\"0\",\"resultStr\":null,\"platform\":\"Semanticscholar\",\"paperid\":null,\"PeriodicalName\":\"Sleep advances : a journal of the Sleep Research Society\",\"FirstCategoryId\":\"1085\",\"ListUrlMain\":\"https://doi.org/10.1093/sleepadvances/zpaf029\",\"RegionNum\":0,\"RegionCategory\":null,\"ArticlePicture\":[],\"TitleCN\":null,\"AbstractTextCN\":null,\"PMCID\":null,\"EPubDate\":\"2025/4/1 0:00:00\",\"PubModel\":\"eCollection\",\"JCR\":\"\",\"JCRName\":\"\",\"Score\":null,\"Total\":0}","platform":"Semanticscholar","paperid":null,"PeriodicalName":"Sleep advances : a journal of the Sleep Research Society","FirstCategoryId":"1085","ListUrlMain":"https://doi.org/10.1093/sleepadvances/zpaf029","RegionNum":0,"RegionCategory":null,"ArticlePicture":[],"TitleCN":null,"AbstractTextCN":null,"PMCID":null,"EPubDate":"2025/4/1 0:00:00","PubModel":"eCollection","JCR":"","JCRName":"","Score":null,"Total":0}
引用次数: 0

摘要

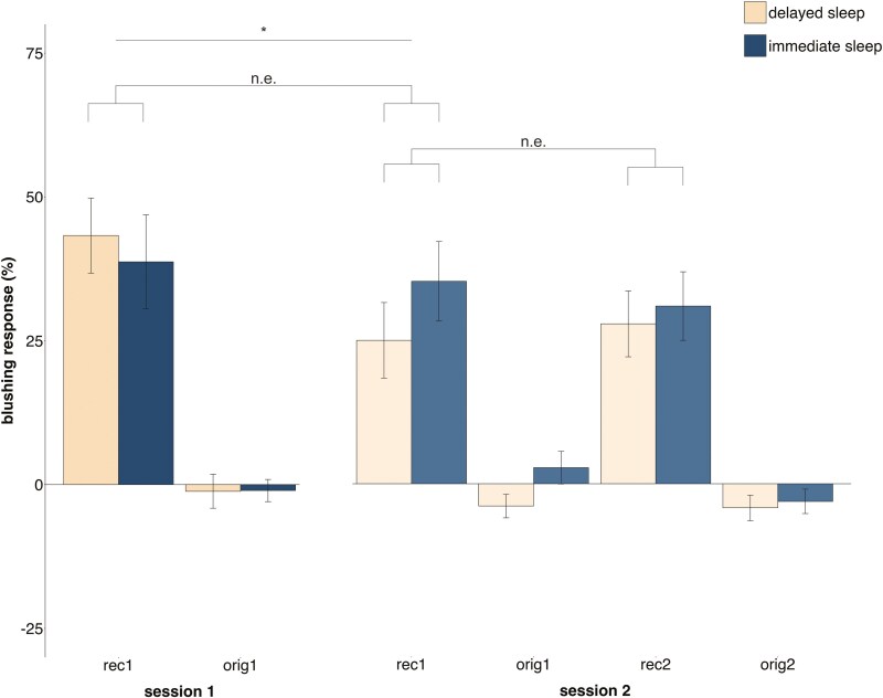
“睡觉是为了忘记,睡觉是为了记住”的假说认为,睡眠会减弱记忆的情感基调,同时加强其事实内容。然而,之前的实验研究得出了不一致的结果,将睡眠与记忆的情绪基调的减少、增强或维持联系起来。虽然假设的过程可能需要多个晚上的睡眠,但大多数研究都依赖于单夜协议。为了解决这个问题,我们进一步研究了立即睡眠是否会减少一周后记忆重新激活引发的情绪反应。在卡拉ok的范例中,我们录下了参与者唱的两首歌,并播放了其中的一首(rec1),以诱导一个尴尬的插曲,或者在下午早些时候(延迟睡眠组;N = 25)或晚上(立即睡眠组;N = 25)。一周后,我们评估了参与者对重新播放的录音(rec1)和新播放的录音(rec2)的情绪反应。情绪反应的评估使用面部脸红作为主要的生理指标,以及尴尬、价态和脸红的主观评分。他们用日记来监测睡眠。虽然尴尬事件被成功诱导,但贝叶斯混合效应模型显示,在较短和较长的睡眠间隔后,从首次暴露到再次暴露(rec1),面部脸红减少,负效价评级增加。这些变化对重新激活的记录(rec1)没有特异性,在新记录(rec2)中也可以观察到。其他主观指标保持不变。本研究表明,编码后的睡眠间隔时间和记忆再激活对长期情绪反应都没有影响,这使得睡眠在情绪记忆加工中的作用难以捉摸。
本文章由计算机程序翻译,如有差异,请以英文原文为准。

Nighttime is the right time: the time interval to overnight sleep following an embarrassing experience does not influence long-term emotional responses to its reactivated episode.

Nighttime is the right time: the time interval to overnight sleep following an embarrassing experience does not influence long-term emotional responses to its reactivated episode.

Nighttime is the right time: the time interval to overnight sleep following an embarrassing experience does not influence long-term emotional responses to its reactivated episode.

Nighttime is the right time: the time interval to overnight sleep following an embarrassing experience does not influence long-term emotional responses to its reactivated episode.

The "sleep to forget and sleep to remember" hypothesis states that sleep attenuates the emotional tone of a memory while strengthening its factual content. However, previous experimental research has yielded inconsistent results, associating sleep with the reduction, enhancement, or maintenance of the emotional tone of memories. Although the hypothesized process may necessitate multiple nights of sleep, most studies have relied on single-night protocols. To address this, we further investigated whether immediate sleep diminishes emotional reactivity triggered by memory reactivation after one week. In a karaoke paradigm, we recorded participants' singing of two songs and played back one of their recordings (rec1) to induce an embarrassing episode either in the early afternoon (delayed sleep group; N = 25) or the evening (immediate sleep group; N = 25). One week later, we assessed participants' emotional reactions to the re-exposed recording (rec1) and a newly introduced recording (rec2). Emotional reactivity was assessed using facial blushing as a primary physiological measure and subjective ratings of embarrassment, valence, and blushing. Sleep was monitored using diaries. While the embarrassing episode was successfully induced, Bayesian mixed-effects models revealed reduced facial blushing and more negative valence ratings from initial exposure to re-exposure (rec1) after both a shorter and longer interval to sleep. These changes were nonspecific to the reactivated recording (rec1) and were also observed for the new recording (rec2). Other subjective measures remained unchanged. This study demonstrates that neither the time interval to sleep following encoding nor memory reactivation influenced long-term emotional reactivity, leaving sleep's role in emotional memory processing elusive.

求助全文
通过发布文献求助,成功后即可免费获取论文全文。 去求助
来源期刊
CiteScore
2.10
自引率
0.00%
发文量
0
×
引用
GB/T 7714-2015
复制
MLA
复制
APA
复制
导出至
BibTeX EndNote RefMan NoteFirst NoteExpress
×
提示
您的信息不完整,为了账户安全,请先补充。
现在去补充
×
提示
您因"违规操作"
具体请查看互助需知
我知道了
×
提示
确定
请完成安全验证×
copy
已复制链接
快去分享给好友吧!
我知道了
右上角分享
点击右上角分享
0
联系我们:info@booksci.cn Book学术提供免费学术资源搜索服务,方便国内外学者检索中英文文献。致力于提供最便捷和优质的服务体验。 Copyright © 2023 布克学术 All rights reserved.
京ICP备2023020795号-1
ghs 京公网安备 11010802042870号
Book学术文献互助
Book学术文献互助群
群 号:604180095
Book学术官方微信