25个流行国家血吸虫病经济负担的估计和预测。

IF 5.5 1区 医学
Xian-Fa Chen, Qin Li, Robert Bergquist, Jin-Xin Zheng, Su-Ying Guo, Qiu-Feng Lan, Zheng-Ze He, Li-Juan Zhang, Chun-Li Cao, Jing Xu, Xiao-Nong Zhou
{"title":"25个流行国家血吸虫病经济负担的估计和预测。","authors":"Xian-Fa Chen, Qin Li, Robert Bergquist, Jin-Xin Zheng, Su-Ying Guo, Qiu-Feng Lan, Zheng-Ze He, Li-Juan Zhang, Chun-Li Cao, Jing Xu, Xiao-Nong Zhou","doi":"10.1186/s40249-025-01330-8","DOIUrl":null,"url":null,"abstract":"<p><strong>Background: </strong>Schistosomiasis is a neglected tropical disease, primarily prevalent in tropical and subtropical regions. It imposes a significant health and economic burden in low- and middle-income countries, but a study of its comprehensive economic impact of the disease at the global level has not been carried out. As this is essential for evidence-based decision-making, this study aims to estimate the macroeconomic burden of schistosomiasis in 25 endemic countries.</p><p><strong>Methods: </strong>We used a health-augmented macroeconomic (HAM) model, as well as observed data from 2010 to 2021 and projected data from 2022 to 2050, to model gross domestic product (GDP) under two scenarios: with and without schistosomiasis. The data were obtained from the Global Burden of Disease Study 2021 (GBD 2021), the World Bank database, the International Monetary Fund (IMF) database, the International Labour Organization (ILO) database, the United Nations Population Division's World Population Prospects 2022 database, the Barro-Lee Educational Attainment dataset, the Penn World Table (PWT) database, and relevant literature. The economic burden was quantified as the difference in GDP between these two scenarios. The HAM model considered: (i) the impact of schistosomiasis mortality and morbidity on labor supply; (ii) age and gender differences in education and work experience among schistosomiasis patients; and (iii) the impact of schistosomiasis treatment costs on physical capital accumulation. To be able to compare the purchasing power of different countries, we used international dollars (INT$), a hypothetical currency unit based on purchasing power parity.</p><p><strong>Results: </strong>We estimated the macroeconomic burden of schistosomiasis in 25 schistosomiasis endemic countries was INT$ 49,504 million [uncertainty interval (UI): 48,668-50,339] for the study period, using a 3% discount rate in the main analysis. The result implies that the economic burden of schistosomiasis across these 25 countries during study period is equivalent to 0.0174% (UI: 0.0171-0.0177) of total GDP. Among all schistosomiasis-endemic countries included, Egypt had the largest absolute economic burden (INT$ 11,400 million, UI: 11,221-11,578), followed by Brazil (INT$ 9779 million, UI: 9717-9841) and South Africa (INT$ 6744 million, UI: 6676-6811).</p><p><strong>Conclusions: </strong>The global economic burden of schistosomiasis remains substantial and is inequitably distributed among countries and regions. Our study highlights the need for increased investment and global collaborative efforts to control schistosomiasis and its associated health and economic burdens. By advancing the elimination of schistosomiasis, substantial economic returns can be achieved.</p>","PeriodicalId":48820,"journal":{"name":"Infectious Diseases of Poverty","volume":"14 1","pages":"49"},"PeriodicalIF":5.5000,"publicationDate":"2025-06-16","publicationTypes":"Journal Article","fieldsOfStudy":null,"isOpenAccess":false,"openAccessPdf":"https://www.ncbi.nlm.nih.gov/pmc/articles/PMC12168328/pdf/","citationCount":"0","resultStr":"{\"title\":\"Estimation and prediction on the economic burden of schistosomiasis in 25 endemic countries.\",\"authors\":\"Xian-Fa Chen, Qin Li, Robert Bergquist, Jin-Xin Zheng, Su-Ying Guo, Qiu-Feng Lan, Zheng-Ze He, Li-Juan Zhang, Chun-Li Cao, Jing Xu, Xiao-Nong Zhou\",\"doi\":\"10.1186/s40249-025-01330-8\",\"DOIUrl\":null,\"url\":null,\"abstract\":\"<p><strong>Background: </strong>Schistosomiasis is a neglected tropical disease, primarily prevalent in tropical and subtropical regions. It imposes a significant health and economic burden in low- and middle-income countries, but a study of its comprehensive economic impact of the disease at the global level has not been carried out. As this is essential for evidence-based decision-making, this study aims to estimate the macroeconomic burden of schistosomiasis in 25 endemic countries.</p><p><strong>Methods: </strong>We used a health-augmented macroeconomic (HAM) model, as well as observed data from 2010 to 2021 and projected data from 2022 to 2050, to model gross domestic product (GDP) under two scenarios: with and without schistosomiasis. The data were obtained from the Global Burden of Disease Study 2021 (GBD 2021), the World Bank database, the International Monetary Fund (IMF) database, the International Labour Organization (ILO) database, the United Nations Population Division's World Population Prospects 2022 database, the Barro-Lee Educational Attainment dataset, the Penn World Table (PWT) database, and relevant literature. The economic burden was quantified as the difference in GDP between these two scenarios. The HAM model considered: (i) the impact of schistosomiasis mortality and morbidity on labor supply; (ii) age and gender differences in education and work experience among schistosomiasis patients; and (iii) the impact of schistosomiasis treatment costs on physical capital accumulation. To be able to compare the purchasing power of different countries, we used international dollars (INT$), a hypothetical currency unit based on purchasing power parity.</p><p><strong>Results: </strong>We estimated the macroeconomic burden of schistosomiasis in 25 schistosomiasis endemic countries was INT$ 49,504 million [uncertainty interval (UI): 48,668-50,339] for the study period, using a 3% discount rate in the main analysis. The result implies that the economic burden of schistosomiasis across these 25 countries during study period is equivalent to 0.0174% (UI: 0.0171-0.0177) of total GDP. Among all schistosomiasis-endemic countries included, Egypt had the largest absolute economic burden (INT$ 11,400 million, UI: 11,221-11,578), followed by Brazil (INT$ 9779 million, UI: 9717-9841) and South Africa (INT$ 6744 million, UI: 6676-6811).</p><p><strong>Conclusions: </strong>The global economic burden of schistosomiasis remains substantial and is inequitably distributed among countries and regions. Our study highlights the need for increased investment and global collaborative efforts to control schistosomiasis and its associated health and economic burdens. By advancing the elimination of schistosomiasis, substantial economic returns can be achieved.</p>\",\"PeriodicalId\":48820,\"journal\":{\"name\":\"Infectious Diseases of Poverty\",\"volume\":\"14 1\",\"pages\":\"49\"},\"PeriodicalIF\":5.5000,\"publicationDate\":\"2025-06-16\",\"publicationTypes\":\"Journal Article\",\"fieldsOfStudy\":null,\"isOpenAccess\":false,\"openAccessPdf\":\"https://www.ncbi.nlm.nih.gov/pmc/articles/PMC12168328/pdf/\",\"citationCount\":\"0\",\"resultStr\":null,\"platform\":\"Semanticscholar\",\"paperid\":null,\"PeriodicalName\":\"Infectious Diseases of Poverty\",\"FirstCategoryId\":\"3\",\"ListUrlMain\":\"https://doi.org/10.1186/s40249-025-01330-8\",\"RegionNum\":1,\"RegionCategory\":\"医学\",\"ArticlePicture\":[],\"TitleCN\":null,\"AbstractTextCN\":null,\"PMCID\":null,\"EPubDate\":\"\",\"PubModel\":\"\",\"JCR\":\"\",\"JCRName\":\"\",\"Score\":null,\"Total\":0}","platform":"Semanticscholar","paperid":null,"PeriodicalName":"Infectious Diseases of Poverty","FirstCategoryId":"3","ListUrlMain":"https://doi.org/10.1186/s40249-025-01330-8","RegionNum":1,"RegionCategory":"医学","ArticlePicture":[],"TitleCN":null,"AbstractTextCN":null,"PMCID":null,"EPubDate":"","PubModel":"","JCR":"","JCRName":"","Score":null,"Total":0}
引用次数: 0

摘要

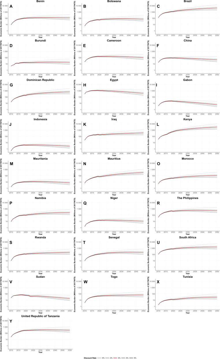
背景:血吸虫病是一种被忽视的热带病,主要流行于热带和亚热带地区。它给低收入和中等收入国家造成了重大的健康和经济负担,但尚未对该疾病在全球一级的综合经济影响进行研究。由于这对循证决策至关重要,本研究旨在估计25个流行国家血吸虫病的宏观经济负担。方法:我们使用健康增强宏观经济(HAM)模型,以及2010年至2021年的观测数据和2022年至2050年的预测数据,对两种情况下的国内生产总值(GDP)进行建模:有和没有血吸虫病。数据来自2021年全球疾病负担研究(GBD 2021)、世界银行数据库、国际货币基金组织(IMF)数据库、国际劳工组织(ILO)数据库、联合国人口司2022年世界人口展望数据库、Barro-Lee教育程度数据集、宾夕法尼亚大学世界表(PWT)数据库和相关文献。经济负担被量化为这两种情景之间的GDP差异。HAM模型考虑:(1)血吸虫病死亡率和发病率对劳动力供给的影响;(二)血吸虫病患者在受教育程度和工作经历方面的年龄和性别差异;(三)血吸虫病治疗费用对实物资本积累的影响。为了能够比较不同国家的购买力,我们使用国际美元(INT$),这是一种基于购买力平价的假设货币单位。结果:我们在主要分析中使用3%的贴现率,估计研究期间25个血吸虫病流行国家的血吸虫病宏观经济负担为49,5.04亿美元[不确定区间(UI): 48,668-50,339]。结果表明,在研究期间,这25个国家的血吸虫病经济负担相当于GDP总量的0.0174% (UI: 0.0171 ~ 0.0177)。在所有血吸虫病流行国家中,埃及的绝对经济负担最大(114亿新元,UI: 11221 - 11578),其次是巴西(9.779亿新元,UI: 9717-9841)和南非(6.744亿新元,UI: 6676-6811)。结论:全球血吸虫病经济负担依然沉重,且在国家和地区间分布不均。我们的研究强调需要增加投资和全球合作努力,以控制血吸虫病及其相关的健康和经济负担。通过推进消除血吸虫病,可以获得可观的经济回报。
本文章由计算机程序翻译,如有差异,请以英文原文为准。

Estimation and prediction on the economic burden of schistosomiasis in 25 endemic countries.

Estimation and prediction on the economic burden of schistosomiasis in 25 endemic countries.

Estimation and prediction on the economic burden of schistosomiasis in 25 endemic countries.

Estimation and prediction on the economic burden of schistosomiasis in 25 endemic countries.

Background: Schistosomiasis is a neglected tropical disease, primarily prevalent in tropical and subtropical regions. It imposes a significant health and economic burden in low- and middle-income countries, but a study of its comprehensive economic impact of the disease at the global level has not been carried out. As this is essential for evidence-based decision-making, this study aims to estimate the macroeconomic burden of schistosomiasis in 25 endemic countries.

Methods: We used a health-augmented macroeconomic (HAM) model, as well as observed data from 2010 to 2021 and projected data from 2022 to 2050, to model gross domestic product (GDP) under two scenarios: with and without schistosomiasis. The data were obtained from the Global Burden of Disease Study 2021 (GBD 2021), the World Bank database, the International Monetary Fund (IMF) database, the International Labour Organization (ILO) database, the United Nations Population Division's World Population Prospects 2022 database, the Barro-Lee Educational Attainment dataset, the Penn World Table (PWT) database, and relevant literature. The economic burden was quantified as the difference in GDP between these two scenarios. The HAM model considered: (i) the impact of schistosomiasis mortality and morbidity on labor supply; (ii) age and gender differences in education and work experience among schistosomiasis patients; and (iii) the impact of schistosomiasis treatment costs on physical capital accumulation. To be able to compare the purchasing power of different countries, we used international dollars (INT$), a hypothetical currency unit based on purchasing power parity.

Results: We estimated the macroeconomic burden of schistosomiasis in 25 schistosomiasis endemic countries was INT$ 49,504 million [uncertainty interval (UI): 48,668-50,339] for the study period, using a 3% discount rate in the main analysis. The result implies that the economic burden of schistosomiasis across these 25 countries during study period is equivalent to 0.0174% (UI: 0.0171-0.0177) of total GDP. Among all schistosomiasis-endemic countries included, Egypt had the largest absolute economic burden (INT$ 11,400 million, UI: 11,221-11,578), followed by Brazil (INT$ 9779 million, UI: 9717-9841) and South Africa (INT$ 6744 million, UI: 6676-6811).

Conclusions: The global economic burden of schistosomiasis remains substantial and is inequitably distributed among countries and regions. Our study highlights the need for increased investment and global collaborative efforts to control schistosomiasis and its associated health and economic burdens. By advancing the elimination of schistosomiasis, substantial economic returns can be achieved.

求助全文
通过发布文献求助,成功后即可免费获取论文全文。 去求助
来源期刊
Infectious Diseases of Poverty
Infectious Diseases of Poverty INFECTIOUS DISEASES-
自引率
1.20%
发文量
368
期刊介绍: Infectious Diseases of Poverty is an open access, peer-reviewed journal that focuses on addressing essential public health questions related to infectious diseases of poverty. The journal covers a wide range of topics including the biology of pathogens and vectors, diagnosis and detection, treatment and case management, epidemiology and modeling, zoonotic hosts and animal reservoirs, control strategies and implementation, new technologies and application. It also considers the transdisciplinary or multisectoral effects on health systems, ecohealth, environmental management, and innovative technology. The journal aims to identify and assess research and information gaps that hinder progress towards new interventions for public health problems in the developing world. Additionally, it provides a platform for discussing these issues to advance research and evidence building for improved public health interventions in poor settings.
×
引用
GB/T 7714-2015
复制
MLA
复制
APA
复制
导出至
BibTeX EndNote RefMan NoteFirst NoteExpress
×
提示
您的信息不完整,为了账户安全,请先补充。
现在去补充
×
提示
您因"违规操作"
具体请查看互助需知
我知道了
×
提示
确定
请完成安全验证×
copy
已复制链接
快去分享给好友吧!
我知道了
右上角分享
点击右上角分享
0
联系我们:info@booksci.cn Book学术提供免费学术资源搜索服务,方便国内外学者检索中英文文献。致力于提供最便捷和优质的服务体验。 Copyright © 2023 布克学术 All rights reserved.
京ICP备2023020795号-1
ghs 京公网安备 11010802042870号
Book学术文献互助
Book学术文献互助群
群 号:604180095
Book学术官方微信