社区居住慢性脑卒中患者上肢功能知觉对参与和活动水平的影响。

IF 2.9 Q1 REHABILITATION
Annals of Rehabilitation Medicine-ARM Pub Date : 2025-06-01 Epub Date: 2025-06-11 DOI:10.5535/arm.240122
Nga Huen Chan, Shamay S M Ng
{"title":"社区居住慢性脑卒中患者上肢功能知觉对参与和活动水平的影响。","authors":"Nga Huen Chan, Shamay S M Ng","doi":"10.5535/arm.240122","DOIUrl":null,"url":null,"abstract":"<p><strong>Objective: </strong>To examine the contribution of perceived upper limb function to participation and activity among community-dwelling people with chronic stroke.</p><p><strong>Methods: </strong>A cross-sectional study was conducted with eighty-one people with stroke aged ≥50 years. The outcome measures included the Oxford Participation and Activities Questionnaire (Ox-PAQ), Arm Activity Measure (ArmA), Wolf Motor Function Test (WMFT), Timed Up and Go Test (TUG), and Geriatric Depression Scale (GDS).</p><p><strong>Results: </strong>Correlation analyses revealed that perceived upper limb function, as measured using the ArmA, had the strongest and most significant correlations with the levels of participation and activity, as measured using the Ox-PAQ, among all of the tested variables (rs=0.35-0.59, p<0.01). Multiple linear regression analyses also showed that perceived upper limb function significantly associated the levels of participation and activity, accounting for 2.0% to 9.0% of the variance in the Ox-PAQ scores. The final model, which included TUG time, the GDS score, the WMFT score, and the ArmA score, could explain 54% and 28% of the variance in the routine activities and social engagement subscales of the Ox-PAQ, respectively. The model including the GDS score, the WMFT score, and the ArmA score explains 32% of the variance in the emotional well-being subscale of the Ox-PAQ.</p><p><strong>Conclusion: </strong>Perceived upper limb function is a crucial determinant of participation and activity among community-dwelling people with chronic stroke. It could thus be a target component of stroke rehabilitation interventions to facilitate participation and activity after stroke.</p>","PeriodicalId":47738,"journal":{"name":"Annals of Rehabilitation Medicine-ARM","volume":" ","pages":"175-186"},"PeriodicalIF":2.9000,"publicationDate":"2025-06-01","publicationTypes":"Journal Article","fieldsOfStudy":null,"isOpenAccess":false,"openAccessPdf":"https://www.ncbi.nlm.nih.gov/pmc/articles/PMC12231404/pdf/","citationCount":"0","resultStr":"{\"title\":\"Contribution of Perceived Upper Limb Function to the Participation and Activity Levels Among Community-Dwelling People With Chronic Stroke.\",\"authors\":\"Nga Huen Chan, Shamay S M Ng\",\"doi\":\"10.5535/arm.240122\",\"DOIUrl\":null,\"url\":null,\"abstract\":\"<p><strong>Objective: </strong>To examine the contribution of perceived upper limb function to participation and activity among community-dwelling people with chronic stroke.</p><p><strong>Methods: </strong>A cross-sectional study was conducted with eighty-one people with stroke aged ≥50 years. The outcome measures included the Oxford Participation and Activities Questionnaire (Ox-PAQ), Arm Activity Measure (ArmA), Wolf Motor Function Test (WMFT), Timed Up and Go Test (TUG), and Geriatric Depression Scale (GDS).</p><p><strong>Results: </strong>Correlation analyses revealed that perceived upper limb function, as measured using the ArmA, had the strongest and most significant correlations with the levels of participation and activity, as measured using the Ox-PAQ, among all of the tested variables (rs=0.35-0.59, p<0.01). Multiple linear regression analyses also showed that perceived upper limb function significantly associated the levels of participation and activity, accounting for 2.0% to 9.0% of the variance in the Ox-PAQ scores. The final model, which included TUG time, the GDS score, the WMFT score, and the ArmA score, could explain 54% and 28% of the variance in the routine activities and social engagement subscales of the Ox-PAQ, respectively. The model including the GDS score, the WMFT score, and the ArmA score explains 32% of the variance in the emotional well-being subscale of the Ox-PAQ.</p><p><strong>Conclusion: </strong>Perceived upper limb function is a crucial determinant of participation and activity among community-dwelling people with chronic stroke. It could thus be a target component of stroke rehabilitation interventions to facilitate participation and activity after stroke.</p>\",\"PeriodicalId\":47738,\"journal\":{\"name\":\"Annals of Rehabilitation Medicine-ARM\",\"volume\":\" \",\"pages\":\"175-186\"},\"PeriodicalIF\":2.9000,\"publicationDate\":\"2025-06-01\",\"publicationTypes\":\"Journal Article\",\"fieldsOfStudy\":null,\"isOpenAccess\":false,\"openAccessPdf\":\"https://www.ncbi.nlm.nih.gov/pmc/articles/PMC12231404/pdf/\",\"citationCount\":\"0\",\"resultStr\":null,\"platform\":\"Semanticscholar\",\"paperid\":null,\"PeriodicalName\":\"Annals of Rehabilitation Medicine-ARM\",\"FirstCategoryId\":\"1085\",\"ListUrlMain\":\"https://doi.org/10.5535/arm.240122\",\"RegionNum\":0,\"RegionCategory\":null,\"ArticlePicture\":[],\"TitleCN\":null,\"AbstractTextCN\":null,\"PMCID\":null,\"EPubDate\":\"2025/6/11 0:00:00\",\"PubModel\":\"Epub\",\"JCR\":\"Q1\",\"JCRName\":\"REHABILITATION\",\"Score\":null,\"Total\":0}","platform":"Semanticscholar","paperid":null,"PeriodicalName":"Annals of Rehabilitation Medicine-ARM","FirstCategoryId":"1085","ListUrlMain":"https://doi.org/10.5535/arm.240122","RegionNum":0,"RegionCategory":null,"ArticlePicture":[],"TitleCN":null,"AbstractTextCN":null,"PMCID":null,"EPubDate":"2025/6/11 0:00:00","PubModel":"Epub","JCR":"Q1","JCRName":"REHABILITATION","Score":null,"Total":0}
引用次数: 0

摘要

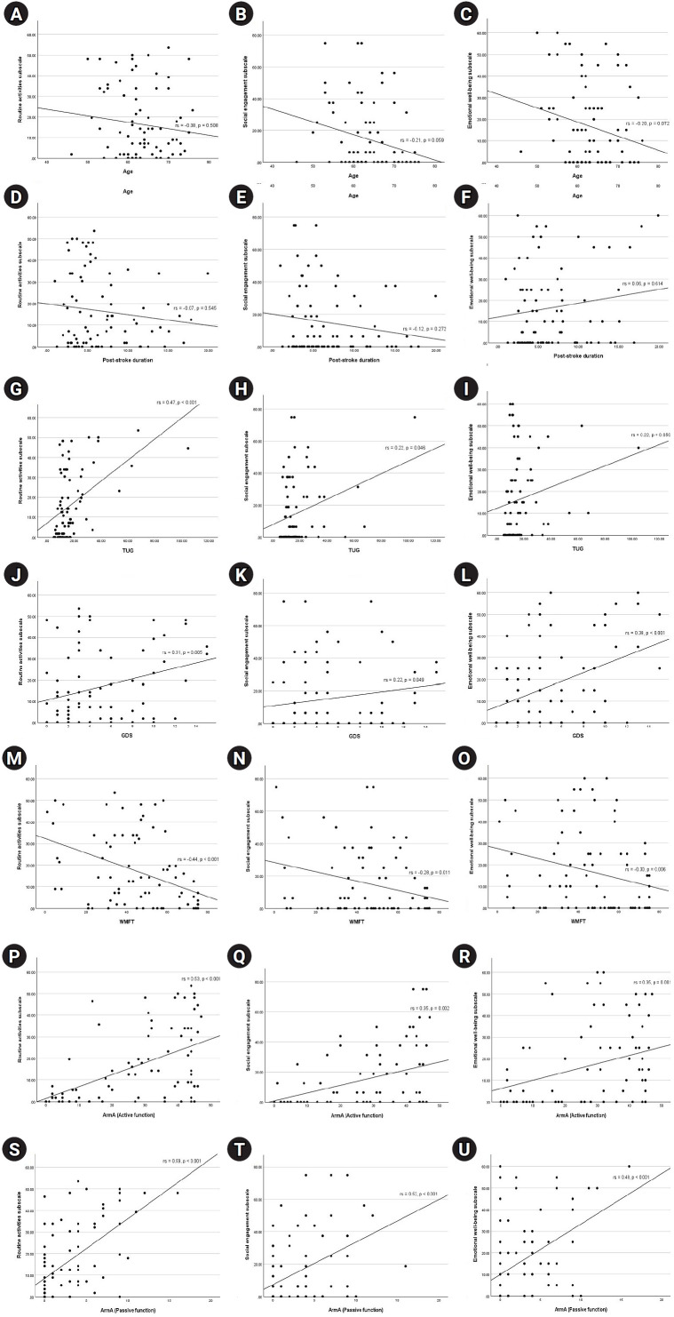
目的:探讨社区慢性脑卒中患者上肢功能知觉对参与和活动的影响。方法:对81例年龄≥50岁的脑卒中患者进行横断面研究。结果测量包括牛津参与和活动问卷(Ox-PAQ)、手臂活动测量(ArmA)、Wolf运动功能测试(WMFT)、Timed Up and Go测试(TUG)和老年抑郁量表(GDS)。结果:相关分析显示,在所有测试变量中,使用ArmA测量的感知上肢功能与使用oxo - paq测量的参与和活动水平具有最强和最显著的相关性(rs=0.35-0.59)。结论:感知上肢功能是慢性中风社区居民参与和活动的关键决定因素。因此,它可以成为卒中康复干预的目标组成部分,以促进卒中后的参与和活动。
本文章由计算机程序翻译,如有差异,请以英文原文为准。

Contribution of Perceived Upper Limb Function to the Participation and Activity Levels Among Community-Dwelling People With Chronic Stroke.

Contribution of Perceived Upper Limb Function to the Participation and Activity Levels Among Community-Dwelling People With Chronic Stroke.

Contribution of Perceived Upper Limb Function to the Participation and Activity Levels Among Community-Dwelling People With Chronic Stroke.

Objective: To examine the contribution of perceived upper limb function to participation and activity among community-dwelling people with chronic stroke.

Methods: A cross-sectional study was conducted with eighty-one people with stroke aged ≥50 years. The outcome measures included the Oxford Participation and Activities Questionnaire (Ox-PAQ), Arm Activity Measure (ArmA), Wolf Motor Function Test (WMFT), Timed Up and Go Test (TUG), and Geriatric Depression Scale (GDS).

Results: Correlation analyses revealed that perceived upper limb function, as measured using the ArmA, had the strongest and most significant correlations with the levels of participation and activity, as measured using the Ox-PAQ, among all of the tested variables (rs=0.35-0.59, p<0.01). Multiple linear regression analyses also showed that perceived upper limb function significantly associated the levels of participation and activity, accounting for 2.0% to 9.0% of the variance in the Ox-PAQ scores. The final model, which included TUG time, the GDS score, the WMFT score, and the ArmA score, could explain 54% and 28% of the variance in the routine activities and social engagement subscales of the Ox-PAQ, respectively. The model including the GDS score, the WMFT score, and the ArmA score explains 32% of the variance in the emotional well-being subscale of the Ox-PAQ.

Conclusion: Perceived upper limb function is a crucial determinant of participation and activity among community-dwelling people with chronic stroke. It could thus be a target component of stroke rehabilitation interventions to facilitate participation and activity after stroke.

求助全文
通过发布文献求助,成功后即可免费获取论文全文。 去求助
来源期刊
CiteScore
2.50
自引率
7.70%
发文量
32
审稿时长
30 weeks
×
引用
GB/T 7714-2015
复制
MLA
复制
APA
复制
导出至
BibTeX EndNote RefMan NoteFirst NoteExpress
×
提示
您的信息不完整,为了账户安全,请先补充。
现在去补充
×
提示
您因"违规操作"
具体请查看互助需知
我知道了
×
提示
确定
请完成安全验证×
copy
已复制链接
快去分享给好友吧!
我知道了
右上角分享
点击右上角分享
0
联系我们:info@booksci.cn Book学术提供免费学术资源搜索服务,方便国内外学者检索中英文文献。致力于提供最便捷和优质的服务体验。 Copyright © 2023 布克学术 All rights reserved.
京ICP备2023020795号-1
ghs 京公网安备 11010802042870号
Book学术文献互助
Book学术文献互助群
群 号:604180095
Book学术官方微信