预测心肌梗死住院死亡率:基于nomogram对MIMIC-IV数据库的回顾性分析

IF 2.8 Q2 PERIPHERAL VASCULAR DISEASE
Vascular Health and Risk Management Pub Date : 2025-06-11 eCollection Date: 2025-01-01 DOI:10.2147/VHRM.S511277
Shixuan Peng, Qisheng Chen, Weiqi Ke, Yongjun Wu
{"title":"预测心肌梗死住院死亡率:基于nomogram对MIMIC-IV数据库的回顾性分析","authors":"Shixuan Peng, Qisheng Chen, Weiqi Ke, Yongjun Wu","doi":"10.2147/VHRM.S511277","DOIUrl":null,"url":null,"abstract":"<p><strong>Background: </strong>Despite significant advancements in early reperfusion therapy and pharmacological treatment, which have reduced mortality rates after myocardial infarction in recent decades, the in-hospital mortality rate remains high due to factors such as rapid disease progression, comorbid conditions, and potential complications. We aimed to develop and validate a predictive model for in-hospital mortality in myocardial infarction patients.</p><p><strong>Methods: </strong>LASSO regression analysis, univariate analysis, and multivariate logistic analysis were used to construct the nomogram in the training set, followed by model comparison, internal validation, and sensitivity analysis.</p><p><strong>Results: </strong>The analysis comprised 4688 patients in total. The population of patients was randomly assigned to the training set (n = 3512) and validation set (n = 1176). According to the results of LASSO regression analysis and other results, our nomogram contained a total of 10 independent variables related to patient death, including age, respiratory rate, blood glucose, lactate, PTT, BUN, cerebrovascular disease, chronic lung disease, mild liver disease, and metastatic solid cancer. Moreover, the web calculator and nomogram performed exceptionally well at predicting in-hospital death in myocardial infarction patients. The AUC for the training and validation sets' respective prediction models was 0.869 (95% CI: 0.849-0.889) and 0.846 (95% CI: 0.807-0.875) (<i>p</i><0.01). Compared to the Sequential Organ Failure Assessment (SOFA), the nomogram showed greater discrimination in the training and validation sets, and the calibration plots demonstrated an adequate fit for the nomogram in predicting the risk of in-hospital mortality in both groups. The decision curve analysis (DCA) of the nomogram demonstrated a higher net benefit in the training and validation sets and in terms of clinical usefulness than the SOFA.</p><p><strong>Conclusion: </strong>We developed a useful nomogram model and developed a nomogram-based web calculator to predict in-hospital mortality in myocardial infarction patients, which will support doctors in patient counseling and logical diagnosis and therapy.</p>","PeriodicalId":23597,"journal":{"name":"Vascular Health and Risk Management","volume":"21 ","pages":"461-476"},"PeriodicalIF":2.8000,"publicationDate":"2025-06-11","publicationTypes":"Journal Article","fieldsOfStudy":null,"isOpenAccess":false,"openAccessPdf":"https://www.ncbi.nlm.nih.gov/pmc/articles/PMC12169423/pdf/","citationCount":"0","resultStr":"{\"title\":\"Predicting In-Hospital Mortality in Myocardial Infarction: A Nomogram-Based Retrospective Analysis of the MIMIC-IV Database.\",\"authors\":\"Shixuan Peng, Qisheng Chen, Weiqi Ke, Yongjun Wu\",\"doi\":\"10.2147/VHRM.S511277\",\"DOIUrl\":null,\"url\":null,\"abstract\":\"<p><strong>Background: </strong>Despite significant advancements in early reperfusion therapy and pharmacological treatment, which have reduced mortality rates after myocardial infarction in recent decades, the in-hospital mortality rate remains high due to factors such as rapid disease progression, comorbid conditions, and potential complications. We aimed to develop and validate a predictive model for in-hospital mortality in myocardial infarction patients.</p><p><strong>Methods: </strong>LASSO regression analysis, univariate analysis, and multivariate logistic analysis were used to construct the nomogram in the training set, followed by model comparison, internal validation, and sensitivity analysis.</p><p><strong>Results: </strong>The analysis comprised 4688 patients in total. The population of patients was randomly assigned to the training set (n = 3512) and validation set (n = 1176). According to the results of LASSO regression analysis and other results, our nomogram contained a total of 10 independent variables related to patient death, including age, respiratory rate, blood glucose, lactate, PTT, BUN, cerebrovascular disease, chronic lung disease, mild liver disease, and metastatic solid cancer. Moreover, the web calculator and nomogram performed exceptionally well at predicting in-hospital death in myocardial infarction patients. The AUC for the training and validation sets' respective prediction models was 0.869 (95% CI: 0.849-0.889) and 0.846 (95% CI: 0.807-0.875) (<i>p</i><0.01). Compared to the Sequential Organ Failure Assessment (SOFA), the nomogram showed greater discrimination in the training and validation sets, and the calibration plots demonstrated an adequate fit for the nomogram in predicting the risk of in-hospital mortality in both groups. The decision curve analysis (DCA) of the nomogram demonstrated a higher net benefit in the training and validation sets and in terms of clinical usefulness than the SOFA.</p><p><strong>Conclusion: </strong>We developed a useful nomogram model and developed a nomogram-based web calculator to predict in-hospital mortality in myocardial infarction patients, which will support doctors in patient counseling and logical diagnosis and therapy.</p>\",\"PeriodicalId\":23597,\"journal\":{\"name\":\"Vascular Health and Risk Management\",\"volume\":\"21 \",\"pages\":\"461-476\"},\"PeriodicalIF\":2.8000,\"publicationDate\":\"2025-06-11\",\"publicationTypes\":\"Journal Article\",\"fieldsOfStudy\":null,\"isOpenAccess\":false,\"openAccessPdf\":\"https://www.ncbi.nlm.nih.gov/pmc/articles/PMC12169423/pdf/\",\"citationCount\":\"0\",\"resultStr\":null,\"platform\":\"Semanticscholar\",\"paperid\":null,\"PeriodicalName\":\"Vascular Health and Risk Management\",\"FirstCategoryId\":\"1085\",\"ListUrlMain\":\"https://doi.org/10.2147/VHRM.S511277\",\"RegionNum\":0,\"RegionCategory\":null,\"ArticlePicture\":[],\"TitleCN\":null,\"AbstractTextCN\":null,\"PMCID\":null,\"EPubDate\":\"2025/1/1 0:00:00\",\"PubModel\":\"eCollection\",\"JCR\":\"Q2\",\"JCRName\":\"PERIPHERAL VASCULAR DISEASE\",\"Score\":null,\"Total\":0}","platform":"Semanticscholar","paperid":null,"PeriodicalName":"Vascular Health and Risk Management","FirstCategoryId":"1085","ListUrlMain":"https://doi.org/10.2147/VHRM.S511277","RegionNum":0,"RegionCategory":null,"ArticlePicture":[],"TitleCN":null,"AbstractTextCN":null,"PMCID":null,"EPubDate":"2025/1/1 0:00:00","PubModel":"eCollection","JCR":"Q2","JCRName":"PERIPHERAL VASCULAR DISEASE","Score":null,"Total":0}
引用次数: 0

摘要

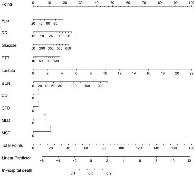
背景:近几十年来,尽管早期再灌注治疗和药物治疗取得了重大进展,降低了心肌梗死后的死亡率,但由于疾病进展迅速、合并症和潜在并发症等因素,住院死亡率仍然很高。我们的目的是建立并验证心肌梗死患者住院死亡率的预测模型。方法:采用LASSO回归分析、单因素分析和多因素logistic分析构建训练集中的模态图,然后进行模型比较、内部验证和敏感性分析。结果:共纳入4688例患者。患者被随机分配到训练集(n = 3512)和验证集(n = 1176)。根据LASSO回归分析等结果,我们的nomogram共包含10个与患者死亡相关的自变量,包括年龄、呼吸频率、血糖、乳酸、PTT、BUN、脑血管疾病、慢性肺病、轻度肝病、转移性实体癌。此外,网络计算器和nomogram在预测心肌梗死患者住院死亡方面表现异常出色。训练集和验证集预测模型的AUC分别为0.869 (95% CI: 0.849-0.889)和0.846 (95% CI: 0.807-0.875)。结论:我们建立了一个实用的nomogram模型,并开发了一个基于nomogram网络计算器来预测心肌梗死患者的住院死亡率,为医生进行患者咨询和逻辑诊疗提供了依据。
本文章由计算机程序翻译,如有差异,请以英文原文为准。

Predicting In-Hospital Mortality in Myocardial Infarction: A Nomogram-Based Retrospective Analysis of the MIMIC-IV Database.

Predicting In-Hospital Mortality in Myocardial Infarction: A Nomogram-Based Retrospective Analysis of the MIMIC-IV Database.

Predicting In-Hospital Mortality in Myocardial Infarction: A Nomogram-Based Retrospective Analysis of the MIMIC-IV Database.

Predicting In-Hospital Mortality in Myocardial Infarction: A Nomogram-Based Retrospective Analysis of the MIMIC-IV Database.

Background: Despite significant advancements in early reperfusion therapy and pharmacological treatment, which have reduced mortality rates after myocardial infarction in recent decades, the in-hospital mortality rate remains high due to factors such as rapid disease progression, comorbid conditions, and potential complications. We aimed to develop and validate a predictive model for in-hospital mortality in myocardial infarction patients.

Methods: LASSO regression analysis, univariate analysis, and multivariate logistic analysis were used to construct the nomogram in the training set, followed by model comparison, internal validation, and sensitivity analysis.

Results: The analysis comprised 4688 patients in total. The population of patients was randomly assigned to the training set (n = 3512) and validation set (n = 1176). According to the results of LASSO regression analysis and other results, our nomogram contained a total of 10 independent variables related to patient death, including age, respiratory rate, blood glucose, lactate, PTT, BUN, cerebrovascular disease, chronic lung disease, mild liver disease, and metastatic solid cancer. Moreover, the web calculator and nomogram performed exceptionally well at predicting in-hospital death in myocardial infarction patients. The AUC for the training and validation sets' respective prediction models was 0.869 (95% CI: 0.849-0.889) and 0.846 (95% CI: 0.807-0.875) (p<0.01). Compared to the Sequential Organ Failure Assessment (SOFA), the nomogram showed greater discrimination in the training and validation sets, and the calibration plots demonstrated an adequate fit for the nomogram in predicting the risk of in-hospital mortality in both groups. The decision curve analysis (DCA) of the nomogram demonstrated a higher net benefit in the training and validation sets and in terms of clinical usefulness than the SOFA.

Conclusion: We developed a useful nomogram model and developed a nomogram-based web calculator to predict in-hospital mortality in myocardial infarction patients, which will support doctors in patient counseling and logical diagnosis and therapy.

求助全文
通过发布文献求助,成功后即可免费获取论文全文。 去求助
来源期刊
Vascular Health and Risk Management
Vascular Health and Risk Management PERIPHERAL VASCULAR DISEASE-
CiteScore
4.20
自引率
3.40%
发文量
109
审稿时长
16 weeks
期刊介绍: An international, peer-reviewed journal of therapeutics and risk management, focusing on concise rapid reporting of clinical studies on the processes involved in the maintenance of vascular health; the monitoring, prevention, and treatment of vascular disease and its sequelae; and the involvement of metabolic disorders, particularly diabetes. In addition, the journal will also seek to define drug usage in terms of ultimate uptake and acceptance by the patient and healthcare professional.
×
引用
GB/T 7714-2015
复制
MLA
复制
APA
复制
导出至
BibTeX EndNote RefMan NoteFirst NoteExpress
×
提示
您的信息不完整,为了账户安全,请先补充。
现在去补充
×
提示
您因"违规操作"
具体请查看互助需知
我知道了
×
提示
确定
请完成安全验证×
copy
已复制链接
快去分享给好友吧!
我知道了
右上角分享
点击右上角分享
0
联系我们:info@booksci.cn Book学术提供免费学术资源搜索服务,方便国内外学者检索中英文文献。致力于提供最便捷和优质的服务体验。 Copyright © 2023 布克学术 All rights reserved.
京ICP备2023020795号-1
ghs 京公网安备 11010802042870号
Book学术文献互助
Book学术文献互助群
群 号:604180095
Book学术官方微信