脑微透析评估外伤性脑损伤中微量元素动态:一项探索性研究。

IF 2.6 3区 综合性期刊 Q1 MULTIDISCIPLINARY SCIENCES
PLoS ONE Pub Date : 2025-06-16 eCollection Date: 2025-01-01 DOI:10.1371/journal.pone.0326023
Adriano Bernini, Sébastien Lenglet, Mette M Berger, Samia Abed-Maillard, Roy Thomas Daniel, Mahmoud Messerer, Mauro Oddo, Jean-Daniel Chiche, Marc Augsburger, Nawfel Ben-Hamouda
{"title":"脑微透析评估外伤性脑损伤中微量元素动态:一项探索性研究。","authors":"Adriano Bernini, Sébastien Lenglet, Mette M Berger, Samia Abed-Maillard, Roy Thomas Daniel, Mahmoud Messerer, Mauro Oddo, Jean-Daniel Chiche, Marc Augsburger, Nawfel Ben-Hamouda","doi":"10.1371/journal.pone.0326023","DOIUrl":null,"url":null,"abstract":"<p><strong>Background: </strong>Trace elements (TEs) status alterations in the brain have been linked to neurodegenerative diseases. However, data on TEs in living humans and in the post-traumatic conditions are scarce. Some TEs (copper - Cu, selenium - Se, zinc - Zn) are involved in essential antioxidant defence. This study aims to measure the evolution of TEs concentrations in the brain and serum of severe traumatic brain injury (TBI) patients over time.</p><p><strong>Methods: </strong>Twenty adult patients with severe TBI were monitored using cerebral microdialysis (CMD) and blood sampling within three days of intensive care unit admission. TEs levels were measured using inductively coupled plasma system coupled to mass spectrometry.</p><p><strong>Results: </strong>TEs concentrations of chromium - Cr, Cu, cobalt - Co, manganese - Mn, molybdenum - Mo, Se, and Zn were quantified in brain interstitial fluid and serum. While serum and CMD levels did not differ significantly for Co, Mo and Mn, and modest differences was observed for Cr and Zn, significant differences were observed for Cu and Se with higher serum levels (8-10-fold higher) compared to CMD. No correlation was found between serum and brain TEs levels, except for Mo.</p><p><strong>Conclusion: </strong>This study provides novel TEs concentration data in living TBI patients, the largest differences between brain and serum being observed for Cu and Se, serving as a basis for further research on TEs dynamics in acute brain injury.</p>","PeriodicalId":20189,"journal":{"name":"PLoS ONE","volume":"20 6","pages":"e0326023"},"PeriodicalIF":2.6000,"publicationDate":"2025-06-16","publicationTypes":"Journal Article","fieldsOfStudy":null,"isOpenAccess":false,"openAccessPdf":"https://www.ncbi.nlm.nih.gov/pmc/articles/PMC12169518/pdf/","citationCount":"0","resultStr":"{\"title\":\"Brain microdialysis to assess trace elements dynamics in traumatic brain injury: An exploratory study.\",\"authors\":\"Adriano Bernini, Sébastien Lenglet, Mette M Berger, Samia Abed-Maillard, Roy Thomas Daniel, Mahmoud Messerer, Mauro Oddo, Jean-Daniel Chiche, Marc Augsburger, Nawfel Ben-Hamouda\",\"doi\":\"10.1371/journal.pone.0326023\",\"DOIUrl\":null,\"url\":null,\"abstract\":\"<p><strong>Background: </strong>Trace elements (TEs) status alterations in the brain have been linked to neurodegenerative diseases. However, data on TEs in living humans and in the post-traumatic conditions are scarce. Some TEs (copper - Cu, selenium - Se, zinc - Zn) are involved in essential antioxidant defence. This study aims to measure the evolution of TEs concentrations in the brain and serum of severe traumatic brain injury (TBI) patients over time.</p><p><strong>Methods: </strong>Twenty adult patients with severe TBI were monitored using cerebral microdialysis (CMD) and blood sampling within three days of intensive care unit admission. TEs levels were measured using inductively coupled plasma system coupled to mass spectrometry.</p><p><strong>Results: </strong>TEs concentrations of chromium - Cr, Cu, cobalt - Co, manganese - Mn, molybdenum - Mo, Se, and Zn were quantified in brain interstitial fluid and serum. While serum and CMD levels did not differ significantly for Co, Mo and Mn, and modest differences was observed for Cr and Zn, significant differences were observed for Cu and Se with higher serum levels (8-10-fold higher) compared to CMD. No correlation was found between serum and brain TEs levels, except for Mo.</p><p><strong>Conclusion: </strong>This study provides novel TEs concentration data in living TBI patients, the largest differences between brain and serum being observed for Cu and Se, serving as a basis for further research on TEs dynamics in acute brain injury.</p>\",\"PeriodicalId\":20189,\"journal\":{\"name\":\"PLoS ONE\",\"volume\":\"20 6\",\"pages\":\"e0326023\"},\"PeriodicalIF\":2.6000,\"publicationDate\":\"2025-06-16\",\"publicationTypes\":\"Journal Article\",\"fieldsOfStudy\":null,\"isOpenAccess\":false,\"openAccessPdf\":\"https://www.ncbi.nlm.nih.gov/pmc/articles/PMC12169518/pdf/\",\"citationCount\":\"0\",\"resultStr\":null,\"platform\":\"Semanticscholar\",\"paperid\":null,\"PeriodicalName\":\"PLoS ONE\",\"FirstCategoryId\":\"103\",\"ListUrlMain\":\"https://doi.org/10.1371/journal.pone.0326023\",\"RegionNum\":3,\"RegionCategory\":\"综合性期刊\",\"ArticlePicture\":[],\"TitleCN\":null,\"AbstractTextCN\":null,\"PMCID\":null,\"EPubDate\":\"2025/1/1 0:00:00\",\"PubModel\":\"eCollection\",\"JCR\":\"Q1\",\"JCRName\":\"MULTIDISCIPLINARY SCIENCES\",\"Score\":null,\"Total\":0}","platform":"Semanticscholar","paperid":null,"PeriodicalName":"PLoS ONE","FirstCategoryId":"103","ListUrlMain":"https://doi.org/10.1371/journal.pone.0326023","RegionNum":3,"RegionCategory":"综合性期刊","ArticlePicture":[],"TitleCN":null,"AbstractTextCN":null,"PMCID":null,"EPubDate":"2025/1/1 0:00:00","PubModel":"eCollection","JCR":"Q1","JCRName":"MULTIDISCIPLINARY SCIENCES","Score":null,"Total":0}
引用次数: 0

摘要

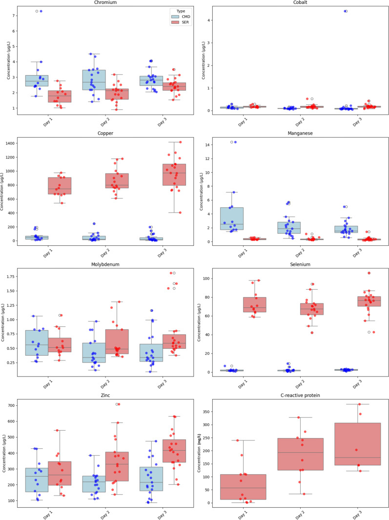
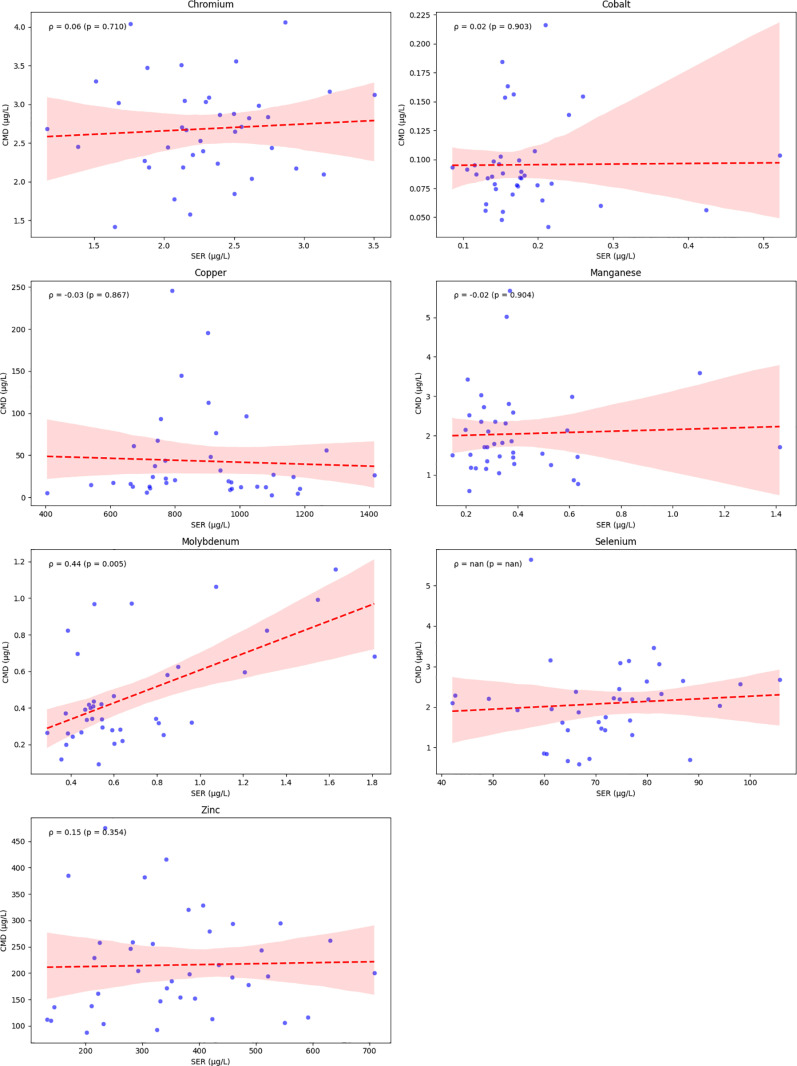
背景:大脑中微量元素(TEs)状态的改变与神经退行性疾病有关。然而,关于活人和创伤后条件下的TEs的数据很少。一些te(铜- Cu,硒- Se,锌- Zn)参与必需的抗氧化防御。本研究旨在测量严重创伤性脑损伤(TBI)患者脑和血清中TEs浓度随时间的变化。方法:对20例成年重型脑外伤患者在重症监护病房入院3 d内采用脑微透析(CMD)和采血监测。用电感耦合等离子体系统耦合质谱法测定TEs水平。结果:测定了脑间质液和血清中铬- Cr、Cu、钴- Co、锰- Mn、钼- Mo、硒、锌的TEs浓度。虽然Co、Mo和Mn的血清和CMD水平差异不显著,Cr和Zn的血清水平差异不大,但Cu和Se的血清水平显著高于CMD(高出8-10倍)。结论:本研究为活体TBI患者提供了新的TEs浓度数据,其中Cu和Se在脑和血清中差异最大,为进一步研究急性脑损伤TEs动态提供了基础。
本文章由计算机程序翻译,如有差异,请以英文原文为准。

Brain microdialysis to assess trace elements dynamics in traumatic brain injury: An exploratory study.

Brain microdialysis to assess trace elements dynamics in traumatic brain injury: An exploratory study.

Brain microdialysis to assess trace elements dynamics in traumatic brain injury: An exploratory study.

Brain microdialysis to assess trace elements dynamics in traumatic brain injury: An exploratory study.

Background: Trace elements (TEs) status alterations in the brain have been linked to neurodegenerative diseases. However, data on TEs in living humans and in the post-traumatic conditions are scarce. Some TEs (copper - Cu, selenium - Se, zinc - Zn) are involved in essential antioxidant defence. This study aims to measure the evolution of TEs concentrations in the brain and serum of severe traumatic brain injury (TBI) patients over time.

Methods: Twenty adult patients with severe TBI were monitored using cerebral microdialysis (CMD) and blood sampling within three days of intensive care unit admission. TEs levels were measured using inductively coupled plasma system coupled to mass spectrometry.

Results: TEs concentrations of chromium - Cr, Cu, cobalt - Co, manganese - Mn, molybdenum - Mo, Se, and Zn were quantified in brain interstitial fluid and serum. While serum and CMD levels did not differ significantly for Co, Mo and Mn, and modest differences was observed for Cr and Zn, significant differences were observed for Cu and Se with higher serum levels (8-10-fold higher) compared to CMD. No correlation was found between serum and brain TEs levels, except for Mo.

Conclusion: This study provides novel TEs concentration data in living TBI patients, the largest differences between brain and serum being observed for Cu and Se, serving as a basis for further research on TEs dynamics in acute brain injury.

求助全文
通过发布文献求助,成功后即可免费获取论文全文。 去求助
来源期刊
PLoS ONE
PLoS ONE 生物-生物学
CiteScore
6.20
自引率
5.40%
发文量
14242
审稿时长
3.7 months
期刊介绍: PLOS ONE is an international, peer-reviewed, open-access, online publication. PLOS ONE welcomes reports on primary research from any scientific discipline. It provides: * Open-access—freely accessible online, authors retain copyright * Fast publication times * Peer review by expert, practicing researchers * Post-publication tools to indicate quality and impact * Community-based dialogue on articles * Worldwide media coverage
×
引用
GB/T 7714-2015
复制
MLA
复制
APA
复制
导出至
BibTeX EndNote RefMan NoteFirst NoteExpress
×
提示
您的信息不完整,为了账户安全,请先补充。
现在去补充
×
提示
您因"违规操作"
具体请查看互助需知
我知道了
×
提示
确定
请完成安全验证×
copy
已复制链接
快去分享给好友吧!
我知道了
右上角分享
点击右上角分享
0
联系我们:info@booksci.cn Book学术提供免费学术资源搜索服务,方便国内外学者检索中英文文献。致力于提供最便捷和优质的服务体验。 Copyright © 2023 布克学术 All rights reserved.
京ICP备2023020795号-1
ghs 京公网安备 11010802042870号
Book学术文献互助
Book学术文献互助群
群 号:604180095
Book学术官方微信