利用蛋白质组学技术研究伊马替尼治疗感染性小鼠急性肺损伤的分子机制。

IF 3.6 3区 医学 Q2 IMMUNOLOGY
Journal of Immunology Research Pub Date : 2025-06-09 eCollection Date: 2025-01-01 DOI:10.1155/jimr/4526375
Xiao Wang, ZhiQing Zhou, DuanYang Li, BoYang Zhang, XiaoLong Zong, Xue Liang, ZhenYu Li
{"title":"利用蛋白质组学技术研究伊马替尼治疗感染性小鼠急性肺损伤的分子机制。","authors":"Xiao Wang, ZhiQing Zhou, DuanYang Li, BoYang Zhang, XiaoLong Zong, Xue Liang, ZhenYu Li","doi":"10.1155/jimr/4526375","DOIUrl":null,"url":null,"abstract":"<p><p><b>Background:</b> Acute lung injury (ALI) is the most common complication of sepsis. Despite considerable progress in the treatment of sepsis, the effective treatment strategies are lacking. A previous study has shown that imatinib reduces the rate of acute pulmonary damage in septic mice; however, the molecular mechanism remains unclear. Therefore, the current study aimed to investigate the potential mechanism by which imatinib alleviates ALI in septic mice. <b>Methods:</b> A septicemia model was established by intraperitoneal injection of lipopolysaccharide (LPS), followed by tail vein injection of imatinib in the treatment group. Enzyme-linked immunosorbent assay (ELISA) was used to detect inflammatory factors, and hematoxylin staining was used to detect pathological injury to the lung tissue. Tandem mass tag (TMT) quantitative labeling technology was used for proteomic sequencing analysis. The main target protein was identified through bioinformatics, and its expression was confirmed using western blotting. <b>Results:</b> We identified 128 differentially expressed proteins were associated with the protective effects of imatinib against septic lung injury. Functional enrichment analysis indicated that these proteins may be related to electron transfer, coagulation, and endothelial cell regulation in the oxidative respiratory chain. Enrichment of the nuclear factor-kappa B (NF-kB) signaling pathway, complement-coagulation cascade, and chemokine signaling pathway was also observed. Additionally, we found that the expression of CCAAT/enhancer-binding protein delta (CEBPD) and pyruvate dehydrogenase kinase 4 (PDK4) increased in the sepsis group but decreased in the imatinib group. <b>Conclusion:</b> Imatinib may reduce ALI in mice with sepsis by participating in oxidative respiratory and inflammatory responses, clotting response-related signaling pathways, and downregulating CEBPD and PDK4 expression.</p>","PeriodicalId":15952,"journal":{"name":"Journal of Immunology Research","volume":"2025 ","pages":"4526375"},"PeriodicalIF":3.6000,"publicationDate":"2025-06-09","publicationTypes":"Journal Article","fieldsOfStudy":null,"isOpenAccess":false,"openAccessPdf":"https://www.ncbi.nlm.nih.gov/pmc/articles/PMC12170088/pdf/","citationCount":"0","resultStr":"{\"title\":\"The Molecular Mechanisms of Imatinib Treatment on Acute Lung Injury in Septic Mice Through Proteomic Technology.\",\"authors\":\"Xiao Wang, ZhiQing Zhou, DuanYang Li, BoYang Zhang, XiaoLong Zong, Xue Liang, ZhenYu Li\",\"doi\":\"10.1155/jimr/4526375\",\"DOIUrl\":null,\"url\":null,\"abstract\":\"<p><p><b>Background:</b> Acute lung injury (ALI) is the most common complication of sepsis. Despite considerable progress in the treatment of sepsis, the effective treatment strategies are lacking. A previous study has shown that imatinib reduces the rate of acute pulmonary damage in septic mice; however, the molecular mechanism remains unclear. Therefore, the current study aimed to investigate the potential mechanism by which imatinib alleviates ALI in septic mice. <b>Methods:</b> A septicemia model was established by intraperitoneal injection of lipopolysaccharide (LPS), followed by tail vein injection of imatinib in the treatment group. Enzyme-linked immunosorbent assay (ELISA) was used to detect inflammatory factors, and hematoxylin staining was used to detect pathological injury to the lung tissue. Tandem mass tag (TMT) quantitative labeling technology was used for proteomic sequencing analysis. The main target protein was identified through bioinformatics, and its expression was confirmed using western blotting. <b>Results:</b> We identified 128 differentially expressed proteins were associated with the protective effects of imatinib against septic lung injury. Functional enrichment analysis indicated that these proteins may be related to electron transfer, coagulation, and endothelial cell regulation in the oxidative respiratory chain. Enrichment of the nuclear factor-kappa B (NF-kB) signaling pathway, complement-coagulation cascade, and chemokine signaling pathway was also observed. Additionally, we found that the expression of CCAAT/enhancer-binding protein delta (CEBPD) and pyruvate dehydrogenase kinase 4 (PDK4) increased in the sepsis group but decreased in the imatinib group. <b>Conclusion:</b> Imatinib may reduce ALI in mice with sepsis by participating in oxidative respiratory and inflammatory responses, clotting response-related signaling pathways, and downregulating CEBPD and PDK4 expression.</p>\",\"PeriodicalId\":15952,\"journal\":{\"name\":\"Journal of Immunology Research\",\"volume\":\"2025 \",\"pages\":\"4526375\"},\"PeriodicalIF\":3.6000,\"publicationDate\":\"2025-06-09\",\"publicationTypes\":\"Journal Article\",\"fieldsOfStudy\":null,\"isOpenAccess\":false,\"openAccessPdf\":\"https://www.ncbi.nlm.nih.gov/pmc/articles/PMC12170088/pdf/\",\"citationCount\":\"0\",\"resultStr\":null,\"platform\":\"Semanticscholar\",\"paperid\":null,\"PeriodicalName\":\"Journal of Immunology Research\",\"FirstCategoryId\":\"3\",\"ListUrlMain\":\"https://doi.org/10.1155/jimr/4526375\",\"RegionNum\":3,\"RegionCategory\":\"医学\",\"ArticlePicture\":[],\"TitleCN\":null,\"AbstractTextCN\":null,\"PMCID\":null,\"EPubDate\":\"2025/1/1 0:00:00\",\"PubModel\":\"eCollection\",\"JCR\":\"Q2\",\"JCRName\":\"IMMUNOLOGY\",\"Score\":null,\"Total\":0}","platform":"Semanticscholar","paperid":null,"PeriodicalName":"Journal of Immunology Research","FirstCategoryId":"3","ListUrlMain":"https://doi.org/10.1155/jimr/4526375","RegionNum":3,"RegionCategory":"医学","ArticlePicture":[],"TitleCN":null,"AbstractTextCN":null,"PMCID":null,"EPubDate":"2025/1/1 0:00:00","PubModel":"eCollection","JCR":"Q2","JCRName":"IMMUNOLOGY","Score":null,"Total":0}
引用次数: 0

摘要

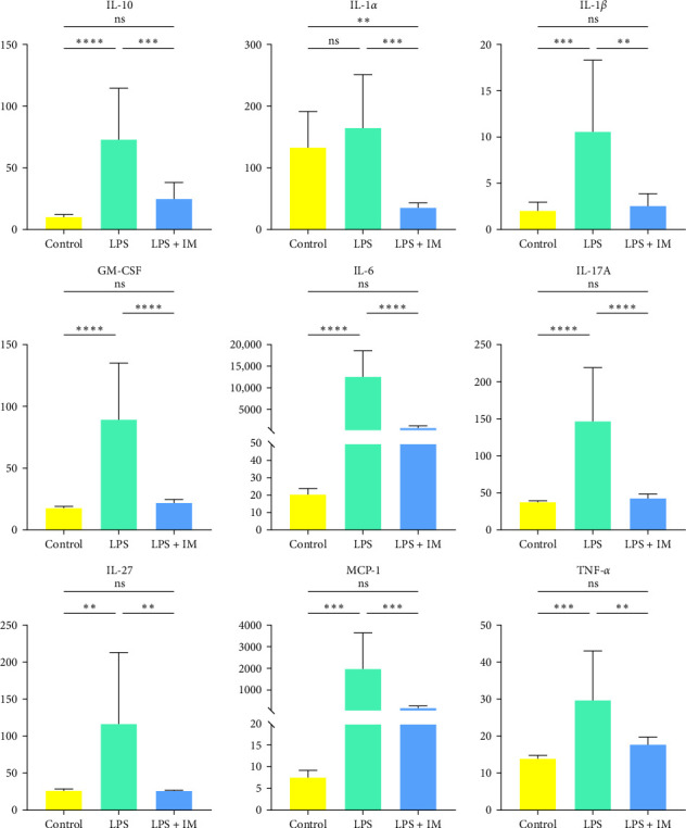
背景:急性肺损伤是脓毒症最常见的并发症。尽管在脓毒症的治疗方面取得了相当大的进展,但缺乏有效的治疗策略。先前的一项研究表明,伊马替尼可以降低脓毒症小鼠的急性肺损伤率;然而,分子机制尚不清楚。因此,本研究旨在探讨伊马替尼减轻脓毒症小鼠ALI的可能机制。方法:采用腹腔注射脂多糖(LPS)建立败血症模型,治疗组尾静脉注射伊马替尼。采用酶联免疫吸附试验(ELISA)检测炎症因子,苏木精染色检测肺组织病理损伤。采用串联质量标签(TMT)定量标记技术进行蛋白质组学测序分析。通过生物信息学方法鉴定主要靶蛋白,并用western blotting方法证实其表达。结果:我们鉴定出128个差异表达蛋白与伊马替尼对脓毒性肺损伤的保护作用有关。功能富集分析表明,这些蛋白可能与氧化呼吸链中的电子转移、凝血和内皮细胞调节有关。还观察到核因子- κ B (NF-kB)信号通路、补体-凝血级联和趋化因子信号通路的富集。此外,我们发现CCAAT/增强子结合蛋白δ (CEBPD)和丙酮酸脱氢酶激酶4 (PDK4)的表达在脓毒症组升高,而在伊马替尼组降低。结论:伊马替尼可能通过参与氧化呼吸和炎症反应、凝血反应相关信号通路、下调CEBPD和PDK4表达来降低脓毒症小鼠ALI。
本文章由计算机程序翻译,如有差异,请以英文原文为准。

The Molecular Mechanisms of Imatinib Treatment on Acute Lung Injury in Septic Mice Through Proteomic Technology.

The Molecular Mechanisms of Imatinib Treatment on Acute Lung Injury in Septic Mice Through Proteomic Technology.

The Molecular Mechanisms of Imatinib Treatment on Acute Lung Injury in Septic Mice Through Proteomic Technology.

The Molecular Mechanisms of Imatinib Treatment on Acute Lung Injury in Septic Mice Through Proteomic Technology.

Background: Acute lung injury (ALI) is the most common complication of sepsis. Despite considerable progress in the treatment of sepsis, the effective treatment strategies are lacking. A previous study has shown that imatinib reduces the rate of acute pulmonary damage in septic mice; however, the molecular mechanism remains unclear. Therefore, the current study aimed to investigate the potential mechanism by which imatinib alleviates ALI in septic mice. Methods: A septicemia model was established by intraperitoneal injection of lipopolysaccharide (LPS), followed by tail vein injection of imatinib in the treatment group. Enzyme-linked immunosorbent assay (ELISA) was used to detect inflammatory factors, and hematoxylin staining was used to detect pathological injury to the lung tissue. Tandem mass tag (TMT) quantitative labeling technology was used for proteomic sequencing analysis. The main target protein was identified through bioinformatics, and its expression was confirmed using western blotting. Results: We identified 128 differentially expressed proteins were associated with the protective effects of imatinib against septic lung injury. Functional enrichment analysis indicated that these proteins may be related to electron transfer, coagulation, and endothelial cell regulation in the oxidative respiratory chain. Enrichment of the nuclear factor-kappa B (NF-kB) signaling pathway, complement-coagulation cascade, and chemokine signaling pathway was also observed. Additionally, we found that the expression of CCAAT/enhancer-binding protein delta (CEBPD) and pyruvate dehydrogenase kinase 4 (PDK4) increased in the sepsis group but decreased in the imatinib group. Conclusion: Imatinib may reduce ALI in mice with sepsis by participating in oxidative respiratory and inflammatory responses, clotting response-related signaling pathways, and downregulating CEBPD and PDK4 expression.

求助全文
通过发布文献求助,成功后即可免费获取论文全文。 去求助
来源期刊
CiteScore
6.90
自引率
2.40%
发文量
423
审稿时长
15 weeks
期刊介绍: Journal of Immunology Research is a peer-reviewed, Open Access journal that provides a platform for scientists and clinicians working in different areas of immunology and therapy. The journal publishes research articles, review articles, as well as clinical studies related to classical immunology, molecular immunology, clinical immunology, cancer immunology, transplantation immunology, immune pathology, immunodeficiency, autoimmune diseases, immune disorders, and immunotherapy.
×
引用
GB/T 7714-2015
复制
MLA
复制
APA
复制
导出至
BibTeX EndNote RefMan NoteFirst NoteExpress
×
提示
您的信息不完整,为了账户安全,请先补充。
现在去补充
×
提示
您因"违规操作"
具体请查看互助需知
我知道了
×
提示
确定
请完成安全验证×
copy
已复制链接
快去分享给好友吧!
我知道了
右上角分享
点击右上角分享
0
联系我们:info@booksci.cn Book学术提供免费学术资源搜索服务,方便国内外学者检索中英文文献。致力于提供最便捷和优质的服务体验。 Copyright © 2023 布克学术 All rights reserved.
京ICP备2023020795号-1
ghs 京公网安备 11010802042870号
Book学术文献互助
Book学术文献互助群
群 号:604180095
Book学术官方微信