衰老过程中神经血管完整性和液体运输测量之间的关系:一项多模式神经影像学研究。

IF 6.2 1区 医学 Q1 NEUROSCIENCES
Ella Rowsthorn, Lachlan Cribb, Benjamin Sinclair, William Pham, Trevor T-J Chong, Stephanie Yiallourou, Marina Cavuoto, Lucy Vivash, Terence J O'Brien, Xingfeng Shao, Danny J J Wang, Meng Law, Matthew P Pase, Ian H Harding
{"title":"衰老过程中神经血管完整性和液体运输测量之间的关系:一项多模式神经影像学研究。","authors":"Ella Rowsthorn, Lachlan Cribb, Benjamin Sinclair, William Pham, Trevor T-J Chong, Stephanie Yiallourou, Marina Cavuoto, Lucy Vivash, Terence J O'Brien, Xingfeng Shao, Danny J J Wang, Meng Law, Matthew P Pase, Ian H Harding","doi":"10.1186/s12987-025-00664-7","DOIUrl":null,"url":null,"abstract":"<p><p>Fluid transport in the neurovascular unit is essential for maintaining brain health through nutrient delivery and waste clearance. However, these systems are complex and the inter-dependencies between elements of these systems and how they may change through aging is not well understood. MRI outcomes provide insight into the underlying biological mechanisms of these systems in vivo, including water exchange rate through the neurovascular unit (BBB k<sub>w</sub>), enlarged perivascular spaces (ePVS), cerebral blood flow (CBF), free water (FW), and white matter hyperintensities (WMH). To explore the relationships between functional elements of the neurovascular unit, this study investigated relationships between these MRI measures using Bayesian mixed models, and their variation with chronological age or atrophy-related brain age (brainageR) using linear regression. In 132 non-clinical older adults (mean age = 67 years; 68% female), BBB k<sub>w</sub> positively associated with CBF (β^ = 0.08, 95% credible interval (CI) = [0.02, 0.15]). FW positively associated with both ePVS (β^ = 0.44, CI = [0.30, 0.63]) and WMH (β^ = 0.13, CI = [0.04, 0.21]). BBB k<sub>w</sub>, CBF and ePVS decreased with age, while FW and WMH increased (all p < 0.05). There were no associations with atrophy-related brain age (all p > 0.05). Relationships between FW, ePVS and WMH likely reflect interconnectivity of fluid regulation within different compartments, while the relationship between BBB k<sub>w</sub> and CBF indicates a link between neurovascular fluid flow and vessel function. While individual metrics of neurovascular integrity are associated with age, their inter-relationships appear stable, providing a baseline for future research in fluid transport and vascular health in neurodegenerative disease.</p>","PeriodicalId":12321,"journal":{"name":"Fluids and Barriers of the CNS","volume":"22 1","pages":"59"},"PeriodicalIF":6.2000,"publicationDate":"2025-06-16","publicationTypes":"Journal Article","fieldsOfStudy":null,"isOpenAccess":false,"openAccessPdf":"https://www.ncbi.nlm.nih.gov/pmc/articles/PMC12168365/pdf/","citationCount":"0","resultStr":"{\"title\":\"Relationships between measures of neurovascular integrity and fluid transport in aging: a multi-modal neuroimaging study.\",\"authors\":\"Ella Rowsthorn, Lachlan Cribb, Benjamin Sinclair, William Pham, Trevor T-J Chong, Stephanie Yiallourou, Marina Cavuoto, Lucy Vivash, Terence J O'Brien, Xingfeng Shao, Danny J J Wang, Meng Law, Matthew P Pase, Ian H Harding\",\"doi\":\"10.1186/s12987-025-00664-7\",\"DOIUrl\":null,\"url\":null,\"abstract\":\"<p><p>Fluid transport in the neurovascular unit is essential for maintaining brain health through nutrient delivery and waste clearance. However, these systems are complex and the inter-dependencies between elements of these systems and how they may change through aging is not well understood. MRI outcomes provide insight into the underlying biological mechanisms of these systems in vivo, including water exchange rate through the neurovascular unit (BBB k<sub>w</sub>), enlarged perivascular spaces (ePVS), cerebral blood flow (CBF), free water (FW), and white matter hyperintensities (WMH). To explore the relationships between functional elements of the neurovascular unit, this study investigated relationships between these MRI measures using Bayesian mixed models, and their variation with chronological age or atrophy-related brain age (brainageR) using linear regression. In 132 non-clinical older adults (mean age = 67 years; 68% female), BBB k<sub>w</sub> positively associated with CBF (β^ = 0.08, 95% credible interval (CI) = [0.02, 0.15]). FW positively associated with both ePVS (β^ = 0.44, CI = [0.30, 0.63]) and WMH (β^ = 0.13, CI = [0.04, 0.21]). BBB k<sub>w</sub>, CBF and ePVS decreased with age, while FW and WMH increased (all p < 0.05). There were no associations with atrophy-related brain age (all p > 0.05). Relationships between FW, ePVS and WMH likely reflect interconnectivity of fluid regulation within different compartments, while the relationship between BBB k<sub>w</sub> and CBF indicates a link between neurovascular fluid flow and vessel function. While individual metrics of neurovascular integrity are associated with age, their inter-relationships appear stable, providing a baseline for future research in fluid transport and vascular health in neurodegenerative disease.</p>\",\"PeriodicalId\":12321,\"journal\":{\"name\":\"Fluids and Barriers of the CNS\",\"volume\":\"22 1\",\"pages\":\"59\"},\"PeriodicalIF\":6.2000,\"publicationDate\":\"2025-06-16\",\"publicationTypes\":\"Journal Article\",\"fieldsOfStudy\":null,\"isOpenAccess\":false,\"openAccessPdf\":\"https://www.ncbi.nlm.nih.gov/pmc/articles/PMC12168365/pdf/\",\"citationCount\":\"0\",\"resultStr\":null,\"platform\":\"Semanticscholar\",\"paperid\":null,\"PeriodicalName\":\"Fluids and Barriers of the CNS\",\"FirstCategoryId\":\"3\",\"ListUrlMain\":\"https://doi.org/10.1186/s12987-025-00664-7\",\"RegionNum\":1,\"RegionCategory\":\"医学\",\"ArticlePicture\":[],\"TitleCN\":null,\"AbstractTextCN\":null,\"PMCID\":null,\"EPubDate\":\"\",\"PubModel\":\"\",\"JCR\":\"Q1\",\"JCRName\":\"NEUROSCIENCES\",\"Score\":null,\"Total\":0}","platform":"Semanticscholar","paperid":null,"PeriodicalName":"Fluids and Barriers of the CNS","FirstCategoryId":"3","ListUrlMain":"https://doi.org/10.1186/s12987-025-00664-7","RegionNum":1,"RegionCategory":"医学","ArticlePicture":[],"TitleCN":null,"AbstractTextCN":null,"PMCID":null,"EPubDate":"","PubModel":"","JCR":"Q1","JCRName":"NEUROSCIENCES","Score":null,"Total":0}
引用次数: 0

摘要

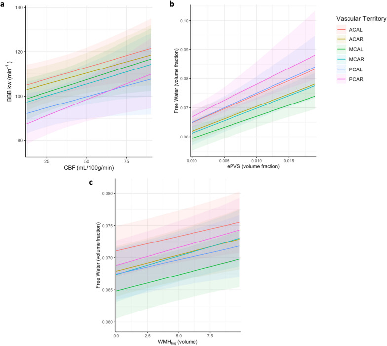
神经血管单元中的液体运输通过营养输送和废物清除对维持大脑健康至关重要。然而,这些系统是复杂的,这些系统元素之间的相互依赖关系以及它们如何随着年龄的增长而变化还没有得到很好的理解。MRI结果可以深入了解这些系统在体内的潜在生物学机制,包括通过神经血管单位的水交换率(BBB kw)、血管周围空间扩大(ePVS)、脑血流量(CBF)、游离水(FW)和白质高信号(WMH)。为了探索神经血管单元功能元素之间的关系,本研究使用贝叶斯混合模型研究了这些MRI测量之间的关系,以及它们随实足年龄或脑萎缩相关年龄(brainageR)的变化,使用线性回归。132例非临床老年人(平均年龄67岁;68%女性),BBB kw与CBF呈正相关(β^ = 0.08, 95%可信区间(CI) =[0.02, 0.15])。弗兰克-威廉姆斯积极与ePVS(β^ = 0.44,CI =[0.30, 0.63])和负责人(β^ = 0.13,CI =[0.04, 0.21])。BBB kw、CBF和ePVS随年龄的增长而降低,FW和WMH随年龄的增长而增加(均p 0.05)。FW、ePVS和WMH之间的关系可能反映了不同隔室内流体调节的互联性,而BBB kw和CBF之间的关系表明了神经血管流体流动和血管功能之间的联系。虽然神经血管完整性的个体指标与年龄有关,但它们之间的相互关系似乎是稳定的,这为未来研究神经退行性疾病中的液体输送和血管健康提供了基线。
本文章由计算机程序翻译,如有差异,请以英文原文为准。

Relationships between measures of neurovascular integrity and fluid transport in aging: a multi-modal neuroimaging study.

Relationships between measures of neurovascular integrity and fluid transport in aging: a multi-modal neuroimaging study.

Relationships between measures of neurovascular integrity and fluid transport in aging: a multi-modal neuroimaging study.

Relationships between measures of neurovascular integrity and fluid transport in aging: a multi-modal neuroimaging study.

Fluid transport in the neurovascular unit is essential for maintaining brain health through nutrient delivery and waste clearance. However, these systems are complex and the inter-dependencies between elements of these systems and how they may change through aging is not well understood. MRI outcomes provide insight into the underlying biological mechanisms of these systems in vivo, including water exchange rate through the neurovascular unit (BBB kw), enlarged perivascular spaces (ePVS), cerebral blood flow (CBF), free water (FW), and white matter hyperintensities (WMH). To explore the relationships between functional elements of the neurovascular unit, this study investigated relationships between these MRI measures using Bayesian mixed models, and their variation with chronological age or atrophy-related brain age (brainageR) using linear regression. In 132 non-clinical older adults (mean age = 67 years; 68% female), BBB kw positively associated with CBF (β^ = 0.08, 95% credible interval (CI) = [0.02, 0.15]). FW positively associated with both ePVS (β^ = 0.44, CI = [0.30, 0.63]) and WMH (β^ = 0.13, CI = [0.04, 0.21]). BBB kw, CBF and ePVS decreased with age, while FW and WMH increased (all p < 0.05). There were no associations with atrophy-related brain age (all p > 0.05). Relationships between FW, ePVS and WMH likely reflect interconnectivity of fluid regulation within different compartments, while the relationship between BBB kw and CBF indicates a link between neurovascular fluid flow and vessel function. While individual metrics of neurovascular integrity are associated with age, their inter-relationships appear stable, providing a baseline for future research in fluid transport and vascular health in neurodegenerative disease.

求助全文
通过发布文献求助,成功后即可免费获取论文全文。 去求助
来源期刊
Fluids and Barriers of the CNS
Fluids and Barriers of the CNS Neuroscience-Developmental Neuroscience
CiteScore
10.70
自引率
8.20%
发文量
94
审稿时长
14 weeks
期刊介绍: "Fluids and Barriers of the CNS" is a scholarly open access journal that specializes in the intricate world of the central nervous system's fluids and barriers, which are pivotal for the health and well-being of the human body. This journal is a peer-reviewed platform that welcomes research manuscripts exploring the full spectrum of CNS fluids and barriers, with a particular focus on their roles in both health and disease. At the heart of this journal's interest is the cerebrospinal fluid (CSF), a vital fluid that circulates within the brain and spinal cord, playing a multifaceted role in the normal functioning of the brain and in various neurological conditions. The journal delves into the composition, circulation, and absorption of CSF, as well as its relationship with the parenchymal interstitial fluid and the neurovascular unit at the blood-brain barrier (BBB).
×
引用
GB/T 7714-2015
复制
MLA
复制
APA
复制
导出至
BibTeX EndNote RefMan NoteFirst NoteExpress
×
提示
您的信息不完整,为了账户安全,请先补充。
现在去补充
×
提示
您因"违规操作"
具体请查看互助需知
我知道了
×
提示
确定
请完成安全验证×
copy
已复制链接
快去分享给好友吧!
我知道了
右上角分享
点击右上角分享
0
联系我们:info@booksci.cn Book学术提供免费学术资源搜索服务,方便国内外学者检索中英文文献。致力于提供最便捷和优质的服务体验。 Copyright © 2023 布克学术 All rights reserved.
京ICP备2023020795号-1
ghs 京公网安备 11010802042870号
Book学术文献互助
Book学术文献互助群
群 号:604180095
Book学术官方微信