基于预后营养指数的Nomogram预测乳腺癌转移:回顾性队列验证。

IF 3.4 4区 医学 Q2 ONCOLOGY
Breast Cancer : Targets and Therapy Pub Date : 2025-06-10 eCollection Date: 2025-01-01 DOI:10.2147/BCTT.S523001
Zhimin Chen, Honglan Gao, Mingwen Cheng, Chenglin Song
{"title":"基于预后营养指数的Nomogram预测乳腺癌转移:回顾性队列验证。","authors":"Zhimin Chen, Honglan Gao, Mingwen Cheng, Chenglin Song","doi":"10.2147/BCTT.S523001","DOIUrl":null,"url":null,"abstract":"<p><strong>Background: </strong>The prognostic nutritional index (PNI) is significantly associated with the prognosis of breast cancer (BC). However, the relationship between PNI and BC metastasis has not yet been thoroughly studied. This study aims to explore the role of PNI in BC metastasis and develop a predictive nomogram model.</p><p><strong>Methods: </strong>A retrospective cohort of 311 BC patients was analyzed. The restricted cubic spline (RCS) was utilized to explore the nonlinear relationships between PNI, geriatric nutritional risk index (GNRI), neutrophil percentage-to-albumin ratio (NPAR), hemoglobin, albumin, lymphocyte, and platelet (HALP) ratio and BC metastasis. Multivariate logistic regression analysis was conducted to identify the influencing factors of BC metastasis. A nomogram model was established and internally validated. The performance and clinical applicability of the model were assessed through the area under the receiver operating characteristic (ROC) curve (AUC), calibration curve, Hosmer-Lemeshow test, and decision curve analysis (DCA).</p><p><strong>Results: </strong>RCS analysis demonstrated nonlinear associations between PNI and HALP with BC metastasis (P for nonlinear < 0.05). PNI and other factors such as T and N stage etc. were identified as independent influencing factors for BC metastasis. The nomogram based on these factors demonstrated strong predictive ability, with the AUCs of 0.85 (95% confidence interval [CI] 0.79, 0.91) and 0.82 (95% CI 0.71, 0.93) in the training and validation set, respectively. The calibration curve, Hosmer-Lemeshow test, and DCA further confirmed its clinical utility.</p><p><strong>Conclusion: </strong>PNI is an independent predictor of BC metastasis. This PNI-based nomogram provides a practical and user-friendly tool for assessing BC metastasis risk.</p>","PeriodicalId":9106,"journal":{"name":"Breast Cancer : Targets and Therapy","volume":"17 ","pages":"497-510"},"PeriodicalIF":3.4000,"publicationDate":"2025-06-10","publicationTypes":"Journal Article","fieldsOfStudy":null,"isOpenAccess":false,"openAccessPdf":"https://www.ncbi.nlm.nih.gov/pmc/articles/PMC12168910/pdf/","citationCount":"0","resultStr":"{\"title\":\"A Prognostic Nutritional Index-Based Nomogram to Predict Breast Cancer Metastasis: A Retrospective Cohort Validation.\",\"authors\":\"Zhimin Chen, Honglan Gao, Mingwen Cheng, Chenglin Song\",\"doi\":\"10.2147/BCTT.S523001\",\"DOIUrl\":null,\"url\":null,\"abstract\":\"<p><strong>Background: </strong>The prognostic nutritional index (PNI) is significantly associated with the prognosis of breast cancer (BC). However, the relationship between PNI and BC metastasis has not yet been thoroughly studied. This study aims to explore the role of PNI in BC metastasis and develop a predictive nomogram model.</p><p><strong>Methods: </strong>A retrospective cohort of 311 BC patients was analyzed. The restricted cubic spline (RCS) was utilized to explore the nonlinear relationships between PNI, geriatric nutritional risk index (GNRI), neutrophil percentage-to-albumin ratio (NPAR), hemoglobin, albumin, lymphocyte, and platelet (HALP) ratio and BC metastasis. Multivariate logistic regression analysis was conducted to identify the influencing factors of BC metastasis. A nomogram model was established and internally validated. The performance and clinical applicability of the model were assessed through the area under the receiver operating characteristic (ROC) curve (AUC), calibration curve, Hosmer-Lemeshow test, and decision curve analysis (DCA).</p><p><strong>Results: </strong>RCS analysis demonstrated nonlinear associations between PNI and HALP with BC metastasis (P for nonlinear < 0.05). PNI and other factors such as T and N stage etc. were identified as independent influencing factors for BC metastasis. The nomogram based on these factors demonstrated strong predictive ability, with the AUCs of 0.85 (95% confidence interval [CI] 0.79, 0.91) and 0.82 (95% CI 0.71, 0.93) in the training and validation set, respectively. The calibration curve, Hosmer-Lemeshow test, and DCA further confirmed its clinical utility.</p><p><strong>Conclusion: </strong>PNI is an independent predictor of BC metastasis. This PNI-based nomogram provides a practical and user-friendly tool for assessing BC metastasis risk.</p>\",\"PeriodicalId\":9106,\"journal\":{\"name\":\"Breast Cancer : Targets and Therapy\",\"volume\":\"17 \",\"pages\":\"497-510\"},\"PeriodicalIF\":3.4000,\"publicationDate\":\"2025-06-10\",\"publicationTypes\":\"Journal Article\",\"fieldsOfStudy\":null,\"isOpenAccess\":false,\"openAccessPdf\":\"https://www.ncbi.nlm.nih.gov/pmc/articles/PMC12168910/pdf/\",\"citationCount\":\"0\",\"resultStr\":null,\"platform\":\"Semanticscholar\",\"paperid\":null,\"PeriodicalName\":\"Breast Cancer : Targets and Therapy\",\"FirstCategoryId\":\"3\",\"ListUrlMain\":\"https://doi.org/10.2147/BCTT.S523001\",\"RegionNum\":4,\"RegionCategory\":\"医学\",\"ArticlePicture\":[],\"TitleCN\":null,\"AbstractTextCN\":null,\"PMCID\":null,\"EPubDate\":\"2025/1/1 0:00:00\",\"PubModel\":\"eCollection\",\"JCR\":\"Q2\",\"JCRName\":\"ONCOLOGY\",\"Score\":null,\"Total\":0}","platform":"Semanticscholar","paperid":null,"PeriodicalName":"Breast Cancer : Targets and Therapy","FirstCategoryId":"3","ListUrlMain":"https://doi.org/10.2147/BCTT.S523001","RegionNum":4,"RegionCategory":"医学","ArticlePicture":[],"TitleCN":null,"AbstractTextCN":null,"PMCID":null,"EPubDate":"2025/1/1 0:00:00","PubModel":"eCollection","JCR":"Q2","JCRName":"ONCOLOGY","Score":null,"Total":0}
引用次数: 0

摘要

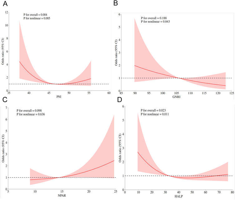
背景:预后营养指数(PNI)与乳腺癌(BC)的预后显著相关。然而,PNI与BC转移的关系尚未得到充分的研究。本研究旨在探讨PNI在BC转移中的作用,并建立预测nomogram模型。方法:对311例BC患者进行回顾性队列分析。采用限制性三次样条(RCS)分析PNI、老年营养风险指数(GNRI)、中性粒细胞百分比-白蛋白比(NPAR)、血红蛋白、白蛋白、淋巴细胞和血小板(HALP)比与BC转移之间的非线性关系。通过多因素logistic回归分析,确定BC转移的影响因素。建立了模态图模型并进行了内部验证。通过受试者工作特征曲线下面积(AUC)、校正曲线、Hosmer-Lemeshow检验、决策曲线分析(DCA)评价模型的性能和临床适用性。结果:RCS分析显示PNI和HALP与BC转移呈非线性相关(P < 0.05)。PNI和T分期、N分期等因素被确定为BC转移的独立影响因素。基于这些因素的正态图显示出较强的预测能力,训练集和验证集的auc分别为0.85(95%置信区间[CI] 0.79, 0.91)和0.82 (95% CI 0.71, 0.93)。校正曲线、Hosmer-Lemeshow试验和DCA进一步证实了其临床应用价值。结论:PNI是BC转移的独立预测因子。这种基于pni的nomogram方法为评估BC转移风险提供了一种实用且用户友好的工具。
本文章由计算机程序翻译,如有差异,请以英文原文为准。

A Prognostic Nutritional Index-Based Nomogram to Predict Breast Cancer Metastasis: A Retrospective Cohort Validation.

A Prognostic Nutritional Index-Based Nomogram to Predict Breast Cancer Metastasis: A Retrospective Cohort Validation.

A Prognostic Nutritional Index-Based Nomogram to Predict Breast Cancer Metastasis: A Retrospective Cohort Validation.

A Prognostic Nutritional Index-Based Nomogram to Predict Breast Cancer Metastasis: A Retrospective Cohort Validation.

Background: The prognostic nutritional index (PNI) is significantly associated with the prognosis of breast cancer (BC). However, the relationship between PNI and BC metastasis has not yet been thoroughly studied. This study aims to explore the role of PNI in BC metastasis and develop a predictive nomogram model.

Methods: A retrospective cohort of 311 BC patients was analyzed. The restricted cubic spline (RCS) was utilized to explore the nonlinear relationships between PNI, geriatric nutritional risk index (GNRI), neutrophil percentage-to-albumin ratio (NPAR), hemoglobin, albumin, lymphocyte, and platelet (HALP) ratio and BC metastasis. Multivariate logistic regression analysis was conducted to identify the influencing factors of BC metastasis. A nomogram model was established and internally validated. The performance and clinical applicability of the model were assessed through the area under the receiver operating characteristic (ROC) curve (AUC), calibration curve, Hosmer-Lemeshow test, and decision curve analysis (DCA).

Results: RCS analysis demonstrated nonlinear associations between PNI and HALP with BC metastasis (P for nonlinear < 0.05). PNI and other factors such as T and N stage etc. were identified as independent influencing factors for BC metastasis. The nomogram based on these factors demonstrated strong predictive ability, with the AUCs of 0.85 (95% confidence interval [CI] 0.79, 0.91) and 0.82 (95% CI 0.71, 0.93) in the training and validation set, respectively. The calibration curve, Hosmer-Lemeshow test, and DCA further confirmed its clinical utility.

Conclusion: PNI is an independent predictor of BC metastasis. This PNI-based nomogram provides a practical and user-friendly tool for assessing BC metastasis risk.

求助全文
通过发布文献求助,成功后即可免费获取论文全文。 去求助
来源期刊
CiteScore
4.10
自引率
0.00%
发文量
40
审稿时长
16 weeks
×
引用
GB/T 7714-2015
复制
MLA
复制
APA
复制
导出至
BibTeX EndNote RefMan NoteFirst NoteExpress
×
提示
您的信息不完整,为了账户安全,请先补充。
现在去补充
×
提示
您因"违规操作"
具体请查看互助需知
我知道了
×
提示
确定
请完成安全验证×
copy
已复制链接
快去分享给好友吧!
我知道了
右上角分享
点击右上角分享
0
联系我们:info@booksci.cn Book学术提供免费学术资源搜索服务,方便国内外学者检索中英文文献。致力于提供最便捷和优质的服务体验。 Copyright © 2023 布克学术 All rights reserved.
京ICP备2023020795号-1
ghs 京公网安备 11010802042870号
Book学术文献互助
Book学术文献互助群
群 号:604180095
Book学术官方微信