cui填充单壁碳纳米管:CL-20热分解、点火和燃烧的高效催化剂

IF 8.2 2区 材料科学 Q1 MATERIALS SCIENCE, MULTIDISCIPLINARY
Peng Wang, Chengxiangzi Wang, Yan Hu*, Jun Zhu, Hongwei Yang, Feng Li, Yinghua Ye and Ruiqi Shen, 
{"title":"cui填充单壁碳纳米管:CL-20热分解、点火和燃烧的高效催化剂","authors":"Peng Wang,&nbsp;Chengxiangzi Wang,&nbsp;Yan Hu*,&nbsp;Jun Zhu,&nbsp;Hongwei Yang,&nbsp;Feng Li,&nbsp;Yinghua Ye and Ruiqi Shen,&nbsp;","doi":"10.1021/acsami.5c0570110.1021/acsami.5c05701","DOIUrl":null,"url":null,"abstract":"<p >CL-20 is used to replace conventional oxidizers in propellants to boost the energy signature. Laser technology is an important means of propellant ignition and combustion enhancement. Improving ignition and combustion performance is of great significance for a wide range of propellant applications. Here, a novel CuI structure encapsulated in a single-walled carbon nanotube network (CuI@SWCNT), with excellent reactivity, electrical conductivity, thermal conductivity, and photothermal conversion, was used as a combustion catalyst. The network’s superb electrical conductivity and large specific surface area provide a convenient transport channel for electrons to the center of catalytic activity. The effects of CuI, SWCNT, and CuI@SWCNT on the thermal decomposition, ignition, and combustion properties of CL-20 were investigated in detail by differential scanning calorimetry (DSC), thermogravimetric-infrared (TG-IR), laser ignition, burning rate experiment, and condensed combustion products collection. As a combustion catalyst, CuI@SWCNT exploits the synergistic properties of CuI and SWCNT. It has the effect of enhancing the thermal decomposition performance (<i>T</i><sub>p</sub> advanced by 7.5 °C, <i>E</i><sub>a</sub> reduced by 35.0%), shortening the ignition delay time (reduced by 92.2%), increasing the burning rate (enhanced by 75.9%) and improving the combustion efficiency of CL-20. It also optimizes the poor self-sustaining combustion performance of CL-20. This work provides a new combustion catalyst strategy for comprehensively enhancing the thermal decomposition, ignition, and combustion performance of CL-20 and provides insight into its impact mechanisms.</p>","PeriodicalId":5,"journal":{"name":"ACS Applied Materials & Interfaces","volume":"17 24","pages":"35541–35551 35541–35551"},"PeriodicalIF":8.2000,"publicationDate":"2025-06-09","publicationTypes":"Journal Article","fieldsOfStudy":null,"isOpenAccess":false,"openAccessPdf":"","citationCount":"0","resultStr":"{\"title\":\"CuI-Filled Single-Walled Carbon Nanotubes: Efficient Catalysts for Thermal Decomposition, Ignition, and Combustion of CL-20\",\"authors\":\"Peng Wang,&nbsp;Chengxiangzi Wang,&nbsp;Yan Hu*,&nbsp;Jun Zhu,&nbsp;Hongwei Yang,&nbsp;Feng Li,&nbsp;Yinghua Ye and Ruiqi Shen,&nbsp;\",\"doi\":\"10.1021/acsami.5c0570110.1021/acsami.5c05701\",\"DOIUrl\":null,\"url\":null,\"abstract\":\"<p >CL-20 is used to replace conventional oxidizers in propellants to boost the energy signature. Laser technology is an important means of propellant ignition and combustion enhancement. Improving ignition and combustion performance is of great significance for a wide range of propellant applications. Here, a novel CuI structure encapsulated in a single-walled carbon nanotube network (CuI@SWCNT), with excellent reactivity, electrical conductivity, thermal conductivity, and photothermal conversion, was used as a combustion catalyst. The network’s superb electrical conductivity and large specific surface area provide a convenient transport channel for electrons to the center of catalytic activity. The effects of CuI, SWCNT, and CuI@SWCNT on the thermal decomposition, ignition, and combustion properties of CL-20 were investigated in detail by differential scanning calorimetry (DSC), thermogravimetric-infrared (TG-IR), laser ignition, burning rate experiment, and condensed combustion products collection. As a combustion catalyst, CuI@SWCNT exploits the synergistic properties of CuI and SWCNT. It has the effect of enhancing the thermal decomposition performance (<i>T</i><sub>p</sub> advanced by 7.5 °C, <i>E</i><sub>a</sub> reduced by 35.0%), shortening the ignition delay time (reduced by 92.2%), increasing the burning rate (enhanced by 75.9%) and improving the combustion efficiency of CL-20. It also optimizes the poor self-sustaining combustion performance of CL-20. This work provides a new combustion catalyst strategy for comprehensively enhancing the thermal decomposition, ignition, and combustion performance of CL-20 and provides insight into its impact mechanisms.</p>\",\"PeriodicalId\":5,\"journal\":{\"name\":\"ACS Applied Materials & Interfaces\",\"volume\":\"17 24\",\"pages\":\"35541–35551 35541–35551\"},\"PeriodicalIF\":8.2000,\"publicationDate\":\"2025-06-09\",\"publicationTypes\":\"Journal Article\",\"fieldsOfStudy\":null,\"isOpenAccess\":false,\"openAccessPdf\":\"\",\"citationCount\":\"0\",\"resultStr\":null,\"platform\":\"Semanticscholar\",\"paperid\":null,\"PeriodicalName\":\"ACS Applied Materials & Interfaces\",\"FirstCategoryId\":\"88\",\"ListUrlMain\":\"https://pubs.acs.org/doi/10.1021/acsami.5c05701\",\"RegionNum\":2,\"RegionCategory\":\"材料科学\",\"ArticlePicture\":[],\"TitleCN\":null,\"AbstractTextCN\":null,\"PMCID\":null,\"EPubDate\":\"\",\"PubModel\":\"\",\"JCR\":\"Q1\",\"JCRName\":\"MATERIALS SCIENCE, MULTIDISCIPLINARY\",\"Score\":null,\"Total\":0}","platform":"Semanticscholar","paperid":null,"PeriodicalName":"ACS Applied Materials & Interfaces","FirstCategoryId":"88","ListUrlMain":"https://pubs.acs.org/doi/10.1021/acsami.5c05701","RegionNum":2,"RegionCategory":"材料科学","ArticlePicture":[],"TitleCN":null,"AbstractTextCN":null,"PMCID":null,"EPubDate":"","PubModel":"","JCR":"Q1","JCRName":"MATERIALS SCIENCE, MULTIDISCIPLINARY","Score":null,"Total":0}
引用次数: 0

摘要

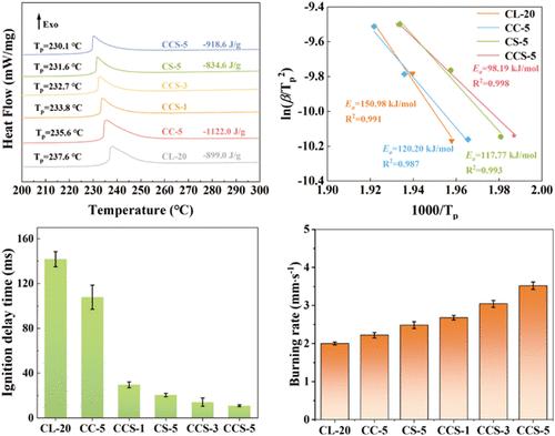
CL-20用于取代推进剂中的传统氧化剂,以提高能量特征。激光技术是推进剂点火和增强燃烧的重要手段。提高推进剂的点火和燃烧性能对推进剂的广泛应用具有重要意义。在这里,一种新型的CuI结构被封装在单壁碳纳米管网络(CuI@SWCNT)中,具有优异的反应性、导电性、导热性和光热转换,被用作燃烧催化剂。该网络优良的导电性和较大的比表面积为电子到催化活性中心提供了方便的传输通道。通过差示扫描量热法(DSC)、热重红外法(TG-IR)、激光点火、燃烧速率实验和凝聚燃烧产物收集等方法,研究了CuI、swcnts和CuI@SWCNT对CL-20热分解、着火和燃烧性能的影响。CuI@SWCNT作为燃烧催化剂,利用了CuI和swcnts的协同特性。提高了热分解性能(Tp提高7.5℃,Ea降低35.0%),缩短了点火延迟时间(降低92.2%),提高了燃烧速率(提高75.9%),提高了CL-20的燃烧效率。对CL-20较差的自燃性能进行了优化。本工作为全面提高CL-20的热分解、点火和燃烧性能提供了新的燃烧催化剂策略,并对其影响机理有了深入的了解。
本文章由计算机程序翻译,如有差异,请以英文原文为准。

CuI-Filled Single-Walled Carbon Nanotubes: Efficient Catalysts for Thermal Decomposition, Ignition, and Combustion of CL-20

CuI-Filled Single-Walled Carbon Nanotubes: Efficient Catalysts for Thermal Decomposition, Ignition, and Combustion of CL-20

CL-20 is used to replace conventional oxidizers in propellants to boost the energy signature. Laser technology is an important means of propellant ignition and combustion enhancement. Improving ignition and combustion performance is of great significance for a wide range of propellant applications. Here, a novel CuI structure encapsulated in a single-walled carbon nanotube network (CuI@SWCNT), with excellent reactivity, electrical conductivity, thermal conductivity, and photothermal conversion, was used as a combustion catalyst. The network’s superb electrical conductivity and large specific surface area provide a convenient transport channel for electrons to the center of catalytic activity. The effects of CuI, SWCNT, and CuI@SWCNT on the thermal decomposition, ignition, and combustion properties of CL-20 were investigated in detail by differential scanning calorimetry (DSC), thermogravimetric-infrared (TG-IR), laser ignition, burning rate experiment, and condensed combustion products collection. As a combustion catalyst, CuI@SWCNT exploits the synergistic properties of CuI and SWCNT. It has the effect of enhancing the thermal decomposition performance (Tp advanced by 7.5 °C, Ea reduced by 35.0%), shortening the ignition delay time (reduced by 92.2%), increasing the burning rate (enhanced by 75.9%) and improving the combustion efficiency of CL-20. It also optimizes the poor self-sustaining combustion performance of CL-20. This work provides a new combustion catalyst strategy for comprehensively enhancing the thermal decomposition, ignition, and combustion performance of CL-20 and provides insight into its impact mechanisms.

求助全文
通过发布文献求助,成功后即可免费获取论文全文。 去求助
来源期刊
ACS Applied Materials & Interfaces
ACS Applied Materials & Interfaces 工程技术-材料科学:综合
CiteScore
16.00
自引率
6.30%
发文量
4978
审稿时长
1.8 months
期刊介绍: ACS Applied Materials & Interfaces is a leading interdisciplinary journal that brings together chemists, engineers, physicists, and biologists to explore the development and utilization of newly-discovered materials and interfacial processes for specific applications. Our journal has experienced remarkable growth since its establishment in 2009, both in terms of the number of articles published and the impact of the research showcased. We are proud to foster a truly global community, with the majority of published articles originating from outside the United States, reflecting the rapid growth of applied research worldwide.
×
引用
GB/T 7714-2015
复制
MLA
复制
APA
复制
导出至
BibTeX EndNote RefMan NoteFirst NoteExpress
×
提示
您的信息不完整,为了账户安全,请先补充。
现在去补充
×
提示
您因"违规操作"
具体请查看互助需知
我知道了
×
提示
确定
请完成安全验证×
copy
已复制链接
快去分享给好友吧!
我知道了
右上角分享
点击右上角分享
0
联系我们:info@booksci.cn Book学术提供免费学术资源搜索服务,方便国内外学者检索中英文文献。致力于提供最便捷和优质的服务体验。 Copyright © 2023 布克学术 All rights reserved.
京ICP备2023020795号-1
ghs 京公网安备 11010802042870号
Book学术文献互助
Book学术文献互助群
群 号:604180095
Book学术官方微信