不同的标准:观察公民基于尊重的政治沟通规范的差异。

IF 2.7 1区 社会学 Q1 COMMUNICATION
Public Opinion Quarterly Pub Date : 2025-05-20 eCollection Date: 2025-01-01 DOI:10.1093/poq/nfaf001
Emma Turkenburg, Ine Goovaerts, Sofie Marien
{"title":"不同的标准:观察公民基于尊重的政治沟通规范的差异。","authors":"Emma Turkenburg, Ine Goovaerts, Sofie Marien","doi":"10.1093/poq/nfaf001","DOIUrl":null,"url":null,"abstract":"<p><p>Incivility, oversimplification, lying, inaccessible language: there is widespread concern and controversy about the disrespectful ways politicians communicate. The reasoning underlying these worries is that such communication violates widely shared communicative norms, and that exposure to it may lead to adverse consequences in the wider public. However, widespread support for respect-based norms among citizens is generally presupposed, and little is known about the extent to which norm support matters in how people react when witnessing disrespectful politicians. Using Belgian survey data (N = 2,030), we investigate whether citizens differ in the degree to which they support different respect-based norms for mediated elite communication, and whether differing levels of norm support moderate the relationship between perceived norm violations and several political outcomes (affect toward politicians; political trust; talking about politics; political information seeking). The results reveal substantial variation in norm support across the population, with differences based on sociodemographic characteristics (e.g., education level) and political attitudes (cynical, populist, polarized attitudes). This variation, moreover, matters. While depending on the outcome and norms we study, several findings show that citizens supporting respect-based norms react more negatively when perceiving norm violations more frequently, as compared to citizens caring less about these norms. Yet, whether and in what way this moderating effect occurs can differ for different types of disrespect. As such, besides showing that respectful communication is not equally important to everyone and that not everyone reacts to norm breaking in the same way, this study also underlines that not all shades of disrespect should be tarred with the same brush.</p>","PeriodicalId":51359,"journal":{"name":"Public Opinion Quarterly","volume":"89 1","pages":"155-185"},"PeriodicalIF":2.7000,"publicationDate":"2025-05-20","publicationTypes":"Journal Article","fieldsOfStudy":null,"isOpenAccess":false,"openAccessPdf":"https://www.ncbi.nlm.nih.gov/pmc/articles/PMC12166978/pdf/","citationCount":"0","resultStr":"{\"title\":\"Different Standards: Observing Variation in Citizens' Respect-Based Norms for Mediated Political Communication.\",\"authors\":\"Emma Turkenburg, Ine Goovaerts, Sofie Marien\",\"doi\":\"10.1093/poq/nfaf001\",\"DOIUrl\":null,\"url\":null,\"abstract\":\"<p><p>Incivility, oversimplification, lying, inaccessible language: there is widespread concern and controversy about the disrespectful ways politicians communicate. The reasoning underlying these worries is that such communication violates widely shared communicative norms, and that exposure to it may lead to adverse consequences in the wider public. However, widespread support for respect-based norms among citizens is generally presupposed, and little is known about the extent to which norm support matters in how people react when witnessing disrespectful politicians. Using Belgian survey data (N = 2,030), we investigate whether citizens differ in the degree to which they support different respect-based norms for mediated elite communication, and whether differing levels of norm support moderate the relationship between perceived norm violations and several political outcomes (affect toward politicians; political trust; talking about politics; political information seeking). The results reveal substantial variation in norm support across the population, with differences based on sociodemographic characteristics (e.g., education level) and political attitudes (cynical, populist, polarized attitudes). This variation, moreover, matters. While depending on the outcome and norms we study, several findings show that citizens supporting respect-based norms react more negatively when perceiving norm violations more frequently, as compared to citizens caring less about these norms. Yet, whether and in what way this moderating effect occurs can differ for different types of disrespect. As such, besides showing that respectful communication is not equally important to everyone and that not everyone reacts to norm breaking in the same way, this study also underlines that not all shades of disrespect should be tarred with the same brush.</p>\",\"PeriodicalId\":51359,\"journal\":{\"name\":\"Public Opinion Quarterly\",\"volume\":\"89 1\",\"pages\":\"155-185\"},\"PeriodicalIF\":2.7000,\"publicationDate\":\"2025-05-20\",\"publicationTypes\":\"Journal Article\",\"fieldsOfStudy\":null,\"isOpenAccess\":false,\"openAccessPdf\":\"https://www.ncbi.nlm.nih.gov/pmc/articles/PMC12166978/pdf/\",\"citationCount\":\"0\",\"resultStr\":null,\"platform\":\"Semanticscholar\",\"paperid\":null,\"PeriodicalName\":\"Public Opinion Quarterly\",\"FirstCategoryId\":\"90\",\"ListUrlMain\":\"https://doi.org/10.1093/poq/nfaf001\",\"RegionNum\":1,\"RegionCategory\":\"社会学\",\"ArticlePicture\":[],\"TitleCN\":null,\"AbstractTextCN\":null,\"PMCID\":null,\"EPubDate\":\"2025/1/1 0:00:00\",\"PubModel\":\"eCollection\",\"JCR\":\"Q1\",\"JCRName\":\"COMMUNICATION\",\"Score\":null,\"Total\":0}","platform":"Semanticscholar","paperid":null,"PeriodicalName":"Public Opinion Quarterly","FirstCategoryId":"90","ListUrlMain":"https://doi.org/10.1093/poq/nfaf001","RegionNum":1,"RegionCategory":"社会学","ArticlePicture":[],"TitleCN":null,"AbstractTextCN":null,"PMCID":null,"EPubDate":"2025/1/1 0:00:00","PubModel":"eCollection","JCR":"Q1","JCRName":"COMMUNICATION","Score":null,"Total":0}
引用次数: 0

摘要

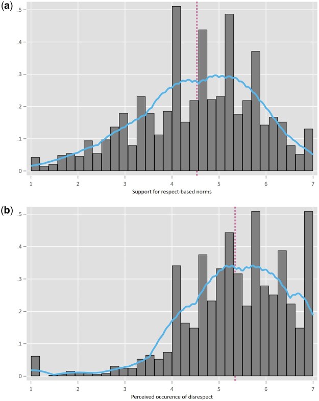
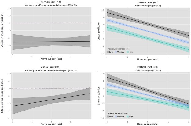
不礼貌、过度简化、说谎、难以理解的语言:政客们不尊重的沟通方式引起了广泛的关注和争议。这些担忧背后的理由是,这种沟通违反了广泛共享的沟通规范,暴露在这种情况下可能会在更广泛的公众中导致不良后果。然而,公民对基于尊重的规范的广泛支持通常是预先假定的,很少有人知道当人们目睹不尊重的政治家时,规范支持在多大程度上影响人们的反应。利用比利时的调查数据(N = 2030),我们调查了公民在支持不同的基于尊重的中介精英沟通规范的程度上是否存在差异,以及不同水平的规范支持是否会调节感知到的规范违反与几种政治结果之间的关系(对政治家的影响;政治信任;谈论政治;政治信息搜寻)。结果显示,在整个人群中,规范支持的差异很大,其差异基于社会人口特征(如教育水平)和政治态度(愤世嫉俗、民粹主义、两极分化的态度)。此外,这种差异很重要。虽然取决于我们研究的结果和规范,但一些研究结果表明,与不太关心这些规范的公民相比,支持基于尊重的规范的公民在更频繁地感知到违反规范时反应更消极。然而,对于不同类型的不尊重,这种调节作用是否以及以何种方式发生可能是不同的。因此,除了表明尊重的沟通对每个人来说并不同等重要,并不是每个人对打破规范的反应都是一样的,这项研究还强调,并不是所有的不尊重都应该被归为同一类。
本文章由计算机程序翻译,如有差异,请以英文原文为准。

Different Standards: Observing Variation in Citizens' Respect-Based Norms for Mediated Political Communication.

Different Standards: Observing Variation in Citizens' Respect-Based Norms for Mediated Political Communication.

Different Standards: Observing Variation in Citizens' Respect-Based Norms for Mediated Political Communication.

Different Standards: Observing Variation in Citizens' Respect-Based Norms for Mediated Political Communication.

Incivility, oversimplification, lying, inaccessible language: there is widespread concern and controversy about the disrespectful ways politicians communicate. The reasoning underlying these worries is that such communication violates widely shared communicative norms, and that exposure to it may lead to adverse consequences in the wider public. However, widespread support for respect-based norms among citizens is generally presupposed, and little is known about the extent to which norm support matters in how people react when witnessing disrespectful politicians. Using Belgian survey data (N = 2,030), we investigate whether citizens differ in the degree to which they support different respect-based norms for mediated elite communication, and whether differing levels of norm support moderate the relationship between perceived norm violations and several political outcomes (affect toward politicians; political trust; talking about politics; political information seeking). The results reveal substantial variation in norm support across the population, with differences based on sociodemographic characteristics (e.g., education level) and political attitudes (cynical, populist, polarized attitudes). This variation, moreover, matters. While depending on the outcome and norms we study, several findings show that citizens supporting respect-based norms react more negatively when perceiving norm violations more frequently, as compared to citizens caring less about these norms. Yet, whether and in what way this moderating effect occurs can differ for different types of disrespect. As such, besides showing that respectful communication is not equally important to everyone and that not everyone reacts to norm breaking in the same way, this study also underlines that not all shades of disrespect should be tarred with the same brush.

求助全文
通过发布文献求助,成功后即可免费获取论文全文。 去求助
来源期刊
CiteScore
4.40
自引率
2.90%
发文量
51
期刊介绍: Published since 1937, Public Opinion Quarterly is among the most frequently cited journals of its kind. Such interdisciplinary leadership benefits academicians and all social science researchers by providing a trusted source for a wide range of high quality research. POQ selectively publishes important theoretical contributions to opinion and communication research, analyses of current public opinion, and investigations of methodological issues involved in survey validity—including questionnaire construction, interviewing and interviewers, sampling strategy, and mode of administration. The theoretical and methodological advances detailed in pages of POQ ensure its importance as a research resource.
×
引用
GB/T 7714-2015
复制
MLA
复制
APA
复制
导出至
BibTeX EndNote RefMan NoteFirst NoteExpress
×
提示
您的信息不完整,为了账户安全,请先补充。
现在去补充
×
提示
您因"违规操作"
具体请查看互助需知
我知道了
×
提示
确定
请完成安全验证×
copy
已复制链接
快去分享给好友吧!
我知道了
右上角分享
点击右上角分享
0
联系我们:info@booksci.cn Book学术提供免费学术资源搜索服务,方便国内外学者检索中英文文献。致力于提供最便捷和优质的服务体验。 Copyright © 2023 布克学术 All rights reserved.
京ICP备2023020795号-1
ghs 京公网安备 11010802042870号
Book学术文献互助
Book学术文献互助群
群 号:604180095
Book学术官方微信