一门理论-实践课程对视神经直径超声测量在不同医护人员中的应用效果。

IF 2.9 Q2 Medicine
Eugenio Garofalo, Giuseppe Neri, Vincenzo Bosco, Zaninni Caroleo, Fabiola Virdò, Helenia Mastrangelo, Giusy Guzzi, Gianmaria Cammarota, Chiara Robba, Federico Longhini, Andrea Bruni
{"title":"一门理论-实践课程对视神经直径超声测量在不同医护人员中的应用效果。","authors":"Eugenio Garofalo, Giuseppe Neri, Vincenzo Bosco, Zaninni Caroleo, Fabiola Virdò, Helenia Mastrangelo, Giusy Guzzi, Gianmaria Cammarota, Chiara Robba, Federico Longhini, Andrea Bruni","doi":"10.1186/s13089-025-00431-7","DOIUrl":null,"url":null,"abstract":"<p><strong>Background: </strong>The measurement of the optic nerve sheath diameter (ONSD) via ultrasound is a non-invasive technique to estimate intracranial pressure. Brief training has been shown to be effective in accurately teaching the ONSD technique in specialized healthcare providers. This study evaluates the ability of medical and nursing students, Intensive Care Unit (ICU) nurses, and ICU residents to perform ONSD measurements after a brief training.</p><p><strong>Methods: </strong>Forty participants underwent a 4-h training session consisting of 30 min of lecture focusing on the key principles of the technique for ONSD measurement, followed by at least 20 measurements with an expert tutor. Thereafter, all participants assessed 5 ONSD measurements on healthy volunteers and their assessments were compared to those by the expert tutor.</p><p><strong>Results: </strong>All participants successfully visualized the optic nerve and recorded similar values among groups (p > 0.05 for all comparisons). ICU nurse residents and medical students demonstrated a good accuracyof measurements, as defined by an upper and lower limits of agreement with the expert tutor not exceeding 0.5 mm in the Bland-Altman analysis. On the opposite, nurse students had the highest error rates and poor accuracy in ONSD assessment.</p><p><strong>Conclusions: </strong>These findings highlight the feasibility of training medical students, ICU nurses and residents in ONSD measurement, opening the possibility of a wider application of this technique. After dedicated training, ONSD assessment and monitoring could be performed not only by specialists but also by other healthcare providers, including specialized nurses. This may serve as an additional tool for the rapid triage of patients, even in out-of-hospital settings.</p>","PeriodicalId":36911,"journal":{"name":"Ultrasound Journal","volume":"17 1","pages":"28"},"PeriodicalIF":2.9000,"publicationDate":"2025-06-16","publicationTypes":"Journal Article","fieldsOfStudy":null,"isOpenAccess":false,"openAccessPdf":"https://www.ncbi.nlm.nih.gov/pmc/articles/PMC12170489/pdf/","citationCount":"0","resultStr":"{\"title\":\"Efficacy of a theoretical-practical course for the ultrasound measurement of the optic nerve diameter in different healthcare operators.\",\"authors\":\"Eugenio Garofalo, Giuseppe Neri, Vincenzo Bosco, Zaninni Caroleo, Fabiola Virdò, Helenia Mastrangelo, Giusy Guzzi, Gianmaria Cammarota, Chiara Robba, Federico Longhini, Andrea Bruni\",\"doi\":\"10.1186/s13089-025-00431-7\",\"DOIUrl\":null,\"url\":null,\"abstract\":\"<p><strong>Background: </strong>The measurement of the optic nerve sheath diameter (ONSD) via ultrasound is a non-invasive technique to estimate intracranial pressure. Brief training has been shown to be effective in accurately teaching the ONSD technique in specialized healthcare providers. This study evaluates the ability of medical and nursing students, Intensive Care Unit (ICU) nurses, and ICU residents to perform ONSD measurements after a brief training.</p><p><strong>Methods: </strong>Forty participants underwent a 4-h training session consisting of 30 min of lecture focusing on the key principles of the technique for ONSD measurement, followed by at least 20 measurements with an expert tutor. Thereafter, all participants assessed 5 ONSD measurements on healthy volunteers and their assessments were compared to those by the expert tutor.</p><p><strong>Results: </strong>All participants successfully visualized the optic nerve and recorded similar values among groups (p > 0.05 for all comparisons). ICU nurse residents and medical students demonstrated a good accuracyof measurements, as defined by an upper and lower limits of agreement with the expert tutor not exceeding 0.5 mm in the Bland-Altman analysis. On the opposite, nurse students had the highest error rates and poor accuracy in ONSD assessment.</p><p><strong>Conclusions: </strong>These findings highlight the feasibility of training medical students, ICU nurses and residents in ONSD measurement, opening the possibility of a wider application of this technique. After dedicated training, ONSD assessment and monitoring could be performed not only by specialists but also by other healthcare providers, including specialized nurses. This may serve as an additional tool for the rapid triage of patients, even in out-of-hospital settings.</p>\",\"PeriodicalId\":36911,\"journal\":{\"name\":\"Ultrasound Journal\",\"volume\":\"17 1\",\"pages\":\"28\"},\"PeriodicalIF\":2.9000,\"publicationDate\":\"2025-06-16\",\"publicationTypes\":\"Journal Article\",\"fieldsOfStudy\":null,\"isOpenAccess\":false,\"openAccessPdf\":\"https://www.ncbi.nlm.nih.gov/pmc/articles/PMC12170489/pdf/\",\"citationCount\":\"0\",\"resultStr\":null,\"platform\":\"Semanticscholar\",\"paperid\":null,\"PeriodicalName\":\"Ultrasound Journal\",\"FirstCategoryId\":\"1085\",\"ListUrlMain\":\"https://doi.org/10.1186/s13089-025-00431-7\",\"RegionNum\":0,\"RegionCategory\":null,\"ArticlePicture\":[],\"TitleCN\":null,\"AbstractTextCN\":null,\"PMCID\":null,\"EPubDate\":\"\",\"PubModel\":\"\",\"JCR\":\"Q2\",\"JCRName\":\"Medicine\",\"Score\":null,\"Total\":0}","platform":"Semanticscholar","paperid":null,"PeriodicalName":"Ultrasound Journal","FirstCategoryId":"1085","ListUrlMain":"https://doi.org/10.1186/s13089-025-00431-7","RegionNum":0,"RegionCategory":null,"ArticlePicture":[],"TitleCN":null,"AbstractTextCN":null,"PMCID":null,"EPubDate":"","PubModel":"","JCR":"Q2","JCRName":"Medicine","Score":null,"Total":0}
引用次数: 0

摘要

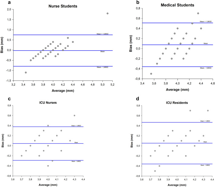
背景:超声测量视神经鞘直径(ONSD)是一种评估颅内压的无创技术。简短的培训已被证明在专业医疗保健提供者中准确地教授ONSD技术是有效的。本研究评估了医护学生、重症监护病房(ICU)护士和ICU住院医师经过简短培训后进行ONSD测量的能力。方法:40名参与者接受了4小时的培训,其中包括30分钟的讲座,重点介绍ONSD测量技术的关键原理,然后由专家导师进行至少20次测量。之后,所有参与者对健康志愿者进行了5项ONSD测量,并将其评估结果与专家导师的评估结果进行了比较。结果:所有参与者都成功地看到了视神经,各组之间记录的值相似(所有比较p > 0.05)。在Bland-Altman分析中,ICU住院护士和医学生表现出良好的测量准确性,与专家导师一致的上限和下限不超过0.5 mm。相反,护生在ONSD评估中错误率最高,准确性较差。结论:本研究结果突出了对医学生、ICU护士和住院医师进行ONSD测量培训的可行性,为该技术的广泛应用开辟了可能性。经过专门培训,ONSD评估和监测不仅可以由专家进行,还可以由其他医疗保健提供者(包括专业护士)进行。这可以作为对病人进行快速分类的额外工具,即使在院外环境中也是如此。
本文章由计算机程序翻译,如有差异,请以英文原文为准。

Efficacy of a theoretical-practical course for the ultrasound measurement of the optic nerve diameter in different healthcare operators.

Efficacy of a theoretical-practical course for the ultrasound measurement of the optic nerve diameter in different healthcare operators.

Background: The measurement of the optic nerve sheath diameter (ONSD) via ultrasound is a non-invasive technique to estimate intracranial pressure. Brief training has been shown to be effective in accurately teaching the ONSD technique in specialized healthcare providers. This study evaluates the ability of medical and nursing students, Intensive Care Unit (ICU) nurses, and ICU residents to perform ONSD measurements after a brief training.

Methods: Forty participants underwent a 4-h training session consisting of 30 min of lecture focusing on the key principles of the technique for ONSD measurement, followed by at least 20 measurements with an expert tutor. Thereafter, all participants assessed 5 ONSD measurements on healthy volunteers and their assessments were compared to those by the expert tutor.

Results: All participants successfully visualized the optic nerve and recorded similar values among groups (p > 0.05 for all comparisons). ICU nurse residents and medical students demonstrated a good accuracyof measurements, as defined by an upper and lower limits of agreement with the expert tutor not exceeding 0.5 mm in the Bland-Altman analysis. On the opposite, nurse students had the highest error rates and poor accuracy in ONSD assessment.

Conclusions: These findings highlight the feasibility of training medical students, ICU nurses and residents in ONSD measurement, opening the possibility of a wider application of this technique. After dedicated training, ONSD assessment and monitoring could be performed not only by specialists but also by other healthcare providers, including specialized nurses. This may serve as an additional tool for the rapid triage of patients, even in out-of-hospital settings.

求助全文
通过发布文献求助,成功后即可免费获取论文全文。 去求助
来源期刊
Ultrasound Journal
Ultrasound Journal Health Professions-Radiological and Ultrasound Technology
CiteScore
6.80
自引率
2.90%
发文量
45
审稿时长
22 weeks
×
引用
GB/T 7714-2015
复制
MLA
复制
APA
复制
导出至
BibTeX EndNote RefMan NoteFirst NoteExpress
×
提示
您的信息不完整,为了账户安全,请先补充。
现在去补充
×
提示
您因"违规操作"
具体请查看互助需知
我知道了
×
提示
确定
请完成安全验证×
copy
已复制链接
快去分享给好友吧!
我知道了
右上角分享
点击右上角分享
0
联系我们:info@booksci.cn Book学术提供免费学术资源搜索服务,方便国内外学者检索中英文文献。致力于提供最便捷和优质的服务体验。 Copyright © 2023 布克学术 All rights reserved.
京ICP备2023020795号-1
ghs 京公网安备 11010802042870号
Book学术文献互助
Book学术文献互助群
群 号:604180095
Book学术官方微信