在接受放射治疗的脑转移患者中,高血糖与生存率低相关。

IF 2.5 3区 医学 Q3 ONCOLOGY
Strahlentherapie und Onkologie Pub Date : 2025-09-01 Epub Date: 2025-06-16 DOI:10.1007/s00066-025-02414-y
Soniya Poudyal, Friederike Rothe, Seong Jeong, Nils Gleim, Peter Hambsch, Franziska Nägler, Kirsten Papsdorf, Thomas Kuhnt, Alonso Barrantes-Freer, Erdem Güresir, Sabine Klagges, Nils Henrik Nicolay, Clemens Seidel
{"title":"在接受放射治疗的脑转移患者中,高血糖与生存率低相关。","authors":"Soniya Poudyal, Friederike Rothe, Seong Jeong, Nils Gleim, Peter Hambsch, Franziska Nägler, Kirsten Papsdorf, Thomas Kuhnt, Alonso Barrantes-Freer, Erdem Güresir, Sabine Klagges, Nils Henrik Nicolay, Clemens Seidel","doi":"10.1007/s00066-025-02414-y","DOIUrl":null,"url":null,"abstract":"<p><strong>Purpose: </strong>Diabetes mellitus (DM) is a negative prognostic factor in patients with brain metastases (BM). It is unknown whether a direct impact of serum glucose levels on survival exists. We aimed to detect a potential association of serum glucose levels before and during radiotherapy with survival in patients with BM.</p><p><strong>Methods: </strong>Patients were included in this retrospective exploratory analysis if at least three fasting and non-fasting serum glucose test results before or during treatment were available. Survival was analyzed with uni- and multivariate Cox regression concerning an association with fasting and maximum glucose levels and regarding potentially confounding dexamethasone intake.</p><p><strong>Results: </strong>A total of 62 patients with BM (15 with and 47 without DM) were included. Patients with a mean fasting glucose of more than 7.8 mmol/l (upper quartile) showed significantly shorter survival compared to patients of the lower three quartiles (hazard ratio [HR] = 2.05, p = 0.021). Further, maximum blood glucose levels of > 12.0 mmol/l (upper quartile) were associated with shorter survival (HR = 1.95, p = 0.035). In the subset of patients without DM, a trend toward worse survival in patients with higher fasting glucose levels was observed (HR = 2.54, p = 0.099). The negative association of high maximum glucose levels with survival persisted in multivariate analysis independently of steroid administration.</p><p><strong>Conclusion: </strong>Strong elevations of fasting and maximum serum glucose levels were associated with a worse prognosis in patients with BM with and without DM. This observation warrants further analysis in larger cohorts and has potential implications for clinical practice.</p>","PeriodicalId":21998,"journal":{"name":"Strahlentherapie und Onkologie","volume":" ","pages":"920-929"},"PeriodicalIF":2.5000,"publicationDate":"2025-09-01","publicationTypes":"Journal Article","fieldsOfStudy":null,"isOpenAccess":false,"openAccessPdf":"https://www.ncbi.nlm.nih.gov/pmc/articles/PMC12373678/pdf/","citationCount":"0","resultStr":"{\"title\":\"Hyperglycemia is associated with poor survival in patients with brain metastases treated with radiotherapy.\",\"authors\":\"Soniya Poudyal, Friederike Rothe, Seong Jeong, Nils Gleim, Peter Hambsch, Franziska Nägler, Kirsten Papsdorf, Thomas Kuhnt, Alonso Barrantes-Freer, Erdem Güresir, Sabine Klagges, Nils Henrik Nicolay, Clemens Seidel\",\"doi\":\"10.1007/s00066-025-02414-y\",\"DOIUrl\":null,\"url\":null,\"abstract\":\"<p><strong>Purpose: </strong>Diabetes mellitus (DM) is a negative prognostic factor in patients with brain metastases (BM). It is unknown whether a direct impact of serum glucose levels on survival exists. We aimed to detect a potential association of serum glucose levels before and during radiotherapy with survival in patients with BM.</p><p><strong>Methods: </strong>Patients were included in this retrospective exploratory analysis if at least three fasting and non-fasting serum glucose test results before or during treatment were available. Survival was analyzed with uni- and multivariate Cox regression concerning an association with fasting and maximum glucose levels and regarding potentially confounding dexamethasone intake.</p><p><strong>Results: </strong>A total of 62 patients with BM (15 with and 47 without DM) were included. Patients with a mean fasting glucose of more than 7.8 mmol/l (upper quartile) showed significantly shorter survival compared to patients of the lower three quartiles (hazard ratio [HR] = 2.05, p = 0.021). Further, maximum blood glucose levels of > 12.0 mmol/l (upper quartile) were associated with shorter survival (HR = 1.95, p = 0.035). In the subset of patients without DM, a trend toward worse survival in patients with higher fasting glucose levels was observed (HR = 2.54, p = 0.099). The negative association of high maximum glucose levels with survival persisted in multivariate analysis independently of steroid administration.</p><p><strong>Conclusion: </strong>Strong elevations of fasting and maximum serum glucose levels were associated with a worse prognosis in patients with BM with and without DM. This observation warrants further analysis in larger cohorts and has potential implications for clinical practice.</p>\",\"PeriodicalId\":21998,\"journal\":{\"name\":\"Strahlentherapie und Onkologie\",\"volume\":\" \",\"pages\":\"920-929\"},\"PeriodicalIF\":2.5000,\"publicationDate\":\"2025-09-01\",\"publicationTypes\":\"Journal Article\",\"fieldsOfStudy\":null,\"isOpenAccess\":false,\"openAccessPdf\":\"https://www.ncbi.nlm.nih.gov/pmc/articles/PMC12373678/pdf/\",\"citationCount\":\"0\",\"resultStr\":null,\"platform\":\"Semanticscholar\",\"paperid\":null,\"PeriodicalName\":\"Strahlentherapie und Onkologie\",\"FirstCategoryId\":\"3\",\"ListUrlMain\":\"https://doi.org/10.1007/s00066-025-02414-y\",\"RegionNum\":3,\"RegionCategory\":\"医学\",\"ArticlePicture\":[],\"TitleCN\":null,\"AbstractTextCN\":null,\"PMCID\":null,\"EPubDate\":\"2025/6/16 0:00:00\",\"PubModel\":\"Epub\",\"JCR\":\"Q3\",\"JCRName\":\"ONCOLOGY\",\"Score\":null,\"Total\":0}","platform":"Semanticscholar","paperid":null,"PeriodicalName":"Strahlentherapie und Onkologie","FirstCategoryId":"3","ListUrlMain":"https://doi.org/10.1007/s00066-025-02414-y","RegionNum":3,"RegionCategory":"医学","ArticlePicture":[],"TitleCN":null,"AbstractTextCN":null,"PMCID":null,"EPubDate":"2025/6/16 0:00:00","PubModel":"Epub","JCR":"Q3","JCRName":"ONCOLOGY","Score":null,"Total":0}
引用次数: 0

摘要

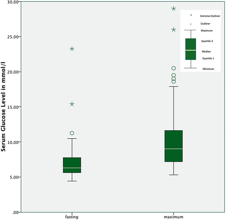
目的:糖尿病(DM)是脑转移(BM)患者预后不良的因素。目前尚不清楚血清葡萄糖水平是否直接影响生存。我们的目的是检测放疗前和放疗期间血清葡萄糖水平与BM患者生存的潜在关联。方法:如果患者在治疗前或治疗期间至少有三个空腹和非空腹血糖测试结果,则纳入本回顾性探索性分析。生存率分析采用单因素和多因素Cox回归分析,考虑与空腹和最高血糖水平的关系,以及可能混淆地塞米松摄入的因素。结果:共纳入BM患者62例(合并DM 15例,无DM 47例)。平均空腹血糖高于7.8 mmol/l(上四分位数)的患者的生存期明显短于下四分位数的患者(风险比[HR] = 2.05,p = 0.021)。此外,最大血糖水平> 12.0 mmol/l(上四分位数)与较短的生存相关(HR = 1.95,p = 0.035)。在没有糖尿病的患者亚组中,观察到空腹血糖水平较高的患者有更差的生存趋势(HR = 2.54,p = 0.099)。在独立于类固醇给药的多变量分析中,高最大血糖水平与生存持续存在负相关。结论:伴有或不伴有糖尿病的BM患者,空腹和最高血糖水平的显著升高与较差的预后相关。这一观察结果值得在更大的队列中进一步分析,并对临床实践具有潜在的意义。
本文章由计算机程序翻译,如有差异,请以英文原文为准。

Hyperglycemia is associated with poor survival in patients with brain metastases treated with radiotherapy.

Hyperglycemia is associated with poor survival in patients with brain metastases treated with radiotherapy.

Hyperglycemia is associated with poor survival in patients with brain metastases treated with radiotherapy.

Hyperglycemia is associated with poor survival in patients with brain metastases treated with radiotherapy.

Purpose: Diabetes mellitus (DM) is a negative prognostic factor in patients with brain metastases (BM). It is unknown whether a direct impact of serum glucose levels on survival exists. We aimed to detect a potential association of serum glucose levels before and during radiotherapy with survival in patients with BM.

Methods: Patients were included in this retrospective exploratory analysis if at least three fasting and non-fasting serum glucose test results before or during treatment were available. Survival was analyzed with uni- and multivariate Cox regression concerning an association with fasting and maximum glucose levels and regarding potentially confounding dexamethasone intake.

Results: A total of 62 patients with BM (15 with and 47 without DM) were included. Patients with a mean fasting glucose of more than 7.8 mmol/l (upper quartile) showed significantly shorter survival compared to patients of the lower three quartiles (hazard ratio [HR] = 2.05, p = 0.021). Further, maximum blood glucose levels of > 12.0 mmol/l (upper quartile) were associated with shorter survival (HR = 1.95, p = 0.035). In the subset of patients without DM, a trend toward worse survival in patients with higher fasting glucose levels was observed (HR = 2.54, p = 0.099). The negative association of high maximum glucose levels with survival persisted in multivariate analysis independently of steroid administration.

Conclusion: Strong elevations of fasting and maximum serum glucose levels were associated with a worse prognosis in patients with BM with and without DM. This observation warrants further analysis in larger cohorts and has potential implications for clinical practice.

求助全文
通过发布文献求助,成功后即可免费获取论文全文。 去求助
来源期刊
CiteScore
5.70
自引率
12.90%
发文量
141
审稿时长
3-8 weeks
期刊介绍: Strahlentherapie und Onkologie, published monthly, is a scientific journal that covers all aspects of oncology with focus on radiooncology, radiation biology and radiation physics. The articles are not only of interest to radiooncologists but to all physicians interested in oncology, to radiation biologists and radiation physicists. The journal publishes original articles, review articles and case studies that are peer-reviewed. It includes scientific short communications as well as a literature review with annotated articles that inform the reader on new developments in the various disciplines concerned and hence allow for a sound overview on the latest results in radiooncology research. Founded in 1912, Strahlentherapie und Onkologie is the oldest oncological journal in the world. Today, contributions are published in English and German. All articles have English summaries and legends. The journal is the official publication of several scientific radiooncological societies and publishes the relevant communications of these societies.
×
引用
GB/T 7714-2015
复制
MLA
复制
APA
复制
导出至
BibTeX EndNote RefMan NoteFirst NoteExpress
×
提示
您的信息不完整,为了账户安全,请先补充。
现在去补充
×
提示
您因"违规操作"
具体请查看互助需知
我知道了
×
提示
确定
请完成安全验证×
copy
已复制链接
快去分享给好友吧!
我知道了
右上角分享
点击右上角分享
0
联系我们:info@booksci.cn Book学术提供免费学术资源搜索服务,方便国内外学者检索中英文文献。致力于提供最便捷和优质的服务体验。 Copyright © 2023 布克学术 All rights reserved.
京ICP备2023020795号-1
ghs 京公网安备 11010802042870号
Book学术文献互助
Book学术文献互助群
群 号:604180095
Book学术官方微信