老年人社会经济地位与抑郁的关系:认知功能和睡眠质量的作用。

IF 3.2 3区 心理学 Q2 PSYCHOLOGY, CLINICAL
Psychology Research and Behavior Management Pub Date : 2025-06-09 eCollection Date: 2025-01-01 DOI:10.2147/PRBM.S504312
Yilin Zheng, Yu Zhang, Mingzhu Ye, Zhiwang Qian, Guohua Zheng
{"title":"老年人社会经济地位与抑郁的关系:认知功能和睡眠质量的作用。","authors":"Yilin Zheng, Yu Zhang, Mingzhu Ye, Zhiwang Qian, Guohua Zheng","doi":"10.2147/PRBM.S504312","DOIUrl":null,"url":null,"abstract":"<p><strong>Background: </strong>Socioeconomic status (SES) is an important social factor associated with a wide range of health outcomes, but this relationship could be influenced by individual's intrinsic factors. The aim of this study was to examine the relationship between SES and depressive symptoms, the mediating role of cognitive function, and the moderating role of sleep quality in community-dwelling older adults.</p><p><strong>Methods: </strong>A total of 1000 community-dwelling older adults were recruited for the cross-sectional study. Socioeconomic factors, cognitive function, sleep quality, and related covariates were investigated or assessed. Mediating and moderating effects were analyzed using R 4.2.2 and SPSS 25.0 software.</p><p><strong>Results: </strong>The results showed that SES was negatively associated with depressive symptoms (β=-0.234, p<0.001) and positively associated with cognitive function (β=0.566, p<0.001) after controlling for covariates; cognitive function played a partial mediating role between SES and depressive symptoms, and the indirect effect was β=-0.09 (95% CI: -0.129~ -0.06, p<0.001), accounting for 38.5% of the total effect; and sleep quality positively moderated the mediating effect of cognitive function on relationship between SES and depressive symptoms (β<sub>sleep ×cognition</sub> =-0.015, p<0.05).</p><p><strong>Conclusion: </strong>Depressive symptoms in community-dwelling older adults are affected by their SES and cognitive function. Improving individual cognitive ability and sleep quality can effectively reduce depression in community-dwelling older adults with low SES.</p>","PeriodicalId":20954,"journal":{"name":"Psychology Research and Behavior Management","volume":"18 ","pages":"1295-1306"},"PeriodicalIF":3.2000,"publicationDate":"2025-06-09","publicationTypes":"Journal Article","fieldsOfStudy":null,"isOpenAccess":false,"openAccessPdf":"https://www.ncbi.nlm.nih.gov/pmc/articles/PMC12165288/pdf/","citationCount":"0","resultStr":"{\"title\":\"Relationship Between Socioeconomic Status and Depression in Older Adults: The Roles of Cognitive Function and Sleep Quality.\",\"authors\":\"Yilin Zheng, Yu Zhang, Mingzhu Ye, Zhiwang Qian, Guohua Zheng\",\"doi\":\"10.2147/PRBM.S504312\",\"DOIUrl\":null,\"url\":null,\"abstract\":\"<p><strong>Background: </strong>Socioeconomic status (SES) is an important social factor associated with a wide range of health outcomes, but this relationship could be influenced by individual's intrinsic factors. The aim of this study was to examine the relationship between SES and depressive symptoms, the mediating role of cognitive function, and the moderating role of sleep quality in community-dwelling older adults.</p><p><strong>Methods: </strong>A total of 1000 community-dwelling older adults were recruited for the cross-sectional study. Socioeconomic factors, cognitive function, sleep quality, and related covariates were investigated or assessed. Mediating and moderating effects were analyzed using R 4.2.2 and SPSS 25.0 software.</p><p><strong>Results: </strong>The results showed that SES was negatively associated with depressive symptoms (β=-0.234, p<0.001) and positively associated with cognitive function (β=0.566, p<0.001) after controlling for covariates; cognitive function played a partial mediating role between SES and depressive symptoms, and the indirect effect was β=-0.09 (95% CI: -0.129~ -0.06, p<0.001), accounting for 38.5% of the total effect; and sleep quality positively moderated the mediating effect of cognitive function on relationship between SES and depressive symptoms (β<sub>sleep ×cognition</sub> =-0.015, p<0.05).</p><p><strong>Conclusion: </strong>Depressive symptoms in community-dwelling older adults are affected by their SES and cognitive function. Improving individual cognitive ability and sleep quality can effectively reduce depression in community-dwelling older adults with low SES.</p>\",\"PeriodicalId\":20954,\"journal\":{\"name\":\"Psychology Research and Behavior Management\",\"volume\":\"18 \",\"pages\":\"1295-1306\"},\"PeriodicalIF\":3.2000,\"publicationDate\":\"2025-06-09\",\"publicationTypes\":\"Journal Article\",\"fieldsOfStudy\":null,\"isOpenAccess\":false,\"openAccessPdf\":\"https://www.ncbi.nlm.nih.gov/pmc/articles/PMC12165288/pdf/\",\"citationCount\":\"0\",\"resultStr\":null,\"platform\":\"Semanticscholar\",\"paperid\":null,\"PeriodicalName\":\"Psychology Research and Behavior Management\",\"FirstCategoryId\":\"102\",\"ListUrlMain\":\"https://doi.org/10.2147/PRBM.S504312\",\"RegionNum\":3,\"RegionCategory\":\"心理学\",\"ArticlePicture\":[],\"TitleCN\":null,\"AbstractTextCN\":null,\"PMCID\":null,\"EPubDate\":\"2025/1/1 0:00:00\",\"PubModel\":\"eCollection\",\"JCR\":\"Q2\",\"JCRName\":\"PSYCHOLOGY, CLINICAL\",\"Score\":null,\"Total\":0}","platform":"Semanticscholar","paperid":null,"PeriodicalName":"Psychology Research and Behavior Management","FirstCategoryId":"102","ListUrlMain":"https://doi.org/10.2147/PRBM.S504312","RegionNum":3,"RegionCategory":"心理学","ArticlePicture":[],"TitleCN":null,"AbstractTextCN":null,"PMCID":null,"EPubDate":"2025/1/1 0:00:00","PubModel":"eCollection","JCR":"Q2","JCRName":"PSYCHOLOGY, CLINICAL","Score":null,"Total":0}
引用次数: 0

摘要

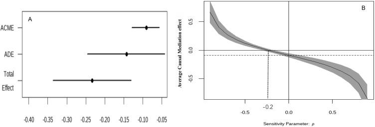
背景:社会经济地位(SES)是与广泛的健康结果相关的重要社会因素,但这种关系可能受到个人内在因素的影响。本研究旨在探讨社会经济地位与社区居住老年人抑郁症状的关系、认知功能的中介作用以及睡眠质量的调节作用。方法:共招募了1000名社区居住的老年人进行横断面研究。调查或评估社会经济因素、认知功能、睡眠质量和相关协变量。采用r4.2.2和SPSS 25.0软件分析中介和调节效应。结果:社会经济地位与抑郁症状呈负相关(β=-0.234, psleep ×cognition =-0.015, p)。结论:社会经济地位和认知功能对社区老年人抑郁症状有影响。改善个体认知能力和睡眠质量可有效减少社会经济地位低的社区老年人抑郁。
本文章由计算机程序翻译,如有差异,请以英文原文为准。

Relationship Between Socioeconomic Status and Depression in Older Adults: The Roles of Cognitive Function and Sleep Quality.

Relationship Between Socioeconomic Status and Depression in Older Adults: The Roles of Cognitive Function and Sleep Quality.

Relationship Between Socioeconomic Status and Depression in Older Adults: The Roles of Cognitive Function and Sleep Quality.

Relationship Between Socioeconomic Status and Depression in Older Adults: The Roles of Cognitive Function and Sleep Quality.

Background: Socioeconomic status (SES) is an important social factor associated with a wide range of health outcomes, but this relationship could be influenced by individual's intrinsic factors. The aim of this study was to examine the relationship between SES and depressive symptoms, the mediating role of cognitive function, and the moderating role of sleep quality in community-dwelling older adults.

Methods: A total of 1000 community-dwelling older adults were recruited for the cross-sectional study. Socioeconomic factors, cognitive function, sleep quality, and related covariates were investigated or assessed. Mediating and moderating effects were analyzed using R 4.2.2 and SPSS 25.0 software.

Results: The results showed that SES was negatively associated with depressive symptoms (β=-0.234, p<0.001) and positively associated with cognitive function (β=0.566, p<0.001) after controlling for covariates; cognitive function played a partial mediating role between SES and depressive symptoms, and the indirect effect was β=-0.09 (95% CI: -0.129~ -0.06, p<0.001), accounting for 38.5% of the total effect; and sleep quality positively moderated the mediating effect of cognitive function on relationship between SES and depressive symptoms (βsleep ×cognition =-0.015, p<0.05).

Conclusion: Depressive symptoms in community-dwelling older adults are affected by their SES and cognitive function. Improving individual cognitive ability and sleep quality can effectively reduce depression in community-dwelling older adults with low SES.

求助全文
通过发布文献求助,成功后即可免费获取论文全文。 去求助
来源期刊
CiteScore
4.50
自引率
4.70%
发文量
341
审稿时长
16 weeks
期刊介绍: Psychology Research and Behavior Management is an international, peer-reviewed, open access journal focusing on the science of psychology and its application in behavior management to develop improved outcomes in the clinical, educational, sports and business arenas. Specific topics covered in the journal include: -Neuroscience, memory and decision making -Behavior modification and management -Clinical applications -Business and sports performance management -Social and developmental studies -Animal studies The journal welcomes submitted papers covering original research, clinical studies, surveys, reviews and evaluations, guidelines, expert opinion and commentary, case reports and extended reports.
×
引用
GB/T 7714-2015
复制
MLA
复制
APA
复制
导出至
BibTeX EndNote RefMan NoteFirst NoteExpress
×
提示
您的信息不完整,为了账户安全,请先补充。
现在去补充
×
提示
您因"违规操作"
具体请查看互助需知
我知道了
×
提示
确定
请完成安全验证×
copy
已复制链接
快去分享给好友吧!
我知道了
右上角分享
点击右上角分享
0
联系我们:info@booksci.cn Book学术提供免费学术资源搜索服务,方便国内外学者检索中英文文献。致力于提供最便捷和优质的服务体验。 Copyright © 2023 布克学术 All rights reserved.
京ICP备2023020795号-1
ghs 京公网安备 11010802042870号
Book学术文献互助
Book学术文献互助群
群 号:604180095
Book学术官方微信