探索减少钠摄入量的烹饪方法:调味剂和加盐时间对煮鸡的影响。

IF 3.1 Q2 FOOD SCIENCE & TECHNOLOGY
International Journal of Food Science Pub Date : 2025-06-06 eCollection Date: 2025-01-01 DOI:10.1155/ijfo/3703692
Raphael Monod, Thierry Thomas-Danguin, Henriette L de Kock
{"title":"探索减少钠摄入量的烹饪方法:调味剂和加盐时间对煮鸡的影响。","authors":"Raphael Monod, Thierry Thomas-Danguin, Henriette L de Kock","doi":"10.1155/ijfo/3703692","DOIUrl":null,"url":null,"abstract":"<p><p>The overconsumption of salt is a social concern and has consequences for human health. Discretionary salt contributes to salt intake but has received very little attention thus far, and recommendations do not precisely targeted discretionary salt. This study investigated how different culinary practices affect the saltiness of chickens. Chicken breasts were boiled in a standard homestyle bouillon (broth). Table salt was added to the broth or on the plate after cooking. Two salt concentrations, regular (6.5 mmol of Na<sup>+</sup> per 100 g of cooked chicken) and low (4.1 mmol of Na<sup>+</sup> per 100 g of cooked chicken), were compared. Additionally, we applied the following flavor treatments: rosemary, smoked bacon, and smoked garlic. The saltiness, sweetness, sourness, bitterness, and overall aroma of the warm chicken samples were evaluated by 158 untrained consumers. Saltiness adequacy was measured on a just-about-right (JAR) scale. Based on the results, no significant differences in saltiness intensity were observed between the two salting practices (<i>p</i> > 0.2). Regarding the flavor additions, a significant odor-induced increase in saltiness was observed when smoked bacon flavoring was combined with salting on the plate (<i>p</i> = 0.02). The JAR results indicated that adding smoked garlic flavoring to the broth allows a 33% reduction in salt content without compromising taste, suggesting that smoked garlic has a strong odor-induced saltiness enhancement effect and may be a viable option for salt reduction strategies. This study provides a basis for improving discretionary salt use practices that can be easily adopted by consumers, potentially aiding in reducing salt intake from chicken dishes without compromising flavor, and offering insights that may apply to other meat types.</p>","PeriodicalId":14125,"journal":{"name":"International Journal of Food Science","volume":"2025 ","pages":"3703692"},"PeriodicalIF":3.1000,"publicationDate":"2025-06-06","publicationTypes":"Journal Article","fieldsOfStudy":null,"isOpenAccess":false,"openAccessPdf":"https://www.ncbi.nlm.nih.gov/pmc/articles/PMC12165749/pdf/","citationCount":"0","resultStr":"{\"title\":\"Exploring Culinary Methods to Reduce Sodium Intake: The Impact of Flavorings and Salt Addition Timing in Boiled Chicken.\",\"authors\":\"Raphael Monod, Thierry Thomas-Danguin, Henriette L de Kock\",\"doi\":\"10.1155/ijfo/3703692\",\"DOIUrl\":null,\"url\":null,\"abstract\":\"<p><p>The overconsumption of salt is a social concern and has consequences for human health. Discretionary salt contributes to salt intake but has received very little attention thus far, and recommendations do not precisely targeted discretionary salt. This study investigated how different culinary practices affect the saltiness of chickens. Chicken breasts were boiled in a standard homestyle bouillon (broth). Table salt was added to the broth or on the plate after cooking. Two salt concentrations, regular (6.5 mmol of Na<sup>+</sup> per 100 g of cooked chicken) and low (4.1 mmol of Na<sup>+</sup> per 100 g of cooked chicken), were compared. Additionally, we applied the following flavor treatments: rosemary, smoked bacon, and smoked garlic. The saltiness, sweetness, sourness, bitterness, and overall aroma of the warm chicken samples were evaluated by 158 untrained consumers. Saltiness adequacy was measured on a just-about-right (JAR) scale. Based on the results, no significant differences in saltiness intensity were observed between the two salting practices (<i>p</i> > 0.2). Regarding the flavor additions, a significant odor-induced increase in saltiness was observed when smoked bacon flavoring was combined with salting on the plate (<i>p</i> = 0.02). The JAR results indicated that adding smoked garlic flavoring to the broth allows a 33% reduction in salt content without compromising taste, suggesting that smoked garlic has a strong odor-induced saltiness enhancement effect and may be a viable option for salt reduction strategies. This study provides a basis for improving discretionary salt use practices that can be easily adopted by consumers, potentially aiding in reducing salt intake from chicken dishes without compromising flavor, and offering insights that may apply to other meat types.</p>\",\"PeriodicalId\":14125,\"journal\":{\"name\":\"International Journal of Food Science\",\"volume\":\"2025 \",\"pages\":\"3703692\"},\"PeriodicalIF\":3.1000,\"publicationDate\":\"2025-06-06\",\"publicationTypes\":\"Journal Article\",\"fieldsOfStudy\":null,\"isOpenAccess\":false,\"openAccessPdf\":\"https://www.ncbi.nlm.nih.gov/pmc/articles/PMC12165749/pdf/\",\"citationCount\":\"0\",\"resultStr\":null,\"platform\":\"Semanticscholar\",\"paperid\":null,\"PeriodicalName\":\"International Journal of Food Science\",\"FirstCategoryId\":\"1085\",\"ListUrlMain\":\"https://doi.org/10.1155/ijfo/3703692\",\"RegionNum\":0,\"RegionCategory\":null,\"ArticlePicture\":[],\"TitleCN\":null,\"AbstractTextCN\":null,\"PMCID\":null,\"EPubDate\":\"2025/1/1 0:00:00\",\"PubModel\":\"eCollection\",\"JCR\":\"Q2\",\"JCRName\":\"FOOD SCIENCE & TECHNOLOGY\",\"Score\":null,\"Total\":0}","platform":"Semanticscholar","paperid":null,"PeriodicalName":"International Journal of Food Science","FirstCategoryId":"1085","ListUrlMain":"https://doi.org/10.1155/ijfo/3703692","RegionNum":0,"RegionCategory":null,"ArticlePicture":[],"TitleCN":null,"AbstractTextCN":null,"PMCID":null,"EPubDate":"2025/1/1 0:00:00","PubModel":"eCollection","JCR":"Q2","JCRName":"FOOD SCIENCE & TECHNOLOGY","Score":null,"Total":0}
引用次数: 0

摘要

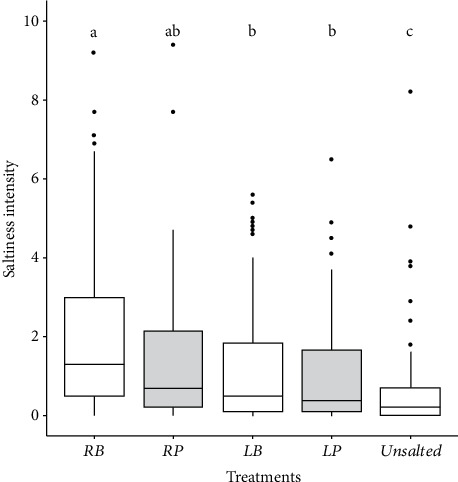
盐的过度消费是一个社会问题,并对人类健康产生影响。任意盐对盐的摄入量有影响,但迄今为止受到的关注很少,建议也没有精确地针对任意盐。本研究调查了不同的烹饪方法如何影响鸡肉的咸度。鸡胸肉是用标准的家常汤煮的。烹调后在肉汤里或盘子里加入食盐。比较了两种盐浓度,常规盐浓度(每100克煮熟的鸡肉含有6.5 mmol Na+)和低盐浓度(每100克煮熟的鸡肉含有4.1 mmol Na+)。此外,我们应用了以下风味处理:迷迭香,熏培根和熏大蒜。158名未经培训的消费者对温热鸡肉样品的咸、甜、酸、苦和整体香气进行了评估。盐的充分性是用刚刚好(JAR)量表来衡量的。根据结果,两种腌制方法在盐的强度上没有显著差异(p > 0.2)。在风味添加方面,当烟熏培根调味料与盐混合在盘子上时,观察到显著的气味引起的咸味增加(p = 0.02)。JAR的结果表明,在肉汤中加入烟熏大蒜调味料可以在不影响味道的情况下减少33%的盐含量,这表明烟熏大蒜具有强烈的气味诱导的咸味增强效果,可能是减少盐的可行选择策略。这项研究为改善消费者可以轻松采用的随意使用盐的做法提供了基础,可能有助于在不影响风味的情况下减少鸡肉菜肴的盐摄入量,并提供可能适用于其他肉类类型的见解。
本文章由计算机程序翻译,如有差异,请以英文原文为准。

Exploring Culinary Methods to Reduce Sodium Intake: The Impact of Flavorings and Salt Addition Timing in Boiled Chicken.

Exploring Culinary Methods to Reduce Sodium Intake: The Impact of Flavorings and Salt Addition Timing in Boiled Chicken.

Exploring Culinary Methods to Reduce Sodium Intake: The Impact of Flavorings and Salt Addition Timing in Boiled Chicken.

Exploring Culinary Methods to Reduce Sodium Intake: The Impact of Flavorings and Salt Addition Timing in Boiled Chicken.

The overconsumption of salt is a social concern and has consequences for human health. Discretionary salt contributes to salt intake but has received very little attention thus far, and recommendations do not precisely targeted discretionary salt. This study investigated how different culinary practices affect the saltiness of chickens. Chicken breasts were boiled in a standard homestyle bouillon (broth). Table salt was added to the broth or on the plate after cooking. Two salt concentrations, regular (6.5 mmol of Na+ per 100 g of cooked chicken) and low (4.1 mmol of Na+ per 100 g of cooked chicken), were compared. Additionally, we applied the following flavor treatments: rosemary, smoked bacon, and smoked garlic. The saltiness, sweetness, sourness, bitterness, and overall aroma of the warm chicken samples were evaluated by 158 untrained consumers. Saltiness adequacy was measured on a just-about-right (JAR) scale. Based on the results, no significant differences in saltiness intensity were observed between the two salting practices (p > 0.2). Regarding the flavor additions, a significant odor-induced increase in saltiness was observed when smoked bacon flavoring was combined with salting on the plate (p = 0.02). The JAR results indicated that adding smoked garlic flavoring to the broth allows a 33% reduction in salt content without compromising taste, suggesting that smoked garlic has a strong odor-induced saltiness enhancement effect and may be a viable option for salt reduction strategies. This study provides a basis for improving discretionary salt use practices that can be easily adopted by consumers, potentially aiding in reducing salt intake from chicken dishes without compromising flavor, and offering insights that may apply to other meat types.

求助全文
通过发布文献求助,成功后即可免费获取论文全文。 去求助
来源期刊
International Journal of Food Science
International Journal of Food Science Agricultural and Biological Sciences-Food Science
CiteScore
6.20
自引率
2.50%
发文量
105
审稿时长
11 weeks
期刊介绍: International Journal of Food Science is a peer-reviewed, Open Access journal that publishes research and review articles in all areas of food science. As a multidisciplinary journal, articles discussing all aspects of food science will be considered, including, but not limited to: enhancing shelf life, food deterioration, food engineering, food handling, food processing, food quality, food safety, microbiology, and nutritional research. The journal aims to provide a valuable resource for food scientists, food producers, food retailers, nutritionists, the public health sector, and relevant governmental and non-governmental agencies.
×
引用
GB/T 7714-2015
复制
MLA
复制
APA
复制
导出至
BibTeX EndNote RefMan NoteFirst NoteExpress
×
提示
您的信息不完整,为了账户安全,请先补充。
现在去补充
×
提示
您因"违规操作"
具体请查看互助需知
我知道了
×
提示
确定
请完成安全验证×
copy
已复制链接
快去分享给好友吧!
我知道了
右上角分享
点击右上角分享
0
联系我们:info@booksci.cn Book学术提供免费学术资源搜索服务,方便国内外学者检索中英文文献。致力于提供最便捷和优质的服务体验。 Copyright © 2023 布克学术 All rights reserved.
京ICP备2023020795号-1
ghs 京公网安备 11010802042870号
Book学术文献互助
Book学术文献互助群
群 号:604180095
Book学术官方微信