枪支自杀前的医疗保健使用与其他方式自杀的比较——阿拉斯加、科罗拉多州和华盛顿州,2020-2022年。

IF 17.3 1区 医学 Q1 PUBLIC, ENVIRONMENTAL & OCCUPATIONAL HEALTH
Julie E Angerhofer, Maricela Cruz, Jennifer Shaw, Christine Stewart, Artie Runkle, Erika Wolter, Erika Holden, Shannon Medlock, LeeAnn Quintana, Elena Noon Kuo, Juanita Trejo, Roxanna King, Jennifer Boggs
{"title":"枪支自杀前的医疗保健使用与其他方式自杀的比较——阿拉斯加、科罗拉多州和华盛顿州,2020-2022年。","authors":"Julie E Angerhofer, Maricela Cruz, Jennifer Shaw, Christine Stewart, Artie Runkle, Erika Wolter, Erika Holden, Shannon Medlock, LeeAnn Quintana, Elena Noon Kuo, Juanita Trejo, Roxanna King, Jennifer Boggs","doi":"10.15585/mmwr.mm7421a2","DOIUrl":null,"url":null,"abstract":"<p><p>Firearms are the most common means of suicide in the United States and a leading cause of death among all persons aged 10-64 years. Most persons who die by suicide see a clinician in the year preceding their death; thus, health care encounters are important opportunities for suicide prevention. Persons who die by firearm suicide differ demographically and clinically from those who die by other suicide means, suggesting that opportunities for prevention might also differ between these groups. This report examined patterns of health care use in the year preceding suicide death to identify potential opportunities for prevention among persons who died by firearm suicide and those who died by other means of suicide. State cause-of-death records for 2020-2022 were linked to electronic health records from health systems in Alaska (Southcentral Foundation) and Colorado and Washington (both Kaiser Permanente). Quarterly past-year health care use preceding death was examined across service settings, including primary care, outpatient mental health specialty care, emergency care, and inpatient care. During 2020-2022, across the three health systems, 683 persons died by suicide. The majority of these deaths (54.6%) occurred by firearm. Patterns of past-year health care use preceding suicide were similar for persons who died by firearm and other suicide means, with the exception of mental health care, which was significantly lower in specialty and primary care settings. These findings suggest that many persons who die by firearm suicide do not access mental health care before their death. Suicide prevention practices in health care, designed to help identify and engage persons at risk in supportive care, need to reach beyond mental health encounters, particularly for firearm suicide prevention.</p>","PeriodicalId":18637,"journal":{"name":"MMWR. Morbidity and mortality weekly report","volume":"74 21","pages":"365-371"},"PeriodicalIF":17.3000,"publicationDate":"2025-06-12","publicationTypes":"Journal Article","fieldsOfStudy":null,"isOpenAccess":false,"openAccessPdf":"https://www.ncbi.nlm.nih.gov/pmc/articles/PMC12161519/pdf/","citationCount":"0","resultStr":"{\"title\":\"Health Care Use Preceding Suicide by Firearm Compared with Suicide by Other Means - Alaska, Colorado, and Washington, 2020-2022.\",\"authors\":\"Julie E Angerhofer, Maricela Cruz, Jennifer Shaw, Christine Stewart, Artie Runkle, Erika Wolter, Erika Holden, Shannon Medlock, LeeAnn Quintana, Elena Noon Kuo, Juanita Trejo, Roxanna King, Jennifer Boggs\",\"doi\":\"10.15585/mmwr.mm7421a2\",\"DOIUrl\":null,\"url\":null,\"abstract\":\"<p><p>Firearms are the most common means of suicide in the United States and a leading cause of death among all persons aged 10-64 years. Most persons who die by suicide see a clinician in the year preceding their death; thus, health care encounters are important opportunities for suicide prevention. Persons who die by firearm suicide differ demographically and clinically from those who die by other suicide means, suggesting that opportunities for prevention might also differ between these groups. This report examined patterns of health care use in the year preceding suicide death to identify potential opportunities for prevention among persons who died by firearm suicide and those who died by other means of suicide. State cause-of-death records for 2020-2022 were linked to electronic health records from health systems in Alaska (Southcentral Foundation) and Colorado and Washington (both Kaiser Permanente). Quarterly past-year health care use preceding death was examined across service settings, including primary care, outpatient mental health specialty care, emergency care, and inpatient care. During 2020-2022, across the three health systems, 683 persons died by suicide. The majority of these deaths (54.6%) occurred by firearm. Patterns of past-year health care use preceding suicide were similar for persons who died by firearm and other suicide means, with the exception of mental health care, which was significantly lower in specialty and primary care settings. These findings suggest that many persons who die by firearm suicide do not access mental health care before their death. Suicide prevention practices in health care, designed to help identify and engage persons at risk in supportive care, need to reach beyond mental health encounters, particularly for firearm suicide prevention.</p>\",\"PeriodicalId\":18637,\"journal\":{\"name\":\"MMWR. Morbidity and mortality weekly report\",\"volume\":\"74 21\",\"pages\":\"365-371\"},\"PeriodicalIF\":17.3000,\"publicationDate\":\"2025-06-12\",\"publicationTypes\":\"Journal Article\",\"fieldsOfStudy\":null,\"isOpenAccess\":false,\"openAccessPdf\":\"https://www.ncbi.nlm.nih.gov/pmc/articles/PMC12161519/pdf/\",\"citationCount\":\"0\",\"resultStr\":null,\"platform\":\"Semanticscholar\",\"paperid\":null,\"PeriodicalName\":\"MMWR. Morbidity and mortality weekly report\",\"FirstCategoryId\":\"3\",\"ListUrlMain\":\"https://doi.org/10.15585/mmwr.mm7421a2\",\"RegionNum\":1,\"RegionCategory\":\"医学\",\"ArticlePicture\":[],\"TitleCN\":null,\"AbstractTextCN\":null,\"PMCID\":null,\"EPubDate\":\"\",\"PubModel\":\"\",\"JCR\":\"Q1\",\"JCRName\":\"PUBLIC, ENVIRONMENTAL & OCCUPATIONAL HEALTH\",\"Score\":null,\"Total\":0}","platform":"Semanticscholar","paperid":null,"PeriodicalName":"MMWR. Morbidity and mortality weekly report","FirstCategoryId":"3","ListUrlMain":"https://doi.org/10.15585/mmwr.mm7421a2","RegionNum":1,"RegionCategory":"医学","ArticlePicture":[],"TitleCN":null,"AbstractTextCN":null,"PMCID":null,"EPubDate":"","PubModel":"","JCR":"Q1","JCRName":"PUBLIC, ENVIRONMENTAL & OCCUPATIONAL HEALTH","Score":null,"Total":0}
引用次数: 0

摘要

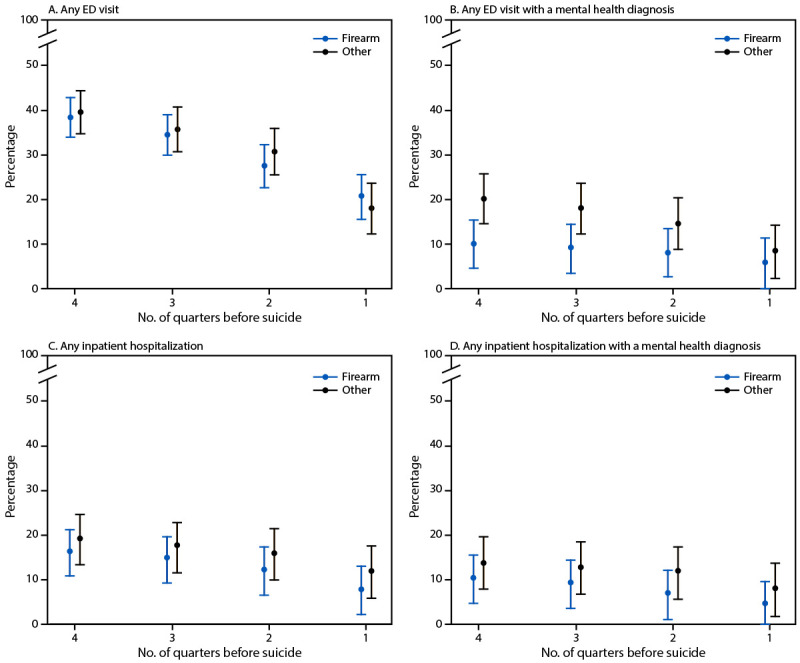
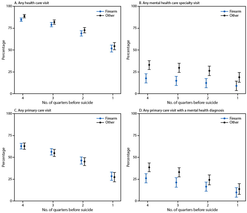
枪支是美国最常见的自杀手段,也是10-64岁人群死亡的主要原因。大多数死于自杀的人在死前一年去看过临床医生;因此,保健接触是预防自杀的重要机会。从人口统计学和临床角度来看,死于枪支自杀的人与死于其他自杀方式的人不同,这表明这些群体之间预防的机会也可能不同。本报告审查了自杀死亡前一年的保健使用模式,以确定在枪支自杀和其他自杀方式死亡的人中进行预防的潜在机会。2020-2022年的州死因记录与阿拉斯加州(中南基金会)、科罗拉多州和华盛顿州(均为凯撒医疗机构)卫生系统的电子健康记录相关联。过去一年的季度死亡前医疗保健使用情况进行了检查,包括初级保健、门诊精神卫生专业护理、急诊护理和住院护理。2020-2022年期间,三个卫生系统共有683人死于自杀。其中大多数死亡(54.6%)是由枪支造成的。死于枪支和其他自杀方式的人过去一年在自杀前使用卫生保健的模式相似,但精神卫生保健除外,在专业和初级保健机构中,这一比例要低得多。这些发现表明,许多死于枪支自杀的人在死前没有获得精神卫生保健。医疗保健中的预防自杀做法旨在帮助识别有风险的人并使其参与支持性护理,需要超越心理健康问题,特别是枪支自杀预防。
本文章由计算机程序翻译,如有差异,请以英文原文为准。

Health Care Use Preceding Suicide by Firearm Compared with Suicide by Other Means - Alaska, Colorado, and Washington, 2020-2022.

Health Care Use Preceding Suicide by Firearm Compared with Suicide by Other Means - Alaska, Colorado, and Washington, 2020-2022.

Health Care Use Preceding Suicide by Firearm Compared with Suicide by Other Means - Alaska, Colorado, and Washington, 2020-2022.

Firearms are the most common means of suicide in the United States and a leading cause of death among all persons aged 10-64 years. Most persons who die by suicide see a clinician in the year preceding their death; thus, health care encounters are important opportunities for suicide prevention. Persons who die by firearm suicide differ demographically and clinically from those who die by other suicide means, suggesting that opportunities for prevention might also differ between these groups. This report examined patterns of health care use in the year preceding suicide death to identify potential opportunities for prevention among persons who died by firearm suicide and those who died by other means of suicide. State cause-of-death records for 2020-2022 were linked to electronic health records from health systems in Alaska (Southcentral Foundation) and Colorado and Washington (both Kaiser Permanente). Quarterly past-year health care use preceding death was examined across service settings, including primary care, outpatient mental health specialty care, emergency care, and inpatient care. During 2020-2022, across the three health systems, 683 persons died by suicide. The majority of these deaths (54.6%) occurred by firearm. Patterns of past-year health care use preceding suicide were similar for persons who died by firearm and other suicide means, with the exception of mental health care, which was significantly lower in specialty and primary care settings. These findings suggest that many persons who die by firearm suicide do not access mental health care before their death. Suicide prevention practices in health care, designed to help identify and engage persons at risk in supportive care, need to reach beyond mental health encounters, particularly for firearm suicide prevention.

求助全文
通过发布文献求助,成功后即可免费获取论文全文。 去求助
来源期刊
MMWR. Morbidity and mortality weekly report
MMWR. Morbidity and mortality weekly report PUBLIC, ENVIRONMENTAL & OCCUPATIONAL HEALTH -
CiteScore
65.40
自引率
0.90%
发文量
309
期刊介绍: The Morbidity and Mortality Weekly Report (MMWR ) series is prepared by the Centers for Disease Control and Prevention (CDC). Often called “the voice of CDC,” the MMWR series is the agency’s primary vehicle for scientific publication of timely, reliable, authoritative, accurate, objective, and useful public health information and recommendations. MMWR readership predominantly consists of physicians, nurses, public health practitioners, epidemiologists and other scientists, researchers, educators, and laboratorians.
×
引用
GB/T 7714-2015
复制
MLA
复制
APA
复制
导出至
BibTeX EndNote RefMan NoteFirst NoteExpress
×
提示
您的信息不完整,为了账户安全,请先补充。
现在去补充
×
提示
您因"违规操作"
具体请查看互助需知
我知道了
×
提示
确定
请完成安全验证×
copy
已复制链接
快去分享给好友吧!
我知道了
右上角分享
点击右上角分享
0
联系我们:info@booksci.cn Book学术提供免费学术资源搜索服务,方便国内外学者检索中英文文献。致力于提供最便捷和优质的服务体验。 Copyright © 2023 布克学术 All rights reserved.
京ICP备2023020795号-1
ghs 京公网安备 11010802042870号
Book学术文献互助
Book学术文献互助群
群 号:604180095
Book学术官方微信