核波西尼联合非甾体芳香酶抑制剂和卵巢功能抑制与他莫昔芬对绝经前早期乳腺癌的间接治疗比较

IF 1.9 4区 医学 Q2 OBSTETRICS & GYNECOLOGY
Geburtshilfe Und Frauenheilkunde Pub Date : 2025-04-04 eCollection Date: 2025-06-01 DOI:10.1055/a-2561-6640
Diana Lüftner, Maggie Banys-Paluchowski, Andreas D Hartkopf, Manuel Hörner, Wolfgang Janni, Dagmar Langanke, Volkmar Müller, Andreas Schneeweiss, Marcus Schmidt, Marc Thill, Michael Untch, Achim Wöckel, Lukas Höllrich, Julia Kreuzeder, Almuth Marx, Julia Meinzinger, Hanna Regus-Leidig, Christian Roos, Hien Wohlgemuth, Stephanie Sussmann, Peter A Fasching
{"title":"核波西尼联合非甾体芳香酶抑制剂和卵巢功能抑制与他莫昔芬对绝经前早期乳腺癌的间接治疗比较","authors":"Diana Lüftner, Maggie Banys-Paluchowski, Andreas D Hartkopf, Manuel Hörner, Wolfgang Janni, Dagmar Langanke, Volkmar Müller, Andreas Schneeweiss, Marcus Schmidt, Marc Thill, Michael Untch, Achim Wöckel, Lukas Höllrich, Julia Kreuzeder, Almuth Marx, Julia Meinzinger, Hanna Regus-Leidig, Christian Roos, Hien Wohlgemuth, Stephanie Sussmann, Peter A Fasching","doi":"10.1055/a-2561-6640","DOIUrl":null,"url":null,"abstract":"<p><strong>Background: </strong>This study provides an indirect treatment comparison of ribociclib combined with non-steroidal aromatase inhibitors and ovarian function suppression (ribociclib + NSAI + OFS) vs. a frequently used treatment option in German clinical routine (tamoxifen ± OFS) in premenopausal patients with HR-positive (HR+), HER2-negative (HER2-) early breast cancer (BC).</p><p><strong>Material and methods: </strong>Data on premenopausal women treated with ribociclib and tamoxifen were derived from the NATALEE clinical trial (NCT03701334) and the retrospective German data collection CLEAR-B, respectively. NATALEE trial eligibility criteria were applied to the CLEAR-B dataset. Standardized mortality ratio weights were used for propensity score (PS) adjustment to balance study populations. All hazard ratios (HR) were calculated based on a 4-year-observation period for both treatment arms. Effectiveness endpoints comprised invasive and distant disease-free survival (iDFS, dDFS), recurrence-free survival (RFS), and overall survival (OS). Safety-related endpoints were treatment termination (TT) and toxicity-related TT (TTtox). For safety comparisons, the ribociclib arm was divided into groups that discontinued ribociclib + NSAI + OFS or ribociclib only.</p><p><strong>Results: </strong>Significant beneficial effects favoring ribociclib + NSAI + OFS (n = 1115) over tamoxifen ± OFS (n = 822) were observed for all effectiveness outcomes (iDFS [HR = 0.5 (95% CI 0.35; 0.71); p < 0.01]; dDFS [HR = 0.52 (95% CI 0.35; 0.77); p = 0.01], RFS [HR = 0.42 (95% CI 0.29; 0.62); p < 0.01], OS [HR = 0.34 (95% CI 0.18; 0.63); p = 0.01]) during the 4-year-observation period. The effect of early treatment discontinuation showed no significant differences between ribociclib + NSAI + OFS and tamoxifen ± OFS (TT-a: HR = 1.2 [95% CI: 0.71; 2.01], p = 0.48; TTtox-a: HR = 0.54 [95% CI 0.22; 1.30], p = 0.23).</p><p><strong>Conclusion: </strong>In this retrospective analysis, ribociclib + NSAI + OFS demonstrated advantages across all effectiveness endpoints, including OS, in premenopausal women with HR+, HER2- early BC, without increasing overall treatment discontinuation rates compared to tamoxifen ± OFS.</p>","PeriodicalId":12481,"journal":{"name":"Geburtshilfe Und Frauenheilkunde","volume":"85 6","pages":"599-610"},"PeriodicalIF":1.9000,"publicationDate":"2025-04-04","publicationTypes":"Journal Article","fieldsOfStudy":null,"isOpenAccess":false,"openAccessPdf":"https://www.ncbi.nlm.nih.gov/pmc/articles/PMC12158542/pdf/","citationCount":"0","resultStr":"{\"title\":\"Indirect Treatment Comparison between Ribociclib Combined with Non-Steroidal Aromatase Inhibitors and Ovarian Function Suppression vs. Tamoxifen in Premenopausal Women with Early Breast Cancer.\",\"authors\":\"Diana Lüftner, Maggie Banys-Paluchowski, Andreas D Hartkopf, Manuel Hörner, Wolfgang Janni, Dagmar Langanke, Volkmar Müller, Andreas Schneeweiss, Marcus Schmidt, Marc Thill, Michael Untch, Achim Wöckel, Lukas Höllrich, Julia Kreuzeder, Almuth Marx, Julia Meinzinger, Hanna Regus-Leidig, Christian Roos, Hien Wohlgemuth, Stephanie Sussmann, Peter A Fasching\",\"doi\":\"10.1055/a-2561-6640\",\"DOIUrl\":null,\"url\":null,\"abstract\":\"<p><strong>Background: </strong>This study provides an indirect treatment comparison of ribociclib combined with non-steroidal aromatase inhibitors and ovarian function suppression (ribociclib + NSAI + OFS) vs. a frequently used treatment option in German clinical routine (tamoxifen ± OFS) in premenopausal patients with HR-positive (HR+), HER2-negative (HER2-) early breast cancer (BC).</p><p><strong>Material and methods: </strong>Data on premenopausal women treated with ribociclib and tamoxifen were derived from the NATALEE clinical trial (NCT03701334) and the retrospective German data collection CLEAR-B, respectively. NATALEE trial eligibility criteria were applied to the CLEAR-B dataset. Standardized mortality ratio weights were used for propensity score (PS) adjustment to balance study populations. All hazard ratios (HR) were calculated based on a 4-year-observation period for both treatment arms. Effectiveness endpoints comprised invasive and distant disease-free survival (iDFS, dDFS), recurrence-free survival (RFS), and overall survival (OS). Safety-related endpoints were treatment termination (TT) and toxicity-related TT (TTtox). For safety comparisons, the ribociclib arm was divided into groups that discontinued ribociclib + NSAI + OFS or ribociclib only.</p><p><strong>Results: </strong>Significant beneficial effects favoring ribociclib + NSAI + OFS (n = 1115) over tamoxifen ± OFS (n = 822) were observed for all effectiveness outcomes (iDFS [HR = 0.5 (95% CI 0.35; 0.71); p < 0.01]; dDFS [HR = 0.52 (95% CI 0.35; 0.77); p = 0.01], RFS [HR = 0.42 (95% CI 0.29; 0.62); p < 0.01], OS [HR = 0.34 (95% CI 0.18; 0.63); p = 0.01]) during the 4-year-observation period. The effect of early treatment discontinuation showed no significant differences between ribociclib + NSAI + OFS and tamoxifen ± OFS (TT-a: HR = 1.2 [95% CI: 0.71; 2.01], p = 0.48; TTtox-a: HR = 0.54 [95% CI 0.22; 1.30], p = 0.23).</p><p><strong>Conclusion: </strong>In this retrospective analysis, ribociclib + NSAI + OFS demonstrated advantages across all effectiveness endpoints, including OS, in premenopausal women with HR+, HER2- early BC, without increasing overall treatment discontinuation rates compared to tamoxifen ± OFS.</p>\",\"PeriodicalId\":12481,\"journal\":{\"name\":\"Geburtshilfe Und Frauenheilkunde\",\"volume\":\"85 6\",\"pages\":\"599-610\"},\"PeriodicalIF\":1.9000,\"publicationDate\":\"2025-04-04\",\"publicationTypes\":\"Journal Article\",\"fieldsOfStudy\":null,\"isOpenAccess\":false,\"openAccessPdf\":\"https://www.ncbi.nlm.nih.gov/pmc/articles/PMC12158542/pdf/\",\"citationCount\":\"0\",\"resultStr\":null,\"platform\":\"Semanticscholar\",\"paperid\":null,\"PeriodicalName\":\"Geburtshilfe Und Frauenheilkunde\",\"FirstCategoryId\":\"3\",\"ListUrlMain\":\"https://doi.org/10.1055/a-2561-6640\",\"RegionNum\":4,\"RegionCategory\":\"医学\",\"ArticlePicture\":[],\"TitleCN\":null,\"AbstractTextCN\":null,\"PMCID\":null,\"EPubDate\":\"2025/6/1 0:00:00\",\"PubModel\":\"eCollection\",\"JCR\":\"Q2\",\"JCRName\":\"OBSTETRICS & GYNECOLOGY\",\"Score\":null,\"Total\":0}","platform":"Semanticscholar","paperid":null,"PeriodicalName":"Geburtshilfe Und Frauenheilkunde","FirstCategoryId":"3","ListUrlMain":"https://doi.org/10.1055/a-2561-6640","RegionNum":4,"RegionCategory":"医学","ArticlePicture":[],"TitleCN":null,"AbstractTextCN":null,"PMCID":null,"EPubDate":"2025/6/1 0:00:00","PubModel":"eCollection","JCR":"Q2","JCRName":"OBSTETRICS & GYNECOLOGY","Score":null,"Total":0}
引用次数: 0

摘要

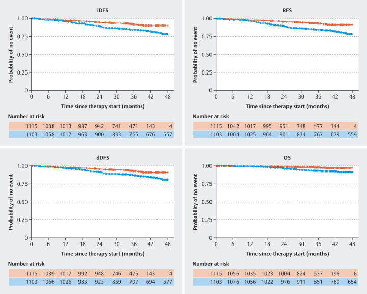
背景:本研究对绝经前HR阳性(HR+)、HER2阴性(HER2-)早期乳腺癌(BC)患者联合非甾体芳香酶抑制剂和卵巢功能抑制(ribociclib + NSAI + OFS)与德国临床常规常用的治疗方案(他莫昔芬±OFS)进行了间接治疗比较。材料和方法:绝经前妇女接受核波西尼和他莫昔芬治疗的数据分别来自NATALEE临床试验(NCT03701334)和德国回顾性数据收集CLEAR-B。NATALEE试验资格标准应用于CLEAR-B数据集。标准化死亡率权重用于倾向评分(PS)调整以平衡研究人群。所有的风险比(HR)是根据两个治疗组的4年观察期计算的。疗效终点包括侵袭性和远处无病生存期(iDFS, dDFS)、无复发生存期(RFS)和总生存期(OS)。安全性相关终点为治疗终止(TT)和毒性相关终点(TTtox)。为了进行安全性比较,将核素环尼组分为停用核素环尼+ NSAI + OFS组或仅停用核素环尼组。结果:在所有疗效结局中,ribociclib + NSAI + OFS (n = 1115)明显优于他莫昔芬±OFS (n = 822) (iDFS [HR = 0.5 (95% CI 0.35;0.71);结论:在这项回顾性分析中,与他莫昔芬±OFS相比,ribociclib + NSAI + OFS在HR+, HER2-早期BC的绝经前妇女中显示出所有有效性终点(包括OS)的优势,没有增加总体停药率。
本文章由计算机程序翻译,如有差异,请以英文原文为准。

Indirect Treatment Comparison between Ribociclib Combined with Non-Steroidal Aromatase Inhibitors and Ovarian Function Suppression vs. Tamoxifen in Premenopausal Women with Early Breast Cancer.

Indirect Treatment Comparison between Ribociclib Combined with Non-Steroidal Aromatase Inhibitors and Ovarian Function Suppression vs. Tamoxifen in Premenopausal Women with Early Breast Cancer.

Indirect Treatment Comparison between Ribociclib Combined with Non-Steroidal Aromatase Inhibitors and Ovarian Function Suppression vs. Tamoxifen in Premenopausal Women with Early Breast Cancer.

Background: This study provides an indirect treatment comparison of ribociclib combined with non-steroidal aromatase inhibitors and ovarian function suppression (ribociclib + NSAI + OFS) vs. a frequently used treatment option in German clinical routine (tamoxifen ± OFS) in premenopausal patients with HR-positive (HR+), HER2-negative (HER2-) early breast cancer (BC).

Material and methods: Data on premenopausal women treated with ribociclib and tamoxifen were derived from the NATALEE clinical trial (NCT03701334) and the retrospective German data collection CLEAR-B, respectively. NATALEE trial eligibility criteria were applied to the CLEAR-B dataset. Standardized mortality ratio weights were used for propensity score (PS) adjustment to balance study populations. All hazard ratios (HR) were calculated based on a 4-year-observation period for both treatment arms. Effectiveness endpoints comprised invasive and distant disease-free survival (iDFS, dDFS), recurrence-free survival (RFS), and overall survival (OS). Safety-related endpoints were treatment termination (TT) and toxicity-related TT (TTtox). For safety comparisons, the ribociclib arm was divided into groups that discontinued ribociclib + NSAI + OFS or ribociclib only.

Results: Significant beneficial effects favoring ribociclib + NSAI + OFS (n = 1115) over tamoxifen ± OFS (n = 822) were observed for all effectiveness outcomes (iDFS [HR = 0.5 (95% CI 0.35; 0.71); p < 0.01]; dDFS [HR = 0.52 (95% CI 0.35; 0.77); p = 0.01], RFS [HR = 0.42 (95% CI 0.29; 0.62); p < 0.01], OS [HR = 0.34 (95% CI 0.18; 0.63); p = 0.01]) during the 4-year-observation period. The effect of early treatment discontinuation showed no significant differences between ribociclib + NSAI + OFS and tamoxifen ± OFS (TT-a: HR = 1.2 [95% CI: 0.71; 2.01], p = 0.48; TTtox-a: HR = 0.54 [95% CI 0.22; 1.30], p = 0.23).

Conclusion: In this retrospective analysis, ribociclib + NSAI + OFS demonstrated advantages across all effectiveness endpoints, including OS, in premenopausal women with HR+, HER2- early BC, without increasing overall treatment discontinuation rates compared to tamoxifen ± OFS.

求助全文
通过发布文献求助,成功后即可免费获取论文全文。 去求助
来源期刊
Geburtshilfe Und Frauenheilkunde
Geburtshilfe Und Frauenheilkunde 医学-妇产科学
CiteScore
2.50
自引率
22.20%
发文量
828
审稿时长
6-12 weeks
期刊介绍: Geburtshilfe und Frauenheilkunde (GebFra) addresses the whole field of obstetrics and gynecology and is concerned with research as much as with clinical practice. In its scientific section, it publishes original articles, reviews and case reports in all fields of the discipline, namely gynecological oncology, including oncology of the breast obstetrics and perinatal medicine, reproductive medicine, and urogynecology. GebFra invites the submission of original articles and review articles. In addition, the journal publishes guidelines, statements and recommendations in cooperation with the DGGG, SGGG, OEGGG and the Arbeitsgemeinschaft der Wissenschaftlichen Medizinischen Fachgesellschaften (AWMF, Association of Scientific Medical Societies, www.awmf.org). Apart from the scientific section, Geburtshilfe und Frauenheilkunde has a news and views section that also includes discussions, book reviews and professional information. Letters to the editors are welcome. If a letter discusses an article that has been published in our journal, the corresponding author of the article will be informed and invited to comment on the letter. The comment will be published along with the letter.
×
引用
GB/T 7714-2015
复制
MLA
复制
APA
复制
导出至
BibTeX EndNote RefMan NoteFirst NoteExpress
×
提示
您的信息不完整,为了账户安全,请先补充。
现在去补充
×
提示
您因"违规操作"
具体请查看互助需知
我知道了
×
提示
确定
请完成安全验证×
copy
已复制链接
快去分享给好友吧!
我知道了
右上角分享
点击右上角分享
0
联系我们:info@booksci.cn Book学术提供免费学术资源搜索服务,方便国内外学者检索中英文文献。致力于提供最便捷和优质的服务体验。 Copyright © 2023 布克学术 All rights reserved.
京ICP备2023020795号-1
ghs 京公网安备 11010802042870号
Book学术文献互助
Book学术文献互助群
群 号:604180095
Book学术官方微信