比较自闭症和非自闭症青少年的运动参与轨迹:基于群体的多轨迹建模方法。

IF 5.6 2区 心理学 Q1 PSYCHOLOGY, DEVELOPMENTAL
Autism Pub Date : 2025-10-01 Epub Date: 2025-06-11 DOI:10.1177/13623613251345345
Martin O'Flaherty, Jessica Hill, Matthew Bourke, Sjaan Gomersall, Sean Tweedy, John Cairney
{"title":"比较自闭症和非自闭症青少年的运动参与轨迹:基于群体的多轨迹建模方法。","authors":"Martin O'Flaherty, Jessica Hill, Matthew Bourke, Sjaan Gomersall, Sean Tweedy, John Cairney","doi":"10.1177/13623613251345345","DOIUrl":null,"url":null,"abstract":"<p><p>Autistic children are less likely to participate in sport than non-autistic children, but we know little about how patterns of participation in team and individual sport change across childhood. Drawing on a nationally representative cohort of Australian children, this study analysed trajectories of participation in team and individual sport between the ages of 8 and 15 using a group-based multiple trajectory modelling approach. A five-group solution was found to be the best fit to the data, identifying distinct patterns of sport participation over time. In comparison with non-autistic children, autistic children were more likely to belong to the 'sport avoider' group with low participation in both team and individual sport at all ages. Conversely, autistic children were less likely to be classified in the 'team sportsperson', 'ex-team sportsperson' or 'mixed sportsperson' groups. No difference in the likelihood of belonging to the 'individual sportsperson' group was found. Risk factors for trajectory group membership were similar for autistic and non-autistic children. Our findings indicate that autistic children are particularly likely to experience exclusion from team sport environments, and this exclusion persists over time. Similar rates of participation in individual sport for autistic and non-autistic children indicate that these environments may be more supportive for autistic children.Lay abstractAutistic children are less likely to participate in sport than non-autistic children, but we know little about how patterns of participation in team and individual sport change across childhood. Drawing on data for a group of Australian children whose families were reinterviewed between ages 8 and 15, the present study patterns of participation in team and individual sport over time. Findings from the analysis suggested that children could be grouped into five patterns of participation in team and individual sport between the ages of 8 and 15. In comparison with non-autistic children, autistic children were more likely to belong to the 'sport avoider' group with low participation in both team and individual sport at all ages. Conversely, autistic children were less likely to belong to the 'team sportsperson', 'ex-team sportsperson' or 'mixed sportsperson' groups. Similar numbers of autistic and non-autistic children belonged to the 'individual sportsperson' group. Factors linked to patterns of participation over time were similar for autistic and non-autistic children. Our findings indicate that autistic children are particularly likely to experience exclusion from team sport environments, and this exclusion persists over time. Similar rates of participation in individual sport for autistic and non-autistic children indicate that these environments may be more supportive for autistic children.</p>","PeriodicalId":8724,"journal":{"name":"Autism","volume":" ","pages":"2575-2587"},"PeriodicalIF":5.6000,"publicationDate":"2025-10-01","publicationTypes":"Journal Article","fieldsOfStudy":null,"isOpenAccess":false,"openAccessPdf":"https://www.ncbi.nlm.nih.gov/pmc/articles/PMC12417603/pdf/","citationCount":"0","resultStr":"{\"title\":\"Comparing trajectories of sport participation for autistic- and non-autistic-youth: A group-based multi-trajectory modelling approach.\",\"authors\":\"Martin O'Flaherty, Jessica Hill, Matthew Bourke, Sjaan Gomersall, Sean Tweedy, John Cairney\",\"doi\":\"10.1177/13623613251345345\",\"DOIUrl\":null,\"url\":null,\"abstract\":\"<p><p>Autistic children are less likely to participate in sport than non-autistic children, but we know little about how patterns of participation in team and individual sport change across childhood. Drawing on a nationally representative cohort of Australian children, this study analysed trajectories of participation in team and individual sport between the ages of 8 and 15 using a group-based multiple trajectory modelling approach. A five-group solution was found to be the best fit to the data, identifying distinct patterns of sport participation over time. In comparison with non-autistic children, autistic children were more likely to belong to the 'sport avoider' group with low participation in both team and individual sport at all ages. Conversely, autistic children were less likely to be classified in the 'team sportsperson', 'ex-team sportsperson' or 'mixed sportsperson' groups. No difference in the likelihood of belonging to the 'individual sportsperson' group was found. Risk factors for trajectory group membership were similar for autistic and non-autistic children. Our findings indicate that autistic children are particularly likely to experience exclusion from team sport environments, and this exclusion persists over time. Similar rates of participation in individual sport for autistic and non-autistic children indicate that these environments may be more supportive for autistic children.Lay abstractAutistic children are less likely to participate in sport than non-autistic children, but we know little about how patterns of participation in team and individual sport change across childhood. Drawing on data for a group of Australian children whose families were reinterviewed between ages 8 and 15, the present study patterns of participation in team and individual sport over time. Findings from the analysis suggested that children could be grouped into five patterns of participation in team and individual sport between the ages of 8 and 15. In comparison with non-autistic children, autistic children were more likely to belong to the 'sport avoider' group with low participation in both team and individual sport at all ages. Conversely, autistic children were less likely to belong to the 'team sportsperson', 'ex-team sportsperson' or 'mixed sportsperson' groups. Similar numbers of autistic and non-autistic children belonged to the 'individual sportsperson' group. Factors linked to patterns of participation over time were similar for autistic and non-autistic children. Our findings indicate that autistic children are particularly likely to experience exclusion from team sport environments, and this exclusion persists over time. Similar rates of participation in individual sport for autistic and non-autistic children indicate that these environments may be more supportive for autistic children.</p>\",\"PeriodicalId\":8724,\"journal\":{\"name\":\"Autism\",\"volume\":\" \",\"pages\":\"2575-2587\"},\"PeriodicalIF\":5.6000,\"publicationDate\":\"2025-10-01\",\"publicationTypes\":\"Journal Article\",\"fieldsOfStudy\":null,\"isOpenAccess\":false,\"openAccessPdf\":\"https://www.ncbi.nlm.nih.gov/pmc/articles/PMC12417603/pdf/\",\"citationCount\":\"0\",\"resultStr\":null,\"platform\":\"Semanticscholar\",\"paperid\":null,\"PeriodicalName\":\"Autism\",\"FirstCategoryId\":\"102\",\"ListUrlMain\":\"https://doi.org/10.1177/13623613251345345\",\"RegionNum\":2,\"RegionCategory\":\"心理学\",\"ArticlePicture\":[],\"TitleCN\":null,\"AbstractTextCN\":null,\"PMCID\":null,\"EPubDate\":\"2025/6/11 0:00:00\",\"PubModel\":\"Epub\",\"JCR\":\"Q1\",\"JCRName\":\"PSYCHOLOGY, DEVELOPMENTAL\",\"Score\":null,\"Total\":0}","platform":"Semanticscholar","paperid":null,"PeriodicalName":"Autism","FirstCategoryId":"102","ListUrlMain":"https://doi.org/10.1177/13623613251345345","RegionNum":2,"RegionCategory":"心理学","ArticlePicture":[],"TitleCN":null,"AbstractTextCN":null,"PMCID":null,"EPubDate":"2025/6/11 0:00:00","PubModel":"Epub","JCR":"Q1","JCRName":"PSYCHOLOGY, DEVELOPMENTAL","Score":null,"Total":0}
引用次数: 0

摘要

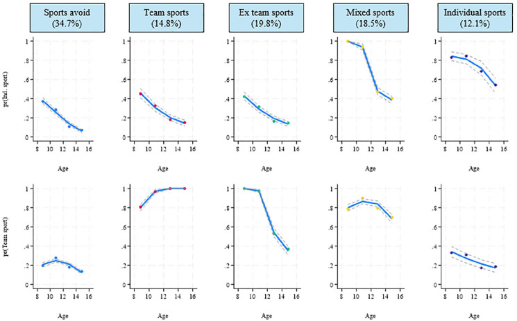
自闭症儿童比非自闭症儿童更不可能参加体育运动,但我们对参与团队和个人运动的模式在童年时期的变化知之甚少。本研究以澳大利亚儿童为研究对象,采用基于群体的多轨迹建模方法,分析了8至15岁儿童参加团队和个人运动的轨迹。研究人员发现,一个五组的解决方案最符合数据,确定了随时间变化的不同运动参与模式。与非自闭症儿童相比,自闭症儿童更有可能属于“运动回避者”群体,在所有年龄段都很少参与团队和个人运动。相反,自闭症儿童不太可能被归类为“团队运动员”、“前团队运动员”或“混合运动员”群体。在属于“个人运动员”组的可能性方面没有发现差异。自闭症儿童和非自闭症儿童的轨迹团体成员的危险因素相似。我们的研究结果表明,自闭症儿童特别容易被团队运动环境所排斥,而且这种排斥会持续一段时间。自闭症儿童和非自闭症儿童参加个人运动的比例相似,这表明这些环境可能对自闭症儿童更有利。自闭症儿童比非自闭症儿童更不可能参加体育运动,但我们对参与团队和个人运动的模式在童年时期是如何变化的知之甚少。根据一组澳大利亚儿童的数据,他们的家庭在8至15岁之间被重新采访,目前的研究模式是随时间参与团队和个人运动。分析结果表明,8至15岁的儿童可以分为五种参与团队和个人运动的模式。与非自闭症儿童相比,自闭症儿童更有可能属于“运动回避者”群体,在所有年龄段都很少参与团队和个人运动。相反,自闭症儿童不太可能属于“团队运动员”、“前团队运动员”或“混合运动员”群体。属于“个体运动员”组的自闭症儿童和非自闭症儿童的数量相似。自闭症儿童和非自闭症儿童随着时间的推移参与模式的相关因素是相似的。我们的研究结果表明,自闭症儿童特别容易被团队运动环境所排斥,而且这种排斥会持续一段时间。自闭症儿童和非自闭症儿童参加个人运动的比例相似,这表明这些环境可能对自闭症儿童更有利。
本文章由计算机程序翻译,如有差异,请以英文原文为准。

Comparing trajectories of sport participation for autistic- and non-autistic-youth: A group-based multi-trajectory modelling approach.

Comparing trajectories of sport participation for autistic- and non-autistic-youth: A group-based multi-trajectory modelling approach.

Comparing trajectories of sport participation for autistic- and non-autistic-youth: A group-based multi-trajectory modelling approach.

Comparing trajectories of sport participation for autistic- and non-autistic-youth: A group-based multi-trajectory modelling approach.

Autistic children are less likely to participate in sport than non-autistic children, but we know little about how patterns of participation in team and individual sport change across childhood. Drawing on a nationally representative cohort of Australian children, this study analysed trajectories of participation in team and individual sport between the ages of 8 and 15 using a group-based multiple trajectory modelling approach. A five-group solution was found to be the best fit to the data, identifying distinct patterns of sport participation over time. In comparison with non-autistic children, autistic children were more likely to belong to the 'sport avoider' group with low participation in both team and individual sport at all ages. Conversely, autistic children were less likely to be classified in the 'team sportsperson', 'ex-team sportsperson' or 'mixed sportsperson' groups. No difference in the likelihood of belonging to the 'individual sportsperson' group was found. Risk factors for trajectory group membership were similar for autistic and non-autistic children. Our findings indicate that autistic children are particularly likely to experience exclusion from team sport environments, and this exclusion persists over time. Similar rates of participation in individual sport for autistic and non-autistic children indicate that these environments may be more supportive for autistic children.Lay abstractAutistic children are less likely to participate in sport than non-autistic children, but we know little about how patterns of participation in team and individual sport change across childhood. Drawing on data for a group of Australian children whose families were reinterviewed between ages 8 and 15, the present study patterns of participation in team and individual sport over time. Findings from the analysis suggested that children could be grouped into five patterns of participation in team and individual sport between the ages of 8 and 15. In comparison with non-autistic children, autistic children were more likely to belong to the 'sport avoider' group with low participation in both team and individual sport at all ages. Conversely, autistic children were less likely to belong to the 'team sportsperson', 'ex-team sportsperson' or 'mixed sportsperson' groups. Similar numbers of autistic and non-autistic children belonged to the 'individual sportsperson' group. Factors linked to patterns of participation over time were similar for autistic and non-autistic children. Our findings indicate that autistic children are particularly likely to experience exclusion from team sport environments, and this exclusion persists over time. Similar rates of participation in individual sport for autistic and non-autistic children indicate that these environments may be more supportive for autistic children.

求助全文
通过发布文献求助,成功后即可免费获取论文全文。 去求助
来源期刊
Autism
Autism PSYCHOLOGY, DEVELOPMENTAL-
CiteScore
9.80
自引率
11.50%
发文量
160
期刊介绍: Autism is a major, peer-reviewed, international journal, published 8 times a year, publishing research of direct and practical relevance to help improve the quality of life for individuals with autism or autism-related disorders. It is interdisciplinary in nature, focusing on research in many areas, including: intervention; diagnosis; training; education; translational issues related to neuroscience, medical and genetic issues of practical import; psychological processes; evaluation of particular therapies; quality of life; family needs; and epidemiological research. Autism provides a major international forum for peer-reviewed research of direct and practical relevance to improving the quality of life for individuals with autism or autism-related disorders. The journal''s success and popularity reflect the recent worldwide growth in the research and understanding of autistic spectrum disorders, and the consequent impact on the provision of treatment and care. Autism is interdisciplinary in nature, focusing on evaluative research in all areas, including: intervention, diagnosis, training, education, neuroscience, psychological processes, evaluation of particular therapies, quality of life issues, family issues and family services, medical and genetic issues, epidemiological research.
×
引用
GB/T 7714-2015
复制
MLA
复制
APA
复制
导出至
BibTeX EndNote RefMan NoteFirst NoteExpress
×
提示
您的信息不完整,为了账户安全,请先补充。
现在去补充
×
提示
您因"违规操作"
具体请查看互助需知
我知道了
×
提示
确定
请完成安全验证×
copy
已复制链接
快去分享给好友吧!
我知道了
右上角分享
点击右上角分享
0
联系我们:info@booksci.cn Book学术提供免费学术资源搜索服务,方便国内外学者检索中英文文献。致力于提供最便捷和优质的服务体验。 Copyright © 2023 布克学术 All rights reserved.
京ICP备2023020795号-1
ghs 京公网安备 11010802042870号
Book学术文献互助
Book学术文献互助群
群 号:604180095
Book学术官方微信