情感性障碍和慢性炎症条件:对150万参与者的分析。

IF 4.9 0 PSYCHIATRY
Arish Mudra Rakshasa-Loots, Duncan Swiffen, Christina Steyn, Katie F M Marwick, Daniel J Smith
{"title":"情感性障碍和慢性炎症条件:对150万参与者的分析。","authors":"Arish Mudra Rakshasa-Loots, Duncan Swiffen, Christina Steyn, Katie F M Marwick, Daniel J Smith","doi":"10.1136/bmjment-2025-301706","DOIUrl":null,"url":null,"abstract":"<p><strong>Background: </strong>Chronic inflammation is associated with psychiatric disorders. If inflammation is linked mechanistically to mental health, people living with chronic inflammatory conditions may experience mental health issues at higher rates than others.</p><p><strong>Objective: </strong>To test this hypothesis, we analysed data from 1 563 155 adults living in the UK within the newly launched UK-wide Our Future Health research cohort.</p><p><strong>Methods: </strong>Participants were split between two groups: people with self-reported lifetime diagnoses of six autoimmune conditions (n=37 808) and those without these diagnoses (n=1 525 347).</p><p><strong>Findings: </strong>Lifetime prevalence (95% CI) of self-reported lifetime diagnoses of any affective disorder (depression, bipolar disorder, anxiety) was significantly higher (p<0.001) among people with autoimmune conditions (28.8% (28.4% to 29.3%)) than in the general population (17.9% (17.8% to 18.0%)), with similar trends observed for individual affective disorders. Prevalence of current depressive symptoms (9-item Patient Health Questionnaire (PHQ-9) ≥10, 31.7% vs 23.4%) and current anxiety symptoms (7-item Generalised Anxiety Disorder Scale (GAD-7) ≥8, 28.1% vs 21.6%) was also higher among people with autoimmune conditions. Odds of experiencing affective disorders, calculated using logistic regression models, were significantly higher in this group compared with the general population (OR (95% CI) = 1.86 (1.82 to 1.90), p<0.001), and these odds remained elevated when adjusting for the effects of age, sex, ethnicity (OR=1.75 (1.71 to 1.79), p<0.001) and additionally, for household income, parental history of affective disorders, chronic pain status and frequency of social interactions (OR=1.48 (1.44 to 1.52), p<0.001).</p><p><strong>Conclusions: </strong>Overall, the risk of affective disorders among people living with autoimmune conditions was nearly twice that of the general population.</p><p><strong>Clinical implications: </strong>Although the observational design of this study does not allow for direct inference of causal mechanisms, this analysis of a large national dataset suggests that chronic exposure to systemic inflammation may be linked to a greater risk for affective disorders. Future work should seek to investigate potential causal mechanisms for these associations.</p>","PeriodicalId":72434,"journal":{"name":"BMJ mental health","volume":"28 1","pages":""},"PeriodicalIF":4.9000,"publicationDate":"2025-06-10","publicationTypes":"Journal Article","fieldsOfStudy":null,"isOpenAccess":false,"openAccessPdf":"https://www.ncbi.nlm.nih.gov/pmc/articles/PMC12161381/pdf/","citationCount":"0","resultStr":"{\"title\":\"Affective disorders and chronic inflammatory conditions: analysis of 1.5 million participants in Our Future Health.\",\"authors\":\"Arish Mudra Rakshasa-Loots, Duncan Swiffen, Christina Steyn, Katie F M Marwick, Daniel J Smith\",\"doi\":\"10.1136/bmjment-2025-301706\",\"DOIUrl\":null,\"url\":null,\"abstract\":\"<p><strong>Background: </strong>Chronic inflammation is associated with psychiatric disorders. If inflammation is linked mechanistically to mental health, people living with chronic inflammatory conditions may experience mental health issues at higher rates than others.</p><p><strong>Objective: </strong>To test this hypothesis, we analysed data from 1 563 155 adults living in the UK within the newly launched UK-wide Our Future Health research cohort.</p><p><strong>Methods: </strong>Participants were split between two groups: people with self-reported lifetime diagnoses of six autoimmune conditions (n=37 808) and those without these diagnoses (n=1 525 347).</p><p><strong>Findings: </strong>Lifetime prevalence (95% CI) of self-reported lifetime diagnoses of any affective disorder (depression, bipolar disorder, anxiety) was significantly higher (p<0.001) among people with autoimmune conditions (28.8% (28.4% to 29.3%)) than in the general population (17.9% (17.8% to 18.0%)), with similar trends observed for individual affective disorders. Prevalence of current depressive symptoms (9-item Patient Health Questionnaire (PHQ-9) ≥10, 31.7% vs 23.4%) and current anxiety symptoms (7-item Generalised Anxiety Disorder Scale (GAD-7) ≥8, 28.1% vs 21.6%) was also higher among people with autoimmune conditions. Odds of experiencing affective disorders, calculated using logistic regression models, were significantly higher in this group compared with the general population (OR (95% CI) = 1.86 (1.82 to 1.90), p<0.001), and these odds remained elevated when adjusting for the effects of age, sex, ethnicity (OR=1.75 (1.71 to 1.79), p<0.001) and additionally, for household income, parental history of affective disorders, chronic pain status and frequency of social interactions (OR=1.48 (1.44 to 1.52), p<0.001).</p><p><strong>Conclusions: </strong>Overall, the risk of affective disorders among people living with autoimmune conditions was nearly twice that of the general population.</p><p><strong>Clinical implications: </strong>Although the observational design of this study does not allow for direct inference of causal mechanisms, this analysis of a large national dataset suggests that chronic exposure to systemic inflammation may be linked to a greater risk for affective disorders. Future work should seek to investigate potential causal mechanisms for these associations.</p>\",\"PeriodicalId\":72434,\"journal\":{\"name\":\"BMJ mental health\",\"volume\":\"28 1\",\"pages\":\"\"},\"PeriodicalIF\":4.9000,\"publicationDate\":\"2025-06-10\",\"publicationTypes\":\"Journal Article\",\"fieldsOfStudy\":null,\"isOpenAccess\":false,\"openAccessPdf\":\"https://www.ncbi.nlm.nih.gov/pmc/articles/PMC12161381/pdf/\",\"citationCount\":\"0\",\"resultStr\":null,\"platform\":\"Semanticscholar\",\"paperid\":null,\"PeriodicalName\":\"BMJ mental health\",\"FirstCategoryId\":\"1085\",\"ListUrlMain\":\"https://doi.org/10.1136/bmjment-2025-301706\",\"RegionNum\":0,\"RegionCategory\":null,\"ArticlePicture\":[],\"TitleCN\":null,\"AbstractTextCN\":null,\"PMCID\":null,\"EPubDate\":\"\",\"PubModel\":\"\",\"JCR\":\"0\",\"JCRName\":\"PSYCHIATRY\",\"Score\":null,\"Total\":0}","platform":"Semanticscholar","paperid":null,"PeriodicalName":"BMJ mental health","FirstCategoryId":"1085","ListUrlMain":"https://doi.org/10.1136/bmjment-2025-301706","RegionNum":0,"RegionCategory":null,"ArticlePicture":[],"TitleCN":null,"AbstractTextCN":null,"PMCID":null,"EPubDate":"","PubModel":"","JCR":"0","JCRName":"PSYCHIATRY","Score":null,"Total":0}
引用次数: 0

摘要

背景:慢性炎症与精神疾病有关。如果炎症与心理健康有机械联系,那么患有慢性炎症的人可能比其他人更容易出现心理健康问题。目的:为了验证这一假设,我们分析了新启动的全英国“我们的未来健康”研究队列中居住在英国的1563 155名成年人的数据。方法:参与者被分为两组:自我报告一生中诊断有6种自身免疫性疾病的人(n=37 808)和没有这些诊断的人(n=1 525 347)。发现:自我报告的任何情感障碍(抑郁、双相情感障碍、焦虑)诊断的终生患病率(95% CI)显著较高(结论:总体而言,自身免疫性疾病患者患情感障碍的风险几乎是普通人群的两倍)。临床意义:尽管本研究的观察性设计不允许直接推断因果机制,但对大型国家数据集的分析表明,慢性暴露于全身性炎症可能与情感障碍的更大风险有关。未来的工作应寻求调查这些关联的潜在因果机制。
本文章由计算机程序翻译,如有差异,请以英文原文为准。

Affective disorders and chronic inflammatory conditions: analysis of 1.5 million participants in Our Future Health.

Affective disorders and chronic inflammatory conditions: analysis of 1.5 million participants in Our Future Health.

Affective disorders and chronic inflammatory conditions: analysis of 1.5 million participants in Our Future Health.

Affective disorders and chronic inflammatory conditions: analysis of 1.5 million participants in Our Future Health.

Background: Chronic inflammation is associated with psychiatric disorders. If inflammation is linked mechanistically to mental health, people living with chronic inflammatory conditions may experience mental health issues at higher rates than others.

Objective: To test this hypothesis, we analysed data from 1 563 155 adults living in the UK within the newly launched UK-wide Our Future Health research cohort.

Methods: Participants were split between two groups: people with self-reported lifetime diagnoses of six autoimmune conditions (n=37 808) and those without these diagnoses (n=1 525 347).

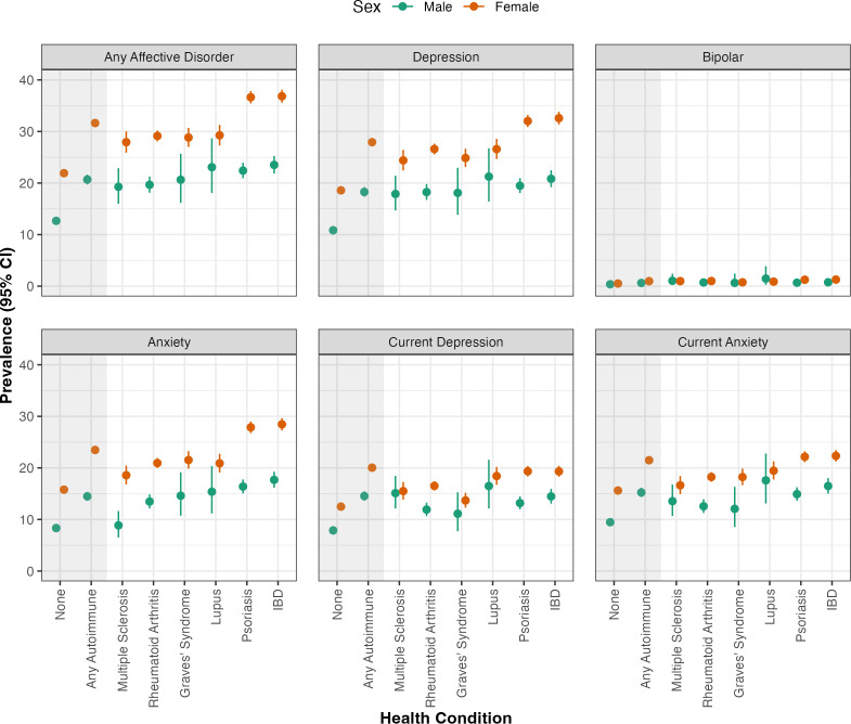
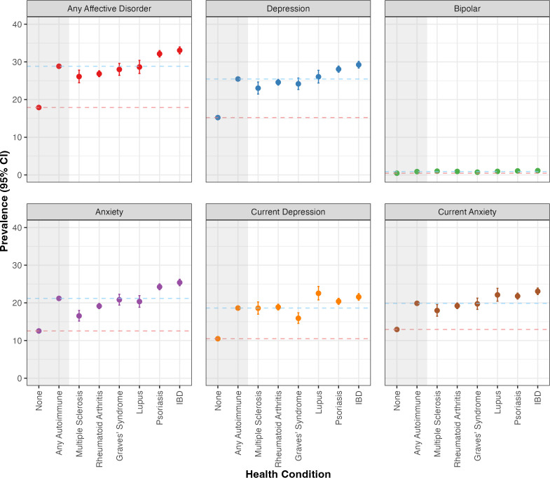
Findings: Lifetime prevalence (95% CI) of self-reported lifetime diagnoses of any affective disorder (depression, bipolar disorder, anxiety) was significantly higher (p<0.001) among people with autoimmune conditions (28.8% (28.4% to 29.3%)) than in the general population (17.9% (17.8% to 18.0%)), with similar trends observed for individual affective disorders. Prevalence of current depressive symptoms (9-item Patient Health Questionnaire (PHQ-9) ≥10, 31.7% vs 23.4%) and current anxiety symptoms (7-item Generalised Anxiety Disorder Scale (GAD-7) ≥8, 28.1% vs 21.6%) was also higher among people with autoimmune conditions. Odds of experiencing affective disorders, calculated using logistic regression models, were significantly higher in this group compared with the general population (OR (95% CI) = 1.86 (1.82 to 1.90), p<0.001), and these odds remained elevated when adjusting for the effects of age, sex, ethnicity (OR=1.75 (1.71 to 1.79), p<0.001) and additionally, for household income, parental history of affective disorders, chronic pain status and frequency of social interactions (OR=1.48 (1.44 to 1.52), p<0.001).

Conclusions: Overall, the risk of affective disorders among people living with autoimmune conditions was nearly twice that of the general population.

Clinical implications: Although the observational design of this study does not allow for direct inference of causal mechanisms, this analysis of a large national dataset suggests that chronic exposure to systemic inflammation may be linked to a greater risk for affective disorders. Future work should seek to investigate potential causal mechanisms for these associations.

求助全文
通过发布文献求助,成功后即可免费获取论文全文。 去求助
来源期刊
CiteScore
6.80
自引率
0.00%
发文量
0
×
引用
GB/T 7714-2015
复制
MLA
复制
APA
复制
导出至
BibTeX EndNote RefMan NoteFirst NoteExpress
×
提示
您的信息不完整,为了账户安全,请先补充。
现在去补充
×
提示
您因"违规操作"
具体请查看互助需知
我知道了
×
提示
确定
请完成安全验证×
copy
已复制链接
快去分享给好友吧!
我知道了
右上角分享
点击右上角分享
0
联系我们:info@booksci.cn Book学术提供免费学术资源搜索服务,方便国内外学者检索中英文文献。致力于提供最便捷和优质的服务体验。 Copyright © 2023 布克学术 All rights reserved.
京ICP备2023020795号-1
ghs 京公网安备 11010802042870号
Book学术文献互助
Book学术文献互助群
群 号:604180095
Book学术官方微信