美国成人非高密度脂蛋白胆固醇与高密度脂蛋白胆固醇比值(NHHR)和尿白蛋白-肌酐比值(ACR)之间的关系:NHANES 2005-2018。

IF 2.6 3区 综合性期刊 Q1 MULTIDISCIPLINARY SCIENCES
PLoS ONE Pub Date : 2025-06-10 eCollection Date: 2025-01-01 DOI:10.1371/journal.pone.0325843
Chaoying Yong, Hongbin He, Chaohui Zhou, Xiaoqin Zhang, Tian Li, Juan Dong, Yingjuan Zhang
{"title":"美国成人非高密度脂蛋白胆固醇与高密度脂蛋白胆固醇比值(NHHR)和尿白蛋白-肌酐比值(ACR)之间的关系:NHANES 2005-2018。","authors":"Chaoying Yong, Hongbin He, Chaohui Zhou, Xiaoqin Zhang, Tian Li, Juan Dong, Yingjuan Zhang","doi":"10.1371/journal.pone.0325843","DOIUrl":null,"url":null,"abstract":"<p><strong>Purpose: </strong>The ratio of non-high-density lipoprotein cholesterol (NHDL-C) to high-density lipoprotein cholesterol (HDL-C), referred to as NHHR, is an emerging lipid parameter. The relationship between NHHR and the urinary albumin-creatinine ratio (ACR) remains unclear. Therefore, our aim is to explore the potential correlation between NHHR and ACR.</p><p><strong>Methods: </strong>Data for this study were sourced from the 2005-2018 National Health and Nutrition Examination Survey (NHANES). Participants under 20 years, pregnant individuals, and those missing NHHR or ACR data were excluded. NHHR, calculated as the difference between total cholesterol (TC) and HDL-C divided by HDL-C, was assessed. Our analysis of the NHHR-ACR association involved multivariable linear regression, smoothed curve fitting, and subgroup analysis.</p><p><strong>Results: </strong>A total of 34,734 participants were included, with a mean age of 49.81 ± 17.66 years. The prevalence of albuminuria was 12.66%. Multivariable regression analysis indicated a significant and independent positive association between NHHR and ACR after fully adjustment [β (95% CI): 7.19 (4.54, 9.85), p < 0.0001], particularly among female participants, individuals aged 60 or older, those of Mexican American or Non-Hispanic Black ethnicity, individuals with obesity, hypertension or diabetes.</p><p><strong>Conclusion: </strong>Our findings demonstrate a positive correlation between NHHR and elevated ACR in US adults, implying that lowering NHHR may serve as a preventive and palliative strategy for albuminuria.</p>","PeriodicalId":20189,"journal":{"name":"PLoS ONE","volume":"20 6","pages":"e0325843"},"PeriodicalIF":2.6000,"publicationDate":"2025-06-10","publicationTypes":"Journal Article","fieldsOfStudy":null,"isOpenAccess":false,"openAccessPdf":"https://www.ncbi.nlm.nih.gov/pmc/articles/PMC12151393/pdf/","citationCount":"0","resultStr":"{\"title\":\"Association between non-high-density lipoprotein cholesterol to high-density lipoprotein cholesterol ratio (NHHR) and urinary albumin-creatinine ratio (ACR) in US adults: NHANES 2005-2018.\",\"authors\":\"Chaoying Yong, Hongbin He, Chaohui Zhou, Xiaoqin Zhang, Tian Li, Juan Dong, Yingjuan Zhang\",\"doi\":\"10.1371/journal.pone.0325843\",\"DOIUrl\":null,\"url\":null,\"abstract\":\"<p><strong>Purpose: </strong>The ratio of non-high-density lipoprotein cholesterol (NHDL-C) to high-density lipoprotein cholesterol (HDL-C), referred to as NHHR, is an emerging lipid parameter. The relationship between NHHR and the urinary albumin-creatinine ratio (ACR) remains unclear. Therefore, our aim is to explore the potential correlation between NHHR and ACR.</p><p><strong>Methods: </strong>Data for this study were sourced from the 2005-2018 National Health and Nutrition Examination Survey (NHANES). Participants under 20 years, pregnant individuals, and those missing NHHR or ACR data were excluded. NHHR, calculated as the difference between total cholesterol (TC) and HDL-C divided by HDL-C, was assessed. Our analysis of the NHHR-ACR association involved multivariable linear regression, smoothed curve fitting, and subgroup analysis.</p><p><strong>Results: </strong>A total of 34,734 participants were included, with a mean age of 49.81 ± 17.66 years. The prevalence of albuminuria was 12.66%. Multivariable regression analysis indicated a significant and independent positive association between NHHR and ACR after fully adjustment [β (95% CI): 7.19 (4.54, 9.85), p < 0.0001], particularly among female participants, individuals aged 60 or older, those of Mexican American or Non-Hispanic Black ethnicity, individuals with obesity, hypertension or diabetes.</p><p><strong>Conclusion: </strong>Our findings demonstrate a positive correlation between NHHR and elevated ACR in US adults, implying that lowering NHHR may serve as a preventive and palliative strategy for albuminuria.</p>\",\"PeriodicalId\":20189,\"journal\":{\"name\":\"PLoS ONE\",\"volume\":\"20 6\",\"pages\":\"e0325843\"},\"PeriodicalIF\":2.6000,\"publicationDate\":\"2025-06-10\",\"publicationTypes\":\"Journal Article\",\"fieldsOfStudy\":null,\"isOpenAccess\":false,\"openAccessPdf\":\"https://www.ncbi.nlm.nih.gov/pmc/articles/PMC12151393/pdf/\",\"citationCount\":\"0\",\"resultStr\":null,\"platform\":\"Semanticscholar\",\"paperid\":null,\"PeriodicalName\":\"PLoS ONE\",\"FirstCategoryId\":\"103\",\"ListUrlMain\":\"https://doi.org/10.1371/journal.pone.0325843\",\"RegionNum\":3,\"RegionCategory\":\"综合性期刊\",\"ArticlePicture\":[],\"TitleCN\":null,\"AbstractTextCN\":null,\"PMCID\":null,\"EPubDate\":\"2025/1/1 0:00:00\",\"PubModel\":\"eCollection\",\"JCR\":\"Q1\",\"JCRName\":\"MULTIDISCIPLINARY SCIENCES\",\"Score\":null,\"Total\":0}","platform":"Semanticscholar","paperid":null,"PeriodicalName":"PLoS ONE","FirstCategoryId":"103","ListUrlMain":"https://doi.org/10.1371/journal.pone.0325843","RegionNum":3,"RegionCategory":"综合性期刊","ArticlePicture":[],"TitleCN":null,"AbstractTextCN":null,"PMCID":null,"EPubDate":"2025/1/1 0:00:00","PubModel":"eCollection","JCR":"Q1","JCRName":"MULTIDISCIPLINARY SCIENCES","Score":null,"Total":0}
引用次数: 0

摘要

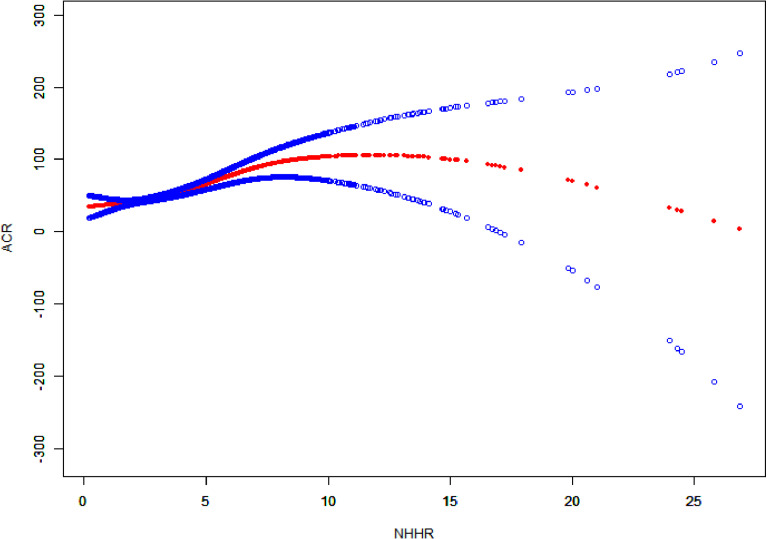
目的:非高密度脂蛋白胆固醇(NHDL-C)与高密度脂蛋白胆固醇(HDL-C)之比,简称NHHR,是一个新兴的脂质参数。NHHR与尿白蛋白-肌酐比值(ACR)之间的关系尚不清楚。因此,我们的目的是探讨NHHR与ACR之间的潜在相关性。方法:本研究的数据来自2005-2018年国家健康与营养检查调查(NHANES)。排除了20岁以下的参与者、孕妇以及缺少NHHR或ACR数据的人。NHHR以总胆固醇(TC)与HDL-C之差除以HDL-C计算。我们对NHHR-ACR相关性的分析包括多变量线性回归、平滑曲线拟合和亚组分析。结果:共纳入34,734例受试者,平均年龄49.81±17.66岁。蛋白尿患病率为12.66%。多变量回归分析显示,完全调整后的NHHR和ACR之间存在显著的独立正相关[β (95% CI): 7.19 (4.54, 9.85), p]。结论:我们的研究结果表明,美国成人NHHR和ACR升高之间存在正相关,这意味着降低NHHR可以作为白蛋白尿的预防和缓解策略。
本文章由计算机程序翻译,如有差异,请以英文原文为准。

Association between non-high-density lipoprotein cholesterol to high-density lipoprotein cholesterol ratio (NHHR) and urinary albumin-creatinine ratio (ACR) in US adults: NHANES 2005-2018.

Association between non-high-density lipoprotein cholesterol to high-density lipoprotein cholesterol ratio (NHHR) and urinary albumin-creatinine ratio (ACR) in US adults: NHANES 2005-2018.

Association between non-high-density lipoprotein cholesterol to high-density lipoprotein cholesterol ratio (NHHR) and urinary albumin-creatinine ratio (ACR) in US adults: NHANES 2005-2018.

Association between non-high-density lipoprotein cholesterol to high-density lipoprotein cholesterol ratio (NHHR) and urinary albumin-creatinine ratio (ACR) in US adults: NHANES 2005-2018.

Purpose: The ratio of non-high-density lipoprotein cholesterol (NHDL-C) to high-density lipoprotein cholesterol (HDL-C), referred to as NHHR, is an emerging lipid parameter. The relationship between NHHR and the urinary albumin-creatinine ratio (ACR) remains unclear. Therefore, our aim is to explore the potential correlation between NHHR and ACR.

Methods: Data for this study were sourced from the 2005-2018 National Health and Nutrition Examination Survey (NHANES). Participants under 20 years, pregnant individuals, and those missing NHHR or ACR data were excluded. NHHR, calculated as the difference between total cholesterol (TC) and HDL-C divided by HDL-C, was assessed. Our analysis of the NHHR-ACR association involved multivariable linear regression, smoothed curve fitting, and subgroup analysis.

Results: A total of 34,734 participants were included, with a mean age of 49.81 ± 17.66 years. The prevalence of albuminuria was 12.66%. Multivariable regression analysis indicated a significant and independent positive association between NHHR and ACR after fully adjustment [β (95% CI): 7.19 (4.54, 9.85), p < 0.0001], particularly among female participants, individuals aged 60 or older, those of Mexican American or Non-Hispanic Black ethnicity, individuals with obesity, hypertension or diabetes.

Conclusion: Our findings demonstrate a positive correlation between NHHR and elevated ACR in US adults, implying that lowering NHHR may serve as a preventive and palliative strategy for albuminuria.

求助全文
通过发布文献求助,成功后即可免费获取论文全文。 去求助
来源期刊
PLoS ONE
PLoS ONE 生物-生物学
CiteScore
6.20
自引率
5.40%
发文量
14242
审稿时长
3.7 months
期刊介绍: PLOS ONE is an international, peer-reviewed, open-access, online publication. PLOS ONE welcomes reports on primary research from any scientific discipline. It provides: * Open-access—freely accessible online, authors retain copyright * Fast publication times * Peer review by expert, practicing researchers * Post-publication tools to indicate quality and impact * Community-based dialogue on articles * Worldwide media coverage
×
引用
GB/T 7714-2015
复制
MLA
复制
APA
复制
导出至
BibTeX EndNote RefMan NoteFirst NoteExpress
×
提示
您的信息不完整,为了账户安全,请先补充。
现在去补充
×
提示
您因"违规操作"
具体请查看互助需知
我知道了
×
提示
确定
请完成安全验证×
copy
已复制链接
快去分享给好友吧!
我知道了
右上角分享
点击右上角分享
0
联系我们:info@booksci.cn Book学术提供免费学术资源搜索服务,方便国内外学者检索中英文文献。致力于提供最便捷和优质的服务体验。 Copyright © 2023 布克学术 All rights reserved.
京ICP备2023020795号-1
ghs 京公网安备 11010802042870号
Book学术文献互助
Book学术文献互助群
群 号:604180095
Book学术官方微信