地理位置是否影响妊娠期口服降压药的疗效?

IF 1.4 Q3 OBSTETRICS & GYNECOLOGY
Brooke Anderson, Deena Elkafrawi, Cecilia Fochesato, Antonio Schiattarella, Pasquale De Franciscis, Giovanni Sisti
{"title":"地理位置是否影响妊娠期口服降压药的疗效?","authors":"Brooke Anderson, Deena Elkafrawi, Cecilia Fochesato, Antonio Schiattarella, Pasquale De Franciscis, Giovanni Sisti","doi":"10.4274/jtgga.galenos.2024.2024-1-8","DOIUrl":null,"url":null,"abstract":"<p><p>To assess the efficacy of anti-hypertensive medications during pregnancy according to race, ethnicity and geographical location as current evidence is not clear in this regard. A subgroup meta-analysis of randomized controlled trials was performed. The efficacy of oral medications for chronic hypertension in pregnancy by geographical location [United States of America (USA) vs. rest of the World] was investigated. The location was used as a surrogate of racial identification and differences in health care systems and availability of medications that might affect the efficacy of the treatment. The number of patients in each group experiencing the following outcomes: small for gestational age (SGA), preeclampsia, severe hypertension were compared. Seven studies were identified. Subgroup analysis revealed that medications did not affect the occurrence of SGA. In six studies, therapies were protective for preeclampsia in the rest of the world but not in USA (p=0.02). Therapies were protective for severe hypertension. Our findings suggest that location does not affect the efficacy of medication in treating chronic hypertension during pregnancy. Geographical location may serve as a surrogate for genetic characteristics of a population of interest. However, it can also be influenced by other factors such as the heterogeneity of populations such as the USA.</p>","PeriodicalId":17440,"journal":{"name":"Journal of the Turkish German Gynecological Association","volume":"26 2","pages":"142-153"},"PeriodicalIF":1.4000,"publicationDate":"2025-06-10","publicationTypes":"Journal Article","fieldsOfStudy":null,"isOpenAccess":false,"openAccessPdf":"https://www.ncbi.nlm.nih.gov/pmc/articles/PMC12152777/pdf/","citationCount":"0","resultStr":"{\"title\":\"Does geographical location impact the efficacy of oral antihypertensive therapy in pregnancy?\",\"authors\":\"Brooke Anderson, Deena Elkafrawi, Cecilia Fochesato, Antonio Schiattarella, Pasquale De Franciscis, Giovanni Sisti\",\"doi\":\"10.4274/jtgga.galenos.2024.2024-1-8\",\"DOIUrl\":null,\"url\":null,\"abstract\":\"<p><p>To assess the efficacy of anti-hypertensive medications during pregnancy according to race, ethnicity and geographical location as current evidence is not clear in this regard. A subgroup meta-analysis of randomized controlled trials was performed. The efficacy of oral medications for chronic hypertension in pregnancy by geographical location [United States of America (USA) vs. rest of the World] was investigated. The location was used as a surrogate of racial identification and differences in health care systems and availability of medications that might affect the efficacy of the treatment. The number of patients in each group experiencing the following outcomes: small for gestational age (SGA), preeclampsia, severe hypertension were compared. Seven studies were identified. Subgroup analysis revealed that medications did not affect the occurrence of SGA. In six studies, therapies were protective for preeclampsia in the rest of the world but not in USA (p=0.02). Therapies were protective for severe hypertension. Our findings suggest that location does not affect the efficacy of medication in treating chronic hypertension during pregnancy. Geographical location may serve as a surrogate for genetic characteristics of a population of interest. However, it can also be influenced by other factors such as the heterogeneity of populations such as the USA.</p>\",\"PeriodicalId\":17440,\"journal\":{\"name\":\"Journal of the Turkish German Gynecological Association\",\"volume\":\"26 2\",\"pages\":\"142-153\"},\"PeriodicalIF\":1.4000,\"publicationDate\":\"2025-06-10\",\"publicationTypes\":\"Journal Article\",\"fieldsOfStudy\":null,\"isOpenAccess\":false,\"openAccessPdf\":\"https://www.ncbi.nlm.nih.gov/pmc/articles/PMC12152777/pdf/\",\"citationCount\":\"0\",\"resultStr\":null,\"platform\":\"Semanticscholar\",\"paperid\":null,\"PeriodicalName\":\"Journal of the Turkish German Gynecological Association\",\"FirstCategoryId\":\"1085\",\"ListUrlMain\":\"https://doi.org/10.4274/jtgga.galenos.2024.2024-1-8\",\"RegionNum\":0,\"RegionCategory\":null,\"ArticlePicture\":[],\"TitleCN\":null,\"AbstractTextCN\":null,\"PMCID\":null,\"EPubDate\":\"\",\"PubModel\":\"\",\"JCR\":\"Q3\",\"JCRName\":\"OBSTETRICS & GYNECOLOGY\",\"Score\":null,\"Total\":0}","platform":"Semanticscholar","paperid":null,"PeriodicalName":"Journal of the Turkish German Gynecological Association","FirstCategoryId":"1085","ListUrlMain":"https://doi.org/10.4274/jtgga.galenos.2024.2024-1-8","RegionNum":0,"RegionCategory":null,"ArticlePicture":[],"TitleCN":null,"AbstractTextCN":null,"PMCID":null,"EPubDate":"","PubModel":"","JCR":"Q3","JCRName":"OBSTETRICS & GYNECOLOGY","Score":null,"Total":0}
引用次数: 0

摘要

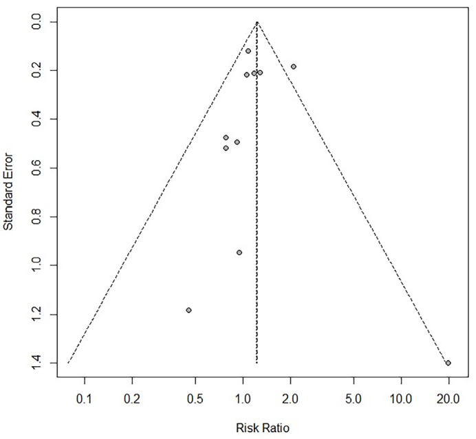
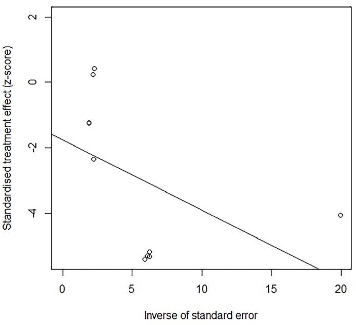
根据种族、民族和地理位置来评估妊娠期间抗高血压药物的疗效,因为目前在这方面的证据还不清楚。对随机对照试验进行亚组荟萃分析。按地理位置对妊娠期慢性高血压口服药物的疗效进行了调查[美利坚合众国(USA)与世界其他地区]。该地点被用作种族识别、医疗保健系统差异和可能影响治疗效果的药物可用性的替代。比较各组出现小胎龄(SGA)、先兆子痫、重度高血压的患者数量。共确定了7项研究。亚组分析显示药物对SGA的发生没有影响。在六项研究中,治疗在世界其他地区对先兆子痫有保护作用,但在美国没有(p=0.02)。治疗对严重高血压有保护作用。我们的研究结果表明,位置不影响药物治疗妊娠期慢性高血压的疗效。地理位置可以代替感兴趣的群体的遗传特征。然而,它也可能受到其他因素的影响,如美国等人口的异质性。
本文章由计算机程序翻译,如有差异,请以英文原文为准。

Does geographical location impact the efficacy of oral antihypertensive therapy in pregnancy?

Does geographical location impact the efficacy of oral antihypertensive therapy in pregnancy?

Does geographical location impact the efficacy of oral antihypertensive therapy in pregnancy?

Does geographical location impact the efficacy of oral antihypertensive therapy in pregnancy?

To assess the efficacy of anti-hypertensive medications during pregnancy according to race, ethnicity and geographical location as current evidence is not clear in this regard. A subgroup meta-analysis of randomized controlled trials was performed. The efficacy of oral medications for chronic hypertension in pregnancy by geographical location [United States of America (USA) vs. rest of the World] was investigated. The location was used as a surrogate of racial identification and differences in health care systems and availability of medications that might affect the efficacy of the treatment. The number of patients in each group experiencing the following outcomes: small for gestational age (SGA), preeclampsia, severe hypertension were compared. Seven studies were identified. Subgroup analysis revealed that medications did not affect the occurrence of SGA. In six studies, therapies were protective for preeclampsia in the rest of the world but not in USA (p=0.02). Therapies were protective for severe hypertension. Our findings suggest that location does not affect the efficacy of medication in treating chronic hypertension during pregnancy. Geographical location may serve as a surrogate for genetic characteristics of a population of interest. However, it can also be influenced by other factors such as the heterogeneity of populations such as the USA.

求助全文
通过发布文献求助,成功后即可免费获取论文全文。 去求助
来源期刊
CiteScore
2.40
自引率
7.10%
发文量
56
期刊介绍: Journal of the Turkish-German Gynecological Association is the official, open access publication of the Turkish-German Gynecological Education and Research Foundation and Turkish-German Gynecological Association and is published quarterly on March, June, September and December. It is an independent peer-reviewed international journal printed in English language. Manuscripts are reviewed in accordance with “double-blind peer review” process for both reviewers and authors. The target audience of Journal of the Turkish-German Gynecological Association includes gynecologists and primary care physicians interested in gynecology practice. It publishes original works on all aspects of obstertrics and gynecology. The aim of Journal of the Turkish-German Gynecological Association is to publish high quality original research articles. In addition to research articles, reviews, editorials, letters to the editor, diagnostic puzzle are also published. Suggestions for new books are also welcomed. Journal of the Turkish-German Gynecological Association does not charge any fee for article submission or processing.
×
引用
GB/T 7714-2015
复制
MLA
复制
APA
复制
导出至
BibTeX EndNote RefMan NoteFirst NoteExpress
×
提示
您的信息不完整,为了账户安全,请先补充。
现在去补充
×
提示
您因"违规操作"
具体请查看互助需知
我知道了
×
提示
确定
请完成安全验证×
copy
已复制链接
快去分享给好友吧!
我知道了
右上角分享
点击右上角分享
0
联系我们:info@booksci.cn Book学术提供免费学术资源搜索服务,方便国内外学者检索中英文文献。致力于提供最便捷和优质的服务体验。 Copyright © 2023 布克学术 All rights reserved.
京ICP备2023020795号-1
ghs 京公网安备 11010802042870号
Book学术文献互助
Book学术文献互助群
群 号:604180095
Book学术官方微信