大麻戒断和精神病重症监护。

IF 17.1 1区 医学 Q1 PSYCHIATRY
Aliyah Malik, Hitesh Shetty, Dominic Oliver, Thomas J Reilly, Marta Di Forti, Philip McGuire, Edward Chesney
{"title":"大麻戒断和精神病重症监护。","authors":"Aliyah Malik, Hitesh Shetty, Dominic Oliver, Thomas J Reilly, Marta Di Forti, Philip McGuire, Edward Chesney","doi":"10.1001/jamapsychiatry.2025.1216","DOIUrl":null,"url":null,"abstract":"<p><strong>Importance: </strong>Cannabis use is common in people with severe mental illness and its adverse effects on outcomes are well established. However, adverse outcomes may also result from cannabis withdrawal syndrome (CWS). CWS includes symptoms such as agitation, irritability, and aggression, and typically peaks after 3 to 5 days of abstinence.</p><p><strong>Objective: </strong>To assess whether cannabis use prior to admission is associated with an increase in the risk of transfer to a psychiatric intensive care unit (PICU) during the cannabis withdrawal risk period.</p><p><strong>Design, setting, and participants: </strong>This retrospective cohort study used clinical data from a secondary mental health care database and took place at 4 psychiatric hospitals in London, United Kingdom, between January 2008 and December 2023. Patients included adults admitted to general psychiatric wards and PICUs. Data were analyzed from June 2023 to February 2025.</p><p><strong>Exposure: </strong>Cannabis use was determined from clinical records, using natural language processing and manual review.</p><p><strong>Main outcomes and measures: </strong>The primary outcome was transfer from a general ward to PICU during the cannabis withdrawal risk period (3 to 5 days after presentation to the hospital). Secondary outcomes included admission to PICU at any time point. Outcomes were analyzed according to cannabis use status with multivariable models, which adjusted for age, gender, ethnicity, diagnosis, tobacco use, stimulant use, comorbid alcohol or substance use disorder, and admission year.</p><p><strong>Results: </strong>There were 52 088 hospital admissions identified, of which 4691 involved admission to a PICU (9.0%). Cannabis users were more likely to be admitted to a PICU than nonusers (adjusted odds ratio [aOR], 1.44; 95% CI, 1.33-1.55; P < .001). There were 1236 admissions where the patient was transferred to PICU after initial admission to a general ward (mean [SD] age, 33.4 [10.4] years; 810 male [66%] and 426 female [34%]). At 3 to 5 days postpresentation (the risk period for cannabis withdrawal), transfer from a general ward to a PICU was more common in cannabis users (31.0%) than nonusers (24.2%) (aOR, 1.36; 95% CI, 1.01-1.81; P = .04). The association was particularly evident in women (aOR, 2.03; 95% CI, 1.22-3.39; P = .007) and in those older than 35 years (aOR, 2.53; 95%CI: 1.52-4.21; P < .001).</p><p><strong>Conclusions and relevance: </strong>People with severe mental illness who are cannabis users may develop cannabis withdrawal syndrome shortly after hospital admission, and this can exacerbate their mental state.</p>","PeriodicalId":14800,"journal":{"name":"JAMA Psychiatry","volume":" ","pages":"838-843"},"PeriodicalIF":17.1000,"publicationDate":"2025-08-01","publicationTypes":"Journal Article","fieldsOfStudy":null,"isOpenAccess":false,"openAccessPdf":"https://www.ncbi.nlm.nih.gov/pmc/articles/PMC12159852/pdf/","citationCount":"0","resultStr":"{\"title\":\"Cannabis Withdrawal and Psychiatric Intensive Care.\",\"authors\":\"Aliyah Malik, Hitesh Shetty, Dominic Oliver, Thomas J Reilly, Marta Di Forti, Philip McGuire, Edward Chesney\",\"doi\":\"10.1001/jamapsychiatry.2025.1216\",\"DOIUrl\":null,\"url\":null,\"abstract\":\"<p><strong>Importance: </strong>Cannabis use is common in people with severe mental illness and its adverse effects on outcomes are well established. However, adverse outcomes may also result from cannabis withdrawal syndrome (CWS). CWS includes symptoms such as agitation, irritability, and aggression, and typically peaks after 3 to 5 days of abstinence.</p><p><strong>Objective: </strong>To assess whether cannabis use prior to admission is associated with an increase in the risk of transfer to a psychiatric intensive care unit (PICU) during the cannabis withdrawal risk period.</p><p><strong>Design, setting, and participants: </strong>This retrospective cohort study used clinical data from a secondary mental health care database and took place at 4 psychiatric hospitals in London, United Kingdom, between January 2008 and December 2023. Patients included adults admitted to general psychiatric wards and PICUs. Data were analyzed from June 2023 to February 2025.</p><p><strong>Exposure: </strong>Cannabis use was determined from clinical records, using natural language processing and manual review.</p><p><strong>Main outcomes and measures: </strong>The primary outcome was transfer from a general ward to PICU during the cannabis withdrawal risk period (3 to 5 days after presentation to the hospital). Secondary outcomes included admission to PICU at any time point. Outcomes were analyzed according to cannabis use status with multivariable models, which adjusted for age, gender, ethnicity, diagnosis, tobacco use, stimulant use, comorbid alcohol or substance use disorder, and admission year.</p><p><strong>Results: </strong>There were 52 088 hospital admissions identified, of which 4691 involved admission to a PICU (9.0%). Cannabis users were more likely to be admitted to a PICU than nonusers (adjusted odds ratio [aOR], 1.44; 95% CI, 1.33-1.55; P < .001). There were 1236 admissions where the patient was transferred to PICU after initial admission to a general ward (mean [SD] age, 33.4 [10.4] years; 810 male [66%] and 426 female [34%]). At 3 to 5 days postpresentation (the risk period for cannabis withdrawal), transfer from a general ward to a PICU was more common in cannabis users (31.0%) than nonusers (24.2%) (aOR, 1.36; 95% CI, 1.01-1.81; P = .04). The association was particularly evident in women (aOR, 2.03; 95% CI, 1.22-3.39; P = .007) and in those older than 35 years (aOR, 2.53; 95%CI: 1.52-4.21; P < .001).</p><p><strong>Conclusions and relevance: </strong>People with severe mental illness who are cannabis users may develop cannabis withdrawal syndrome shortly after hospital admission, and this can exacerbate their mental state.</p>\",\"PeriodicalId\":14800,\"journal\":{\"name\":\"JAMA Psychiatry\",\"volume\":\" \",\"pages\":\"838-843\"},\"PeriodicalIF\":17.1000,\"publicationDate\":\"2025-08-01\",\"publicationTypes\":\"Journal Article\",\"fieldsOfStudy\":null,\"isOpenAccess\":false,\"openAccessPdf\":\"https://www.ncbi.nlm.nih.gov/pmc/articles/PMC12159852/pdf/\",\"citationCount\":\"0\",\"resultStr\":null,\"platform\":\"Semanticscholar\",\"paperid\":null,\"PeriodicalName\":\"JAMA Psychiatry\",\"FirstCategoryId\":\"3\",\"ListUrlMain\":\"https://doi.org/10.1001/jamapsychiatry.2025.1216\",\"RegionNum\":1,\"RegionCategory\":\"医学\",\"ArticlePicture\":[],\"TitleCN\":null,\"AbstractTextCN\":null,\"PMCID\":null,\"EPubDate\":\"\",\"PubModel\":\"\",\"JCR\":\"Q1\",\"JCRName\":\"PSYCHIATRY\",\"Score\":null,\"Total\":0}","platform":"Semanticscholar","paperid":null,"PeriodicalName":"JAMA Psychiatry","FirstCategoryId":"3","ListUrlMain":"https://doi.org/10.1001/jamapsychiatry.2025.1216","RegionNum":1,"RegionCategory":"医学","ArticlePicture":[],"TitleCN":null,"AbstractTextCN":null,"PMCID":null,"EPubDate":"","PubModel":"","JCR":"Q1","JCRName":"PSYCHIATRY","Score":null,"Total":0}
引用次数: 0

摘要

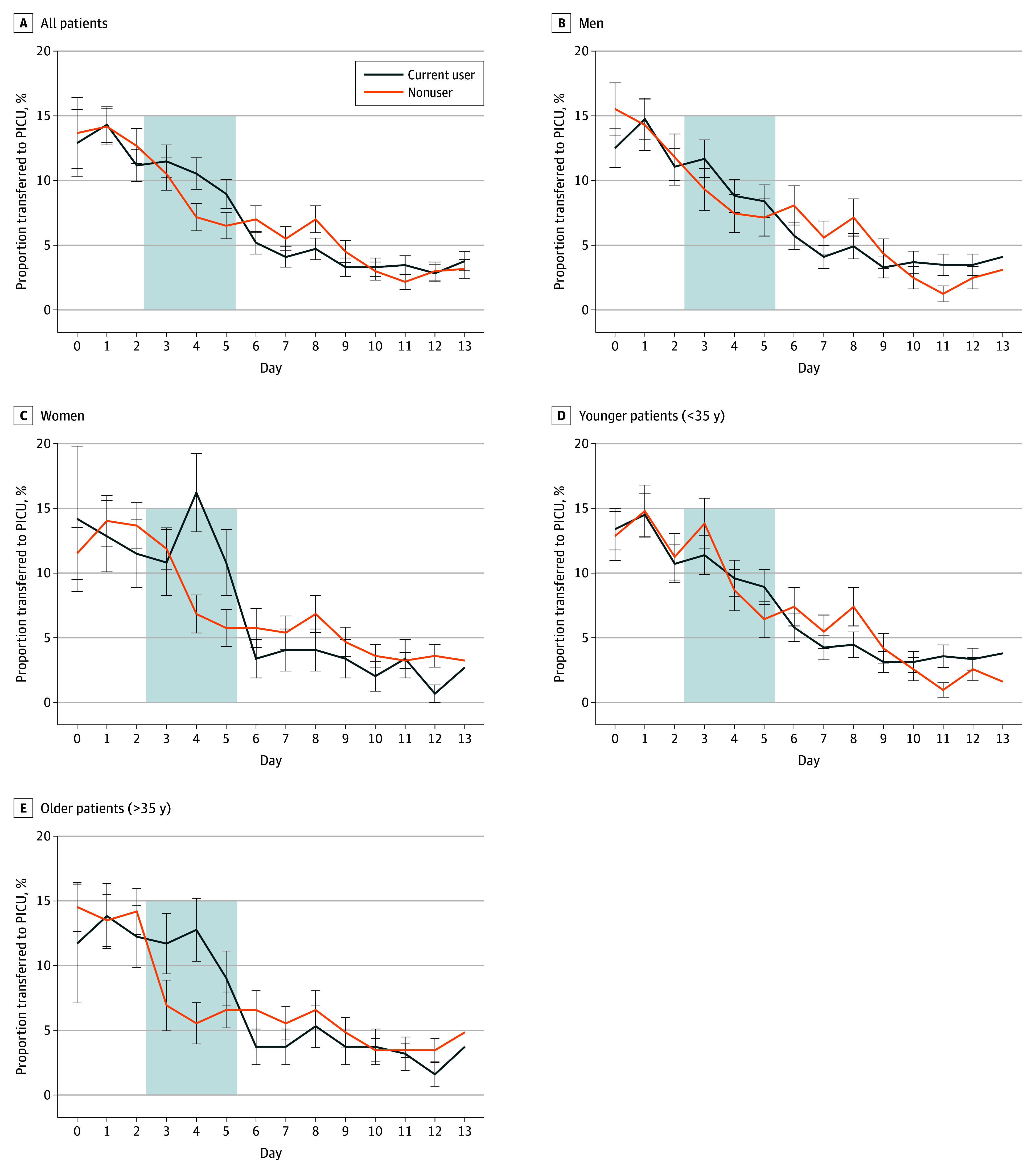
重要性:大麻在严重精神疾病患者中很常见,其对预后的不利影响已得到充分证实。然而,大麻戒断综合征(CWS)也可能导致不良后果。CWS包括躁动、易怒和攻击性等症状,通常在3至5天后达到顶峰。目的:评估入院前使用大麻是否与大麻戒断风险期间转入精神科重症监护病房(PICU)的风险增加有关。设计、环境和参与者:这项回顾性队列研究使用了来自二级精神卫生保健数据库的临床数据,并于2008年1月至2023年12月在英国伦敦的4家精神病院进行。患者包括住在普通精神科病房和picu的成年人。数据分析时间为2023年6月至2025年2月。接触:使用自然语言处理和人工审查,从临床记录确定大麻使用情况。主要结果和措施:主要结果是在大麻戒断风险期间(入院后3至5天)从普通病房转至重症监护病房。次要结局包括在任何时间点进入PICU。根据大麻使用状况,采用多变量模型对结果进行分析,该模型调整了年龄、性别、种族、诊断、烟草使用、兴奋剂使用、共病酒精或物质使用障碍以及入院年份。结果:共发现52例 088例住院病例,其中4691例(9.0%)涉及PICU。大麻使用者比非使用者更容易被送入PICU(调整后优势比[aOR], 1.44;95% ci, 1.33-1.55;P结论和相关性:严重精神疾病的大麻使用者可能在入院后不久出现大麻戒断综合征,这可能加剧他们的精神状态。
本文章由计算机程序翻译,如有差异,请以英文原文为准。

Cannabis Withdrawal and Psychiatric Intensive Care.

Cannabis Withdrawal and Psychiatric Intensive Care.

Importance: Cannabis use is common in people with severe mental illness and its adverse effects on outcomes are well established. However, adverse outcomes may also result from cannabis withdrawal syndrome (CWS). CWS includes symptoms such as agitation, irritability, and aggression, and typically peaks after 3 to 5 days of abstinence.

Objective: To assess whether cannabis use prior to admission is associated with an increase in the risk of transfer to a psychiatric intensive care unit (PICU) during the cannabis withdrawal risk period.

Design, setting, and participants: This retrospective cohort study used clinical data from a secondary mental health care database and took place at 4 psychiatric hospitals in London, United Kingdom, between January 2008 and December 2023. Patients included adults admitted to general psychiatric wards and PICUs. Data were analyzed from June 2023 to February 2025.

Exposure: Cannabis use was determined from clinical records, using natural language processing and manual review.

Main outcomes and measures: The primary outcome was transfer from a general ward to PICU during the cannabis withdrawal risk period (3 to 5 days after presentation to the hospital). Secondary outcomes included admission to PICU at any time point. Outcomes were analyzed according to cannabis use status with multivariable models, which adjusted for age, gender, ethnicity, diagnosis, tobacco use, stimulant use, comorbid alcohol or substance use disorder, and admission year.

Results: There were 52 088 hospital admissions identified, of which 4691 involved admission to a PICU (9.0%). Cannabis users were more likely to be admitted to a PICU than nonusers (adjusted odds ratio [aOR], 1.44; 95% CI, 1.33-1.55; P < .001). There were 1236 admissions where the patient was transferred to PICU after initial admission to a general ward (mean [SD] age, 33.4 [10.4] years; 810 male [66%] and 426 female [34%]). At 3 to 5 days postpresentation (the risk period for cannabis withdrawal), transfer from a general ward to a PICU was more common in cannabis users (31.0%) than nonusers (24.2%) (aOR, 1.36; 95% CI, 1.01-1.81; P = .04). The association was particularly evident in women (aOR, 2.03; 95% CI, 1.22-3.39; P = .007) and in those older than 35 years (aOR, 2.53; 95%CI: 1.52-4.21; P < .001).

Conclusions and relevance: People with severe mental illness who are cannabis users may develop cannabis withdrawal syndrome shortly after hospital admission, and this can exacerbate their mental state.

求助全文
通过发布文献求助,成功后即可免费获取论文全文。 去求助
来源期刊
JAMA Psychiatry
JAMA Psychiatry PSYCHIATRY-
CiteScore
30.60
自引率
1.90%
发文量
233
期刊介绍: JAMA Psychiatry is a global, peer-reviewed journal catering to clinicians, scholars, and research scientists in psychiatry, mental health, behavioral science, and related fields. The Archives of Neurology & Psychiatry originated in 1919, splitting into two journals in 1959: Archives of Neurology and Archives of General Psychiatry. In 2013, these evolved into JAMA Neurology and JAMA Psychiatry, respectively. JAMA Psychiatry is affiliated with the JAMA Network, a group of peer-reviewed medical and specialty publications.
×
引用
GB/T 7714-2015
复制
MLA
复制
APA
复制
导出至
BibTeX EndNote RefMan NoteFirst NoteExpress
×
提示
您的信息不完整,为了账户安全,请先补充。
现在去补充
×
提示
您因"违规操作"
具体请查看互助需知
我知道了
×
提示
确定
请完成安全验证×
copy
已复制链接
快去分享给好友吧!
我知道了
右上角分享
点击右上角分享
0
联系我们:info@booksci.cn Book学术提供免费学术资源搜索服务,方便国内外学者检索中英文文献。致力于提供最便捷和优质的服务体验。 Copyright © 2023 布克学术 All rights reserved.
京ICP备2023020795号-1
ghs 京公网安备 11010802042870号
Book学术文献互助
Book学术文献互助群
群 号:604180095
Book学术官方微信