化学气相沉积技术制备高速氧化氮化镓纳米线紫外探测器的简易方法

IF 7.4
Sanjay Sankaranarayanan , Prabakaran Kandasamy , Niraj Kumar , Kandasamy Muthusamy , Rameshkumar Perumal , Saravanan Gengan
{"title":"化学气相沉积技术制备高速氧化氮化镓纳米线紫外探测器的简易方法","authors":"Sanjay Sankaranarayanan ,&nbsp;Prabakaran Kandasamy ,&nbsp;Niraj Kumar ,&nbsp;Kandasamy Muthusamy ,&nbsp;Rameshkumar Perumal ,&nbsp;Saravanan Gengan","doi":"10.1016/j.mtelec.2025.100150","DOIUrl":null,"url":null,"abstract":"<div><div>Gallium oxynitride nanowires (GaON NWs) based ultraviolet photodetectors (UV PDs) with tunable bandgap and superior response speed is demonstrated by nitridation process in a chemical vapour deposition system. Growth rate and density of the NWs are greatly influenced by the synthesis time. With increase in growth time from 60 to 100 min, nitrogen composition in the samples increased and oxygen composition decreased, resulting in bandgap tunability from 4.63 to 4.21 eV. As an effect of bandgap tunability and dimensionality shrinkage, valence band maximum gets lifted–up due to the hybridization of O<sub>2p</sub> and N<sub>2p</sub> states. The fabricated GaON PDs with an appropriate nitrogen composition demonstrate significant reduction in the dark current and a faster response time of 106 µs. Oxygen vacancies get suppressed by the alteration in valence band maximum, resulting in reduced photoconductive trapping effect and enhanced response speed. When nitrogen is introduced, the probability of photoexcited charge carrier recombination increase, resulting in poor photoresponsivity. Thus, varying the nitrogen composition, bandgap tunability is achieved which suppresses charge carriers trapping in GaON. This methodology provides an alternate approach to develop high-speed ultraviolet photodetectors.</div></div>","PeriodicalId":100893,"journal":{"name":"Materials Today Electronics","volume":"12 ","pages":"Article 100150"},"PeriodicalIF":7.4000,"publicationDate":"2025-06-01","publicationTypes":"Journal Article","fieldsOfStudy":null,"isOpenAccess":false,"openAccessPdf":"","citationCount":"0","resultStr":"{\"title\":\"Development of high-speed gallium oxynitride nanowires based ultraviolet photodetectors by chemical vapour deposition technique: a facile approach\",\"authors\":\"Sanjay Sankaranarayanan ,&nbsp;Prabakaran Kandasamy ,&nbsp;Niraj Kumar ,&nbsp;Kandasamy Muthusamy ,&nbsp;Rameshkumar Perumal ,&nbsp;Saravanan Gengan\",\"doi\":\"10.1016/j.mtelec.2025.100150\",\"DOIUrl\":null,\"url\":null,\"abstract\":\"<div><div>Gallium oxynitride nanowires (GaON NWs) based ultraviolet photodetectors (UV PDs) with tunable bandgap and superior response speed is demonstrated by nitridation process in a chemical vapour deposition system. Growth rate and density of the NWs are greatly influenced by the synthesis time. With increase in growth time from 60 to 100 min, nitrogen composition in the samples increased and oxygen composition decreased, resulting in bandgap tunability from 4.63 to 4.21 eV. As an effect of bandgap tunability and dimensionality shrinkage, valence band maximum gets lifted–up due to the hybridization of O<sub>2p</sub> and N<sub>2p</sub> states. The fabricated GaON PDs with an appropriate nitrogen composition demonstrate significant reduction in the dark current and a faster response time of 106 µs. Oxygen vacancies get suppressed by the alteration in valence band maximum, resulting in reduced photoconductive trapping effect and enhanced response speed. When nitrogen is introduced, the probability of photoexcited charge carrier recombination increase, resulting in poor photoresponsivity. Thus, varying the nitrogen composition, bandgap tunability is achieved which suppresses charge carriers trapping in GaON. This methodology provides an alternate approach to develop high-speed ultraviolet photodetectors.</div></div>\",\"PeriodicalId\":100893,\"journal\":{\"name\":\"Materials Today Electronics\",\"volume\":\"12 \",\"pages\":\"Article 100150\"},\"PeriodicalIF\":7.4000,\"publicationDate\":\"2025-06-01\",\"publicationTypes\":\"Journal Article\",\"fieldsOfStudy\":null,\"isOpenAccess\":false,\"openAccessPdf\":\"\",\"citationCount\":\"0\",\"resultStr\":null,\"platform\":\"Semanticscholar\",\"paperid\":null,\"PeriodicalName\":\"Materials Today Electronics\",\"FirstCategoryId\":\"1085\",\"ListUrlMain\":\"https://www.sciencedirect.com/science/article/pii/S2772949425000166\",\"RegionNum\":0,\"RegionCategory\":null,\"ArticlePicture\":[],\"TitleCN\":null,\"AbstractTextCN\":null,\"PMCID\":null,\"EPubDate\":\"\",\"PubModel\":\"\",\"JCR\":\"\",\"JCRName\":\"\",\"Score\":null,\"Total\":0}","platform":"Semanticscholar","paperid":null,"PeriodicalName":"Materials Today Electronics","FirstCategoryId":"1085","ListUrlMain":"https://www.sciencedirect.com/science/article/pii/S2772949425000166","RegionNum":0,"RegionCategory":null,"ArticlePicture":[],"TitleCN":null,"AbstractTextCN":null,"PMCID":null,"EPubDate":"","PubModel":"","JCR":"","JCRName":"","Score":null,"Total":0}
引用次数: 0

摘要

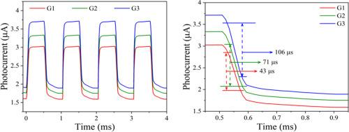
在化学气相沉积系统中,通过氮化工艺证明了氮化镓纳米线(GaON NWs)基紫外光电探测器(UV PDs)具有可调带隙和优异的响应速度。纳米粒子的生长速度和密度受合成时间的影响较大。随着生长时间从60 min增加到100 min,样品中的氮成分增加,氧成分减少,带隙可调性从4.63 eV增加到4.21 eV。由于带隙可调性和维数收缩的影响,价带最大值由于O2p和N2p态的杂化而提高。采用适当的氮组成制备的GaON pd具有明显的暗电流降低和106µs的更快响应时间。价带最大值的改变抑制了氧空位,从而降低了光导捕获效应,提高了响应速度。当引入氮气时,光激发载流子复合的概率增加,导致光响应性差。因此,改变氮的组成,实现了带隙可调性,从而抑制了GaON中的载流子捕获。这种方法为开发高速紫外光电探测器提供了另一种方法。
本文章由计算机程序翻译,如有差异,请以英文原文为准。

Development of high-speed gallium oxynitride nanowires based ultraviolet photodetectors by chemical vapour deposition technique: a facile approach

Development of high-speed gallium oxynitride nanowires based ultraviolet photodetectors by chemical vapour deposition technique: a facile approach
Gallium oxynitride nanowires (GaON NWs) based ultraviolet photodetectors (UV PDs) with tunable bandgap and superior response speed is demonstrated by nitridation process in a chemical vapour deposition system. Growth rate and density of the NWs are greatly influenced by the synthesis time. With increase in growth time from 60 to 100 min, nitrogen composition in the samples increased and oxygen composition decreased, resulting in bandgap tunability from 4.63 to 4.21 eV. As an effect of bandgap tunability and dimensionality shrinkage, valence band maximum gets lifted–up due to the hybridization of O2p and N2p states. The fabricated GaON PDs with an appropriate nitrogen composition demonstrate significant reduction in the dark current and a faster response time of 106 µs. Oxygen vacancies get suppressed by the alteration in valence band maximum, resulting in reduced photoconductive trapping effect and enhanced response speed. When nitrogen is introduced, the probability of photoexcited charge carrier recombination increase, resulting in poor photoresponsivity. Thus, varying the nitrogen composition, bandgap tunability is achieved which suppresses charge carriers trapping in GaON. This methodology provides an alternate approach to develop high-speed ultraviolet photodetectors.
求助全文
通过发布文献求助,成功后即可免费获取论文全文。 去求助
来源期刊
CiteScore
2.10
自引率
0.00%
发文量
0
×
引用
GB/T 7714-2015
复制
MLA
复制
APA
复制
导出至
BibTeX EndNote RefMan NoteFirst NoteExpress
×
提示
您的信息不完整,为了账户安全,请先补充。
现在去补充
×
提示
您因"违规操作"
具体请查看互助需知
我知道了
×
提示
确定
请完成安全验证×
copy
已复制链接
快去分享给好友吧!
我知道了
右上角分享
点击右上角分享
0
联系我们:info@booksci.cn Book学术提供免费学术资源搜索服务,方便国内外学者检索中英文文献。致力于提供最便捷和优质的服务体验。 Copyright © 2023 布克学术 All rights reserved.
京ICP备2023020795号-1
ghs 京公网安备 11010802042870号
Book学术文献互助
Book学术文献互助群
群 号:604180095
Book学术官方微信