韩国B群链球菌分离株α样蛋白的基因型分布:对疫苗覆盖率的影响

IF 2.9 Q2 INFECTIOUS DISEASES
Infection and Chemotherapy Pub Date : 2025-06-01 Epub Date: 2025-04-17 DOI:10.3947/ic.2024.0127
Ji Hyen Lee, Hye-Kyung Cho, Kyung-Hyo Kim, Hyunju Lee, Dae Sun Jo, Han Wool Kim
{"title":"韩国B群链球菌分离株α样蛋白的基因型分布:对疫苗覆盖率的影响","authors":"Ji Hyen Lee, Hye-Kyung Cho, Kyung-Hyo Kim, Hyunju Lee, Dae Sun Jo, Han Wool Kim","doi":"10.3947/ic.2024.0127","DOIUrl":null,"url":null,"abstract":"<p><strong>Background: </strong>Group B <i>Streptococcus</i> (GBS) is a major cause of invasive bacterial diseases, including sepsis, meningitis, and pneumonia, particularly in newborns and infants. Pregnant adults, those with pre-existing conditions, and older adults are particularly susceptible. Ongoing research is focused on developing various vaccines utilizing different antigens, including capsular polysaccharides and alpha-like proteins (Alps). Epidemiological data on these antigens in GBS is essential for predicting the effectiveness of these vaccines. However, no epidemiological studies on Alps genotype have been conducted in Korea. This study aimed to fill this gap by investigating the distribution and characteristics of the <i>alp</i> genotype in domestic clinical strains.</p><p><strong>Materials and methods: </strong>We analyzed 386 GBS strains isolated from various clinical specimens between April 2000 and November 2018. The serotype of each strain was initially verified using a slide latex agglutination reaction, then confirmed by polymerase chain reaction to determine the presence of the genes <i>bca, rib, alp1, alp2, alp3,</i> and <i>alp4</i> associated with Alps. Strains were then classified as invasive or non-invasive based on the type of clinical specimen. The distribution of serotypes and <i>alp</i> genotype was analyzed across these classifications.</p><p><strong>Results: </strong>We analyzed 386 bacterial strains to assess their clinical characteristics, serotypes, and <i>alp</i> genotype distributions. Of these strains, 47.1% (182 strains) were invasive primarily isolated from blood samples (43.3%, 167 strains), whereas non-invasive strains were more frequently isolated from sites such as the vagina and urethra. Serotype III was the most prevalent across both invasive and non-invasive strains, comprising 28.2% (109 strains) of all isolates. Notably, 79.5% (307 strains) of all isolates were encompassed by the hexavalent vaccine (serotype Ia, Ib, II, III, and V) formulations. Furthermore, the <i>rib</i> genotype was the most common, detected in 39.4% (152 strains) of all isolates, with a higher prevalence in non-invasive samples (44.1%, 90 strains).</p><p><strong>Conclusion: </strong>Although the distribution of <i>alp</i> genotypes differed between invasive and non-invasive strains, the proportion of bca and rib was substantial. Therefore, Alp protein vaccine containing Rib and Cα antigens is expected to provide protection against prevalent GBS strains in Korea. Additional epidemiological studies on GBS vaginal colonization in pregnant women and invasive neonatal strains are needed to support early neonatal sepsis prevention in these high-risk groups.</p>","PeriodicalId":51616,"journal":{"name":"Infection and Chemotherapy","volume":" ","pages":"218-229"},"PeriodicalIF":2.9000,"publicationDate":"2025-06-01","publicationTypes":"Journal Article","fieldsOfStudy":null,"isOpenAccess":false,"openAccessPdf":"https://www.ncbi.nlm.nih.gov/pmc/articles/PMC12230385/pdf/","citationCount":"0","resultStr":"{\"title\":\"Genotypic Distribution of Alpha-Like Proteins in Group B <i>Streptococcus</i> Strains Isolated in Korea: Implications for Vaccine Coverage.\",\"authors\":\"Ji Hyen Lee, Hye-Kyung Cho, Kyung-Hyo Kim, Hyunju Lee, Dae Sun Jo, Han Wool Kim\",\"doi\":\"10.3947/ic.2024.0127\",\"DOIUrl\":null,\"url\":null,\"abstract\":\"<p><strong>Background: </strong>Group B <i>Streptococcus</i> (GBS) is a major cause of invasive bacterial diseases, including sepsis, meningitis, and pneumonia, particularly in newborns and infants. Pregnant adults, those with pre-existing conditions, and older adults are particularly susceptible. Ongoing research is focused on developing various vaccines utilizing different antigens, including capsular polysaccharides and alpha-like proteins (Alps). Epidemiological data on these antigens in GBS is essential for predicting the effectiveness of these vaccines. However, no epidemiological studies on Alps genotype have been conducted in Korea. This study aimed to fill this gap by investigating the distribution and characteristics of the <i>alp</i> genotype in domestic clinical strains.</p><p><strong>Materials and methods: </strong>We analyzed 386 GBS strains isolated from various clinical specimens between April 2000 and November 2018. The serotype of each strain was initially verified using a slide latex agglutination reaction, then confirmed by polymerase chain reaction to determine the presence of the genes <i>bca, rib, alp1, alp2, alp3,</i> and <i>alp4</i> associated with Alps. Strains were then classified as invasive or non-invasive based on the type of clinical specimen. The distribution of serotypes and <i>alp</i> genotype was analyzed across these classifications.</p><p><strong>Results: </strong>We analyzed 386 bacterial strains to assess their clinical characteristics, serotypes, and <i>alp</i> genotype distributions. Of these strains, 47.1% (182 strains) were invasive primarily isolated from blood samples (43.3%, 167 strains), whereas non-invasive strains were more frequently isolated from sites such as the vagina and urethra. Serotype III was the most prevalent across both invasive and non-invasive strains, comprising 28.2% (109 strains) of all isolates. Notably, 79.5% (307 strains) of all isolates were encompassed by the hexavalent vaccine (serotype Ia, Ib, II, III, and V) formulations. Furthermore, the <i>rib</i> genotype was the most common, detected in 39.4% (152 strains) of all isolates, with a higher prevalence in non-invasive samples (44.1%, 90 strains).</p><p><strong>Conclusion: </strong>Although the distribution of <i>alp</i> genotypes differed between invasive and non-invasive strains, the proportion of bca and rib was substantial. Therefore, Alp protein vaccine containing Rib and Cα antigens is expected to provide protection against prevalent GBS strains in Korea. Additional epidemiological studies on GBS vaginal colonization in pregnant women and invasive neonatal strains are needed to support early neonatal sepsis prevention in these high-risk groups.</p>\",\"PeriodicalId\":51616,\"journal\":{\"name\":\"Infection and Chemotherapy\",\"volume\":\" \",\"pages\":\"218-229\"},\"PeriodicalIF\":2.9000,\"publicationDate\":\"2025-06-01\",\"publicationTypes\":\"Journal Article\",\"fieldsOfStudy\":null,\"isOpenAccess\":false,\"openAccessPdf\":\"https://www.ncbi.nlm.nih.gov/pmc/articles/PMC12230385/pdf/\",\"citationCount\":\"0\",\"resultStr\":null,\"platform\":\"Semanticscholar\",\"paperid\":null,\"PeriodicalName\":\"Infection and Chemotherapy\",\"FirstCategoryId\":\"1085\",\"ListUrlMain\":\"https://doi.org/10.3947/ic.2024.0127\",\"RegionNum\":0,\"RegionCategory\":null,\"ArticlePicture\":[],\"TitleCN\":null,\"AbstractTextCN\":null,\"PMCID\":null,\"EPubDate\":\"2025/4/17 0:00:00\",\"PubModel\":\"Epub\",\"JCR\":\"Q2\",\"JCRName\":\"INFECTIOUS DISEASES\",\"Score\":null,\"Total\":0}","platform":"Semanticscholar","paperid":null,"PeriodicalName":"Infection and Chemotherapy","FirstCategoryId":"1085","ListUrlMain":"https://doi.org/10.3947/ic.2024.0127","RegionNum":0,"RegionCategory":null,"ArticlePicture":[],"TitleCN":null,"AbstractTextCN":null,"PMCID":null,"EPubDate":"2025/4/17 0:00:00","PubModel":"Epub","JCR":"Q2","JCRName":"INFECTIOUS DISEASES","Score":null,"Total":0}
引用次数: 0

摘要

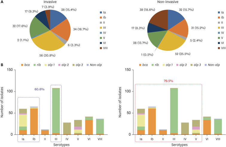
背景:B群链球菌(GBS)是侵袭性细菌性疾病的主要原因,包括败血症、脑膜炎和肺炎,特别是在新生儿和婴儿中。孕妇、已有疾病者和老年人特别容易感染。正在进行的研究重点是利用不同的抗原开发各种疫苗,包括荚膜多糖和α样蛋白(Alps)。关于GBS中这些抗原的流行病学数据对于预测这些疫苗的有效性至关重要。但是,国内尚未进行阿尔卑斯山基因型的流行病学研究。本研究旨在通过调查国内临床菌株Alp基因型的分布和特点来填补这一空白。材料与方法:对2000年4月至2018年11月从各种临床标本中分离到的386株GBS进行分析。采用载玻片胶乳凝集反应初步验证各菌株的血清型,然后采用聚合酶链反应确定与阿尔卑斯病毒相关的bca、rib、alp1、alp2、alp3和alp4基因的存在。然后根据临床标本的类型将菌株分为侵入性或非侵入性。分析这些分类中血清型和Alp基因型的分布。结果:我们分析了386株细菌的临床特征、血清型和Alp基因型分布。其中,47.1%(182株)主要从血液样本中分离出侵袭性菌株(43.3%(167株)),而非侵袭性菌株更多地从阴道和尿道等部位分离出。血清III型在侵袭性和非侵袭性菌株中最常见,占所有分离株的28.2%(109株)。值得注意的是,所有分离株中有79.5%(307株)被六价疫苗(血清型Ia、Ib、II、III和V)配方所包含。此外,肋骨基因型最常见,在所有分离株中检测到39.4%(152株),在非侵入性样本中检测到较高的患病率(44.1%,90株)。结论:虽然侵袭型和非侵袭型菌株的Alp基因型分布不同,但bca和rib所占比例较大。因此,含有Rib和Cα抗原的Alp蛋白疫苗有望对韩国流行的GBS菌株提供保护。需要对孕妇和侵入性新生儿菌株的GBS阴道定植进行进一步的流行病学研究,以支持在这些高危人群中早期预防新生儿败血症。
本文章由计算机程序翻译,如有差异,请以英文原文为准。

Genotypic Distribution of Alpha-Like Proteins in Group B <i>Streptococcus</i> Strains Isolated in Korea: Implications for Vaccine Coverage.

Genotypic Distribution of Alpha-Like Proteins in Group B <i>Streptococcus</i> Strains Isolated in Korea: Implications for Vaccine Coverage.

Genotypic Distribution of Alpha-Like Proteins in Group B <i>Streptococcus</i> Strains Isolated in Korea: Implications for Vaccine Coverage.

Genotypic Distribution of Alpha-Like Proteins in Group B Streptococcus Strains Isolated in Korea: Implications for Vaccine Coverage.

Background: Group B Streptococcus (GBS) is a major cause of invasive bacterial diseases, including sepsis, meningitis, and pneumonia, particularly in newborns and infants. Pregnant adults, those with pre-existing conditions, and older adults are particularly susceptible. Ongoing research is focused on developing various vaccines utilizing different antigens, including capsular polysaccharides and alpha-like proteins (Alps). Epidemiological data on these antigens in GBS is essential for predicting the effectiveness of these vaccines. However, no epidemiological studies on Alps genotype have been conducted in Korea. This study aimed to fill this gap by investigating the distribution and characteristics of the alp genotype in domestic clinical strains.

Materials and methods: We analyzed 386 GBS strains isolated from various clinical specimens between April 2000 and November 2018. The serotype of each strain was initially verified using a slide latex agglutination reaction, then confirmed by polymerase chain reaction to determine the presence of the genes bca, rib, alp1, alp2, alp3, and alp4 associated with Alps. Strains were then classified as invasive or non-invasive based on the type of clinical specimen. The distribution of serotypes and alp genotype was analyzed across these classifications.

Results: We analyzed 386 bacterial strains to assess their clinical characteristics, serotypes, and alp genotype distributions. Of these strains, 47.1% (182 strains) were invasive primarily isolated from blood samples (43.3%, 167 strains), whereas non-invasive strains were more frequently isolated from sites such as the vagina and urethra. Serotype III was the most prevalent across both invasive and non-invasive strains, comprising 28.2% (109 strains) of all isolates. Notably, 79.5% (307 strains) of all isolates were encompassed by the hexavalent vaccine (serotype Ia, Ib, II, III, and V) formulations. Furthermore, the rib genotype was the most common, detected in 39.4% (152 strains) of all isolates, with a higher prevalence in non-invasive samples (44.1%, 90 strains).

Conclusion: Although the distribution of alp genotypes differed between invasive and non-invasive strains, the proportion of bca and rib was substantial. Therefore, Alp protein vaccine containing Rib and Cα antigens is expected to provide protection against prevalent GBS strains in Korea. Additional epidemiological studies on GBS vaginal colonization in pregnant women and invasive neonatal strains are needed to support early neonatal sepsis prevention in these high-risk groups.

求助全文
通过发布文献求助,成功后即可免费获取论文全文。 去求助
来源期刊
Infection and Chemotherapy
Infection and Chemotherapy INFECTIOUS DISEASES-
CiteScore
6.60
自引率
11.90%
发文量
71
审稿时长
22 weeks
×
引用
GB/T 7714-2015
复制
MLA
复制
APA
复制
导出至
BibTeX EndNote RefMan NoteFirst NoteExpress
×
提示
您的信息不完整,为了账户安全,请先补充。
现在去补充
×
提示
您因"违规操作"
具体请查看互助需知
我知道了
×
提示
确定
请完成安全验证×
copy
已复制链接
快去分享给好友吧!
我知道了
右上角分享
点击右上角分享
0
联系我们:info@booksci.cn Book学术提供免费学术资源搜索服务,方便国内外学者检索中英文文献。致力于提供最便捷和优质的服务体验。 Copyright © 2023 布克学术 All rights reserved.
京ICP备2023020795号-1
ghs 京公网安备 11010802042870号
Book学术文献互助
Book学术文献互助群
群 号:604180095
Book学术官方微信