与耐药肺结核发病率和不良治疗结果相关的危险因素:一项病例对照研究

IF 5 4区 医学 Q1 MEDICINE, RESEARCH & EXPERIMENTAL
Precision Clinical Medicine Pub Date : 2025-04-18 eCollection Date: 2025-06-01 DOI:10.1093/pcmedi/pbaf008
Changshu Li, Shufan Liang, Xue Wang, Su Lui, Chengdi Wang
{"title":"与耐药肺结核发病率和不良治疗结果相关的危险因素:一项病例对照研究","authors":"Changshu Li, Shufan Liang, Xue Wang, Su Lui, Chengdi Wang","doi":"10.1093/pcmedi/pbaf008","DOIUrl":null,"url":null,"abstract":"<p><strong>Objectives: </strong>To investigate the risk factors in patients with drug-resistant tuberculosis (DR-TB) and clinical characteristics related to unfavorable anti-TB treatment outcomes.</p><p><strong>Methods: </strong>A total of 961 pulmonary tuberculosis (TB) patients were included at West China Hospital of Sichuan University from January 2008 to November 2023. We analyzed the differences of clinical characteristics between DR-TB and drug-sensitive tuberculosis (DS-TB), and then compared these features in DR-TB patients with different outcomes. Multivariable logistic regression models were employed to quantify risk factors associated with DR-TB and adverse treatment outcomes.</p><p><strong>Results: </strong>Among 961 pulmonary TB patients, a history of anti-TB treatment [odds ratio (OR), 3.289; 95% confidence interval (CI), 2.359-4.604] and CT-scan cavities (OR, 1.512; 95% CI, 1.052-2.168) increased DR-TB risk. A total of 214 DR-TB patients were followed for a median of 24.5 months. Among them, 116/214 (54.2%) patients achieved favorable outcomes. Prior anti-TB treatment (OR, 1.927; 95% CI, 1.033-3.640), multidrug-resistant tuberculosis (MDR-TB) (OR, 2.558; 95% CI, 1.272-5.252), positive sputum bacteriology (OR, 2.116; 95% CI, 1.100-4.134), and pleural effusion (OR, 2.097; 95% CI, 1.093-4.082) were associated with unfavorable outcomes, while isoniazid-resistant TB patients showed better outcomes (OR, 0.401; 95% CI, 0.181-0.853). The clinical model for unfavorable outcome prediction of DR-TB achieved an area under the curve (AUC) of 0.754 (95% CI, 0.690-0.818).</p><p><strong>Conclusions: </strong>Treatment history of anti-TB not only increases the risk of the emergence of DR-TB, but also potentially leads to treatment failure during re-treatment in DR-TB patients. Drug resistance subtypes, radiological characteristics, and the results of sputum smear or culture may affect the treatment outcome of DR-TB.</p>","PeriodicalId":33608,"journal":{"name":"Precision Clinical Medicine","volume":"8 2","pages":"pbaf008"},"PeriodicalIF":5.0000,"publicationDate":"2025-04-18","publicationTypes":"Journal Article","fieldsOfStudy":null,"isOpenAccess":false,"openAccessPdf":"https://www.ncbi.nlm.nih.gov/pmc/articles/PMC12147716/pdf/","citationCount":"0","resultStr":"{\"title\":\"Risk factors associated with morbidity and unfavorable treatment outcome in drug-resistant pulmonary tuberculosis: a case-control study.\",\"authors\":\"Changshu Li, Shufan Liang, Xue Wang, Su Lui, Chengdi Wang\",\"doi\":\"10.1093/pcmedi/pbaf008\",\"DOIUrl\":null,\"url\":null,\"abstract\":\"<p><strong>Objectives: </strong>To investigate the risk factors in patients with drug-resistant tuberculosis (DR-TB) and clinical characteristics related to unfavorable anti-TB treatment outcomes.</p><p><strong>Methods: </strong>A total of 961 pulmonary tuberculosis (TB) patients were included at West China Hospital of Sichuan University from January 2008 to November 2023. We analyzed the differences of clinical characteristics between DR-TB and drug-sensitive tuberculosis (DS-TB), and then compared these features in DR-TB patients with different outcomes. Multivariable logistic regression models were employed to quantify risk factors associated with DR-TB and adverse treatment outcomes.</p><p><strong>Results: </strong>Among 961 pulmonary TB patients, a history of anti-TB treatment [odds ratio (OR), 3.289; 95% confidence interval (CI), 2.359-4.604] and CT-scan cavities (OR, 1.512; 95% CI, 1.052-2.168) increased DR-TB risk. A total of 214 DR-TB patients were followed for a median of 24.5 months. Among them, 116/214 (54.2%) patients achieved favorable outcomes. Prior anti-TB treatment (OR, 1.927; 95% CI, 1.033-3.640), multidrug-resistant tuberculosis (MDR-TB) (OR, 2.558; 95% CI, 1.272-5.252), positive sputum bacteriology (OR, 2.116; 95% CI, 1.100-4.134), and pleural effusion (OR, 2.097; 95% CI, 1.093-4.082) were associated with unfavorable outcomes, while isoniazid-resistant TB patients showed better outcomes (OR, 0.401; 95% CI, 0.181-0.853). The clinical model for unfavorable outcome prediction of DR-TB achieved an area under the curve (AUC) of 0.754 (95% CI, 0.690-0.818).</p><p><strong>Conclusions: </strong>Treatment history of anti-TB not only increases the risk of the emergence of DR-TB, but also potentially leads to treatment failure during re-treatment in DR-TB patients. Drug resistance subtypes, radiological characteristics, and the results of sputum smear or culture may affect the treatment outcome of DR-TB.</p>\",\"PeriodicalId\":33608,\"journal\":{\"name\":\"Precision Clinical Medicine\",\"volume\":\"8 2\",\"pages\":\"pbaf008\"},\"PeriodicalIF\":5.0000,\"publicationDate\":\"2025-04-18\",\"publicationTypes\":\"Journal Article\",\"fieldsOfStudy\":null,\"isOpenAccess\":false,\"openAccessPdf\":\"https://www.ncbi.nlm.nih.gov/pmc/articles/PMC12147716/pdf/\",\"citationCount\":\"0\",\"resultStr\":null,\"platform\":\"Semanticscholar\",\"paperid\":null,\"PeriodicalName\":\"Precision Clinical Medicine\",\"FirstCategoryId\":\"3\",\"ListUrlMain\":\"https://doi.org/10.1093/pcmedi/pbaf008\",\"RegionNum\":4,\"RegionCategory\":\"医学\",\"ArticlePicture\":[],\"TitleCN\":null,\"AbstractTextCN\":null,\"PMCID\":null,\"EPubDate\":\"2025/6/1 0:00:00\",\"PubModel\":\"eCollection\",\"JCR\":\"Q1\",\"JCRName\":\"MEDICINE, RESEARCH & EXPERIMENTAL\",\"Score\":null,\"Total\":0}","platform":"Semanticscholar","paperid":null,"PeriodicalName":"Precision Clinical Medicine","FirstCategoryId":"3","ListUrlMain":"https://doi.org/10.1093/pcmedi/pbaf008","RegionNum":4,"RegionCategory":"医学","ArticlePicture":[],"TitleCN":null,"AbstractTextCN":null,"PMCID":null,"EPubDate":"2025/6/1 0:00:00","PubModel":"eCollection","JCR":"Q1","JCRName":"MEDICINE, RESEARCH & EXPERIMENTAL","Score":null,"Total":0}
引用次数: 0

摘要

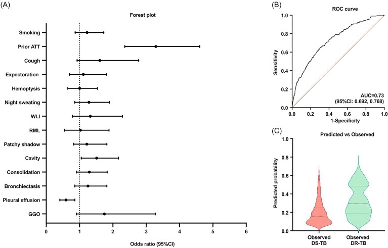
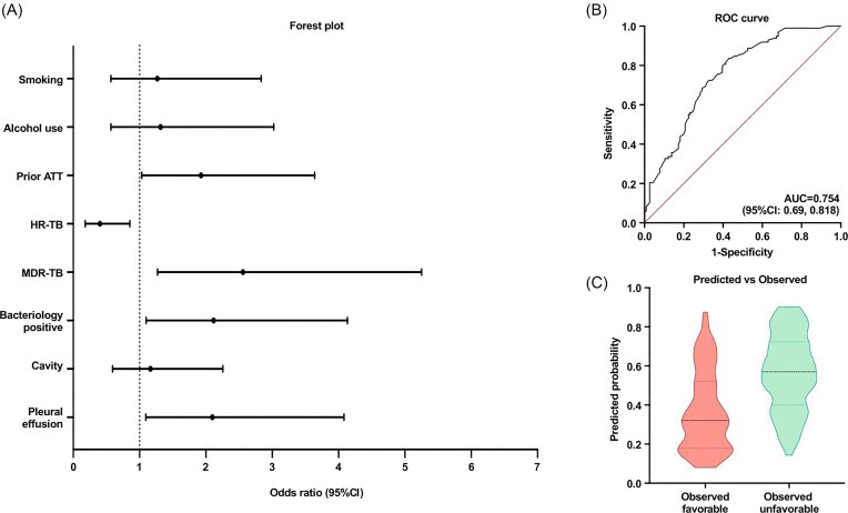
目的:探讨耐药结核病(DR-TB)患者的危险因素及影响抗结核治疗效果的临床特点。方法:2008年1月至2023年11月四川大学华西医院肺结核患者961例。我们分析了耐药结核病和药物敏感性结核病(DS-TB)的临床特征差异,并比较了不同结局的耐药结核病患者的这些特征。采用多变量logistic回归模型量化与耐药结核病和不良治疗结果相关的危险因素。结果:961例肺结核患者中,有抗结核治疗史[优势比(OR): 3.289;95%可信区间(CI), 2.359-4.604)和ct扫描空腔(OR, 1.512;95% CI, 1.052-2.168)增加耐药结核病风险。共有214名耐药结核病患者接受了中位24.5个月的随访。其中116/214例(54.2%)患者预后良好。既往抗结核治疗(OR, 1.927;95% CI, 1.033-3.640),耐多药结核病(MDR-TB) (OR, 2.558;95% CI, 1.272-5.252),痰菌学阳性(OR, 2.116;95% CI, 1.100-4.134)和胸腔积液(OR, 2.097;95% CI, 1.093-4.082)与不良结果相关,而异烟肼耐药结核病患者的预后较好(OR, 0.401;95% ci, 0.181-0.853)。预测耐药结核病不良结局的临床模型曲线下面积(AUC)为0.754 (95% CI, 0.690-0.818)。结论:抗结核治疗史不仅增加了耐药结核的发生风险,而且可能导致耐药结核患者在再次治疗时治疗失败。耐药亚型、放射学特征以及痰涂片或培养结果可能影响耐药结核病的治疗结果。
本文章由计算机程序翻译,如有差异,请以英文原文为准。

Risk factors associated with morbidity and unfavorable treatment outcome in drug-resistant pulmonary tuberculosis: a case-control study.

Risk factors associated with morbidity and unfavorable treatment outcome in drug-resistant pulmonary tuberculosis: a case-control study.

Risk factors associated with morbidity and unfavorable treatment outcome in drug-resistant pulmonary tuberculosis: a case-control study.

Risk factors associated with morbidity and unfavorable treatment outcome in drug-resistant pulmonary tuberculosis: a case-control study.

Objectives: To investigate the risk factors in patients with drug-resistant tuberculosis (DR-TB) and clinical characteristics related to unfavorable anti-TB treatment outcomes.

Methods: A total of 961 pulmonary tuberculosis (TB) patients were included at West China Hospital of Sichuan University from January 2008 to November 2023. We analyzed the differences of clinical characteristics between DR-TB and drug-sensitive tuberculosis (DS-TB), and then compared these features in DR-TB patients with different outcomes. Multivariable logistic regression models were employed to quantify risk factors associated with DR-TB and adverse treatment outcomes.

Results: Among 961 pulmonary TB patients, a history of anti-TB treatment [odds ratio (OR), 3.289; 95% confidence interval (CI), 2.359-4.604] and CT-scan cavities (OR, 1.512; 95% CI, 1.052-2.168) increased DR-TB risk. A total of 214 DR-TB patients were followed for a median of 24.5 months. Among them, 116/214 (54.2%) patients achieved favorable outcomes. Prior anti-TB treatment (OR, 1.927; 95% CI, 1.033-3.640), multidrug-resistant tuberculosis (MDR-TB) (OR, 2.558; 95% CI, 1.272-5.252), positive sputum bacteriology (OR, 2.116; 95% CI, 1.100-4.134), and pleural effusion (OR, 2.097; 95% CI, 1.093-4.082) were associated with unfavorable outcomes, while isoniazid-resistant TB patients showed better outcomes (OR, 0.401; 95% CI, 0.181-0.853). The clinical model for unfavorable outcome prediction of DR-TB achieved an area under the curve (AUC) of 0.754 (95% CI, 0.690-0.818).

Conclusions: Treatment history of anti-TB not only increases the risk of the emergence of DR-TB, but also potentially leads to treatment failure during re-treatment in DR-TB patients. Drug resistance subtypes, radiological characteristics, and the results of sputum smear or culture may affect the treatment outcome of DR-TB.

求助全文
通过发布文献求助,成功后即可免费获取论文全文。 去求助
来源期刊
Precision Clinical Medicine
Precision Clinical Medicine MEDICINE, RESEARCH & EXPERIMENTAL-
CiteScore
10.80
自引率
0.00%
发文量
26
审稿时长
5 weeks
期刊介绍: Precision Clinical Medicine (PCM) is an international, peer-reviewed, open access journal that provides timely publication of original research articles, case reports, reviews, editorials, and perspectives across the spectrum of precision medicine. The journal's mission is to deliver new theories, methods, and evidence that enhance disease diagnosis, treatment, prevention, and prognosis, thereby establishing a vital communication platform for clinicians and researchers that has the potential to transform medical practice. PCM encompasses all facets of precision medicine, which involves personalized approaches to diagnosis, treatment, and prevention, tailored to individual patients or patient subgroups based on their unique genetic, phenotypic, or psychosocial profiles. The clinical conditions addressed by the journal include a wide range of areas such as cancer, infectious diseases, inherited diseases, complex diseases, and rare diseases.
×
引用
GB/T 7714-2015
复制
MLA
复制
APA
复制
导出至
BibTeX EndNote RefMan NoteFirst NoteExpress
×
提示
您的信息不完整,为了账户安全,请先补充。
现在去补充
×
提示
您因"违规操作"
具体请查看互助需知
我知道了
×
提示
确定
请完成安全验证×
copy
已复制链接
快去分享给好友吧!
我知道了
右上角分享
点击右上角分享
0
联系我们:info@booksci.cn Book学术提供免费学术资源搜索服务,方便国内外学者检索中英文文献。致力于提供最便捷和优质的服务体验。 Copyright © 2023 布克学术 All rights reserved.
京ICP备2023020795号-1
ghs 京公网安备 11010802042870号
Book学术文献互助
Book学术文献互助群
群 号:604180095
Book学术官方微信