护士对肠易激综合征进行肠道引导催眠治疗:一项为期两年的随访研究。

IF 6.7 2区 医学 Q1 GASTROENTEROLOGY & HEPATOLOGY
United European Gastroenterology Journal Pub Date : 2025-09-01 Epub Date: 2025-06-09 DOI:10.1002/ueg2.70060
Jenny Lövdahl, Michaela Blomqvist-Storm, Olafur S Palsson, Gisela Ringström, Hans Törnblom, Magnus Simrén, Inês A Trindade
{"title":"护士对肠易激综合征进行肠道引导催眠治疗:一项为期两年的随访研究。","authors":"Jenny Lövdahl, Michaela Blomqvist-Storm, Olafur S Palsson, Gisela Ringström, Hans Törnblom, Magnus Simrén, Inês A Trindade","doi":"10.1002/ueg2.70060","DOIUrl":null,"url":null,"abstract":"<p><strong>Background: </strong>Gut-directed hypnotherapy is effective for irritable bowel syndrome (IBS) and a few studies have reported long-lasting therapeutic effects following intervention. No previous studies have evaluated the long-term effects of nurse-administered hypnotherapy.</p><p><strong>Aims: </strong>We aimed to investigate the long-term effects of nurse-administered gut-directed hypnotherapy for IBS and identify factors associated with symptom improvement. Furthermore, we aimed to compare treatment effects between individual and group hypnotherapy.</p><p><strong>Methods: </strong>A 2-year follow-up study including 289 patients with IBS who had completed a 12-week hypnotherapy program (individually or in groups) was conducted. Data were collected at baseline, and at 6-month-, 1-year- and 2-year follow-ups. Irritable bowel syndrome and extracolonic symptom severity (IBS-SSS), gastrointestinal-specific anxiety (VSI), and anxiety and depressive symptoms (HADS) were assessed. Patients reporting a reduction ≥ 50 points (IBS-SSS) were classified as treatment responders.</p><p><strong>Results: </strong>The 2-year follow-up was completed by 207 patients. The proportion of responders at post-treatment was 64.3%, 62.8% at the 6-month follow-up, 64.7% at the 1-year follow-up, and 61.8% at the 2-year follow-up. The severity of IBS symptoms, extracolonic and psychological symptoms were all reduced post-treatment, and this effect lasted over the 2-year follow-up period (p < 0.001). Younger age, individual hypnotherapy, and severe irritable bowel syndrome symptoms at baseline predicted a better response to treatment (R<sup>2</sup> = 0.16).</p><p><strong>Conclusions: </strong>Nurse-administered gut-directed hypnotherapy is an effective treatment for IBS with long-lasting symptom improvements. Younger age, severe irritable bowel syndrome symptoms, and individual treatment might be important factors associated with effectiveness (ClinicalTrials.gov study protocol IDs: NCT06167018, NCT03432078).</p><p><strong>Trial registration: </strong>ClinicalTrials.gov study protocol IDs: NCT06167018, NCT03432078.</p>","PeriodicalId":23444,"journal":{"name":"United European Gastroenterology Journal","volume":" ","pages":"1307-1317"},"PeriodicalIF":6.7000,"publicationDate":"2025-09-01","publicationTypes":"Journal Article","fieldsOfStudy":null,"isOpenAccess":false,"openAccessPdf":"https://www.ncbi.nlm.nih.gov/pmc/articles/PMC12463711/pdf/","citationCount":"0","resultStr":"{\"title\":\"Nurse-Administered Gut-Directed Hypnotherapy for Irritable Bowel Syndrome: A Two-Year Follow-Up Study.\",\"authors\":\"Jenny Lövdahl, Michaela Blomqvist-Storm, Olafur S Palsson, Gisela Ringström, Hans Törnblom, Magnus Simrén, Inês A Trindade\",\"doi\":\"10.1002/ueg2.70060\",\"DOIUrl\":null,\"url\":null,\"abstract\":\"<p><strong>Background: </strong>Gut-directed hypnotherapy is effective for irritable bowel syndrome (IBS) and a few studies have reported long-lasting therapeutic effects following intervention. No previous studies have evaluated the long-term effects of nurse-administered hypnotherapy.</p><p><strong>Aims: </strong>We aimed to investigate the long-term effects of nurse-administered gut-directed hypnotherapy for IBS and identify factors associated with symptom improvement. Furthermore, we aimed to compare treatment effects between individual and group hypnotherapy.</p><p><strong>Methods: </strong>A 2-year follow-up study including 289 patients with IBS who had completed a 12-week hypnotherapy program (individually or in groups) was conducted. Data were collected at baseline, and at 6-month-, 1-year- and 2-year follow-ups. Irritable bowel syndrome and extracolonic symptom severity (IBS-SSS), gastrointestinal-specific anxiety (VSI), and anxiety and depressive symptoms (HADS) were assessed. Patients reporting a reduction ≥ 50 points (IBS-SSS) were classified as treatment responders.</p><p><strong>Results: </strong>The 2-year follow-up was completed by 207 patients. The proportion of responders at post-treatment was 64.3%, 62.8% at the 6-month follow-up, 64.7% at the 1-year follow-up, and 61.8% at the 2-year follow-up. The severity of IBS symptoms, extracolonic and psychological symptoms were all reduced post-treatment, and this effect lasted over the 2-year follow-up period (p < 0.001). Younger age, individual hypnotherapy, and severe irritable bowel syndrome symptoms at baseline predicted a better response to treatment (R<sup>2</sup> = 0.16).</p><p><strong>Conclusions: </strong>Nurse-administered gut-directed hypnotherapy is an effective treatment for IBS with long-lasting symptom improvements. Younger age, severe irritable bowel syndrome symptoms, and individual treatment might be important factors associated with effectiveness (ClinicalTrials.gov study protocol IDs: NCT06167018, NCT03432078).</p><p><strong>Trial registration: </strong>ClinicalTrials.gov study protocol IDs: NCT06167018, NCT03432078.</p>\",\"PeriodicalId\":23444,\"journal\":{\"name\":\"United European Gastroenterology Journal\",\"volume\":\" \",\"pages\":\"1307-1317\"},\"PeriodicalIF\":6.7000,\"publicationDate\":\"2025-09-01\",\"publicationTypes\":\"Journal Article\",\"fieldsOfStudy\":null,\"isOpenAccess\":false,\"openAccessPdf\":\"https://www.ncbi.nlm.nih.gov/pmc/articles/PMC12463711/pdf/\",\"citationCount\":\"0\",\"resultStr\":null,\"platform\":\"Semanticscholar\",\"paperid\":null,\"PeriodicalName\":\"United European Gastroenterology Journal\",\"FirstCategoryId\":\"3\",\"ListUrlMain\":\"https://doi.org/10.1002/ueg2.70060\",\"RegionNum\":2,\"RegionCategory\":\"医学\",\"ArticlePicture\":[],\"TitleCN\":null,\"AbstractTextCN\":null,\"PMCID\":null,\"EPubDate\":\"2025/6/9 0:00:00\",\"PubModel\":\"Epub\",\"JCR\":\"Q1\",\"JCRName\":\"GASTROENTEROLOGY & HEPATOLOGY\",\"Score\":null,\"Total\":0}","platform":"Semanticscholar","paperid":null,"PeriodicalName":"United European Gastroenterology Journal","FirstCategoryId":"3","ListUrlMain":"https://doi.org/10.1002/ueg2.70060","RegionNum":2,"RegionCategory":"医学","ArticlePicture":[],"TitleCN":null,"AbstractTextCN":null,"PMCID":null,"EPubDate":"2025/6/9 0:00:00","PubModel":"Epub","JCR":"Q1","JCRName":"GASTROENTEROLOGY & HEPATOLOGY","Score":null,"Total":0}
引用次数: 0

摘要

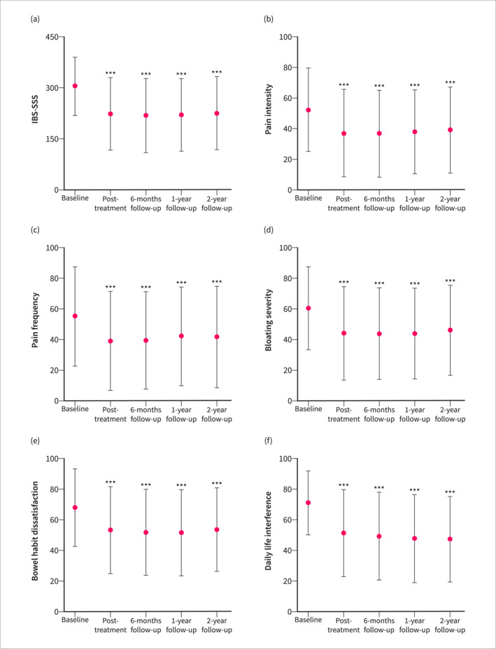
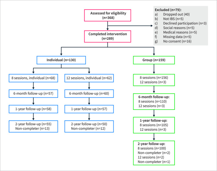
背景:肠道导向催眠疗法对肠易激综合征(IBS)有效,一些研究报道了干预后的持久治疗效果。以前没有研究评估过护士催眠疗法的长期效果。目的:我们的目的是调查护士指导的肠引导催眠治疗肠易激综合征的长期效果,并确定与症状改善相关的因素。此外,我们旨在比较个体和团体催眠治疗的治疗效果。方法:对289例IBS患者进行为期2年的随访研究,这些患者完成了为期12周的催眠治疗计划(单独或小组)。在基线、6个月、1年和2年随访时收集数据。评估肠易激综合征和结肠外症状严重程度(IBS-SSS)、胃肠道特异性焦虑(VSI)以及焦虑和抑郁症状(HADS)。报告减少≥50分(IBS-SSS)的患者被归类为治疗应答者。结果:207例患者完成2年随访。治疗后应答者比例为64.3%,6个月随访62.8%,1年随访64.7%,2年随访61.8%。治疗后IBS症状、结肠外症状和心理症状的严重程度均有所减轻,且这种效果持续2年(p 2 = 0.16)。结论:护士指导下的肠道催眠疗法是治疗肠易激综合征的有效方法,并能持久改善症状。年龄较小、严重肠易激综合征症状和个体治疗可能是与有效性相关的重要因素(ClinicalTrials.gov研究方案id: NCT06167018, NCT03432078)。试验注册:ClinicalTrials.gov研究方案id: NCT06167018, NCT03432078。
本文章由计算机程序翻译,如有差异,请以英文原文为准。

Nurse-Administered Gut-Directed Hypnotherapy for Irritable Bowel Syndrome: A Two-Year Follow-Up Study.

Nurse-Administered Gut-Directed Hypnotherapy for Irritable Bowel Syndrome: A Two-Year Follow-Up Study.

Nurse-Administered Gut-Directed Hypnotherapy for Irritable Bowel Syndrome: A Two-Year Follow-Up Study.

Nurse-Administered Gut-Directed Hypnotherapy for Irritable Bowel Syndrome: A Two-Year Follow-Up Study.

Background: Gut-directed hypnotherapy is effective for irritable bowel syndrome (IBS) and a few studies have reported long-lasting therapeutic effects following intervention. No previous studies have evaluated the long-term effects of nurse-administered hypnotherapy.

Aims: We aimed to investigate the long-term effects of nurse-administered gut-directed hypnotherapy for IBS and identify factors associated with symptom improvement. Furthermore, we aimed to compare treatment effects between individual and group hypnotherapy.

Methods: A 2-year follow-up study including 289 patients with IBS who had completed a 12-week hypnotherapy program (individually or in groups) was conducted. Data were collected at baseline, and at 6-month-, 1-year- and 2-year follow-ups. Irritable bowel syndrome and extracolonic symptom severity (IBS-SSS), gastrointestinal-specific anxiety (VSI), and anxiety and depressive symptoms (HADS) were assessed. Patients reporting a reduction ≥ 50 points (IBS-SSS) were classified as treatment responders.

Results: The 2-year follow-up was completed by 207 patients. The proportion of responders at post-treatment was 64.3%, 62.8% at the 6-month follow-up, 64.7% at the 1-year follow-up, and 61.8% at the 2-year follow-up. The severity of IBS symptoms, extracolonic and psychological symptoms were all reduced post-treatment, and this effect lasted over the 2-year follow-up period (p < 0.001). Younger age, individual hypnotherapy, and severe irritable bowel syndrome symptoms at baseline predicted a better response to treatment (R2 = 0.16).

Conclusions: Nurse-administered gut-directed hypnotherapy is an effective treatment for IBS with long-lasting symptom improvements. Younger age, severe irritable bowel syndrome symptoms, and individual treatment might be important factors associated with effectiveness (ClinicalTrials.gov study protocol IDs: NCT06167018, NCT03432078).

Trial registration: ClinicalTrials.gov study protocol IDs: NCT06167018, NCT03432078.

求助全文
通过发布文献求助,成功后即可免费获取论文全文。 去求助
来源期刊
United European Gastroenterology Journal
United European Gastroenterology Journal GASTROENTEROLOGY & HEPATOLOGY-
CiteScore
10.50
自引率
13.30%
发文量
147
期刊介绍: United European Gastroenterology Journal (UEG Journal) is the official Journal of the United European Gastroenterology (UEG), a professional non-profit organisation combining all the leading European societies concerned with digestive disease. UEG’s member societies represent over 22,000 specialists working across medicine, surgery, paediatrics, GI oncology and endoscopy, which makes UEG a unique platform for collaboration and the exchange of knowledge.
×
引用
GB/T 7714-2015
复制
MLA
复制
APA
复制
导出至
BibTeX EndNote RefMan NoteFirst NoteExpress
×
提示
您的信息不完整,为了账户安全,请先补充。
现在去补充
×
提示
您因"违规操作"
具体请查看互助需知
我知道了
×
提示
确定
请完成安全验证×
copy
已复制链接
快去分享给好友吧!
我知道了
右上角分享
点击右上角分享
0
联系我们:info@booksci.cn Book学术提供免费学术资源搜索服务,方便国内外学者检索中英文文献。致力于提供最便捷和优质的服务体验。 Copyright © 2023 布克学术 All rights reserved.
京ICP备2023020795号-1
ghs 京公网安备 11010802042870号
Book学术文献互助
Book学术文献互助群
群 号:604180095
Book学术官方微信