Sprague-Dawley大鼠产前长期暴露于草甘膦和草甘膦基除草剂的致癌作用。

IF 5.3 2区 环境科学与生态学 Q1 ENVIRONMENTAL SCIENCES
Simona Panzacchi, Eva Tibaldi, Luana De Angelis, Laura Falcioni, Rita Giovannini, Federica Gnudi, Martina Iuliani, Marco Manservigi, Fabiana Manservisi, Isabella Manzoli, Ilaria Menghetti, Rita Montella, Roberta Noferini, Daria Sgargi, Valentina Strollo, Francesca Truzzi, Michael N Antoniou, Jia Chen, Giovanni Dinelli, Stefano Lorenzetti, Alberto Mantovani, Robin Mesnage, Melissa J Perry, Andrea Vornoli, Philip J Landrigan, Fiorella Belpoggi, Daniele Mandrioli
{"title":"Sprague-Dawley大鼠产前长期暴露于草甘膦和草甘膦基除草剂的致癌作用。","authors":"Simona Panzacchi, Eva Tibaldi, Luana De Angelis, Laura Falcioni, Rita Giovannini, Federica Gnudi, Martina Iuliani, Marco Manservigi, Fabiana Manservisi, Isabella Manzoli, Ilaria Menghetti, Rita Montella, Roberta Noferini, Daria Sgargi, Valentina Strollo, Francesca Truzzi, Michael N Antoniou, Jia Chen, Giovanni Dinelli, Stefano Lorenzetti, Alberto Mantovani, Robin Mesnage, Melissa J Perry, Andrea Vornoli, Philip J Landrigan, Fiorella Belpoggi, Daniele Mandrioli","doi":"10.1186/s12940-025-01187-2","DOIUrl":null,"url":null,"abstract":"<p><strong>Background: </strong>Glyphosate-based herbicides (GBHs) are the world's most widely used weed control agents. Public health concerns have increased since the International Agency for Research on Cancer (IARC) classified glyphosate as a probable human carcinogen in 2015. To further investigate the health effects of glyphosate and GBHs, the Ramazzini Institute launched the Global Glyphosate Study (GGS), which is designed to test a wide range of toxicological outcomes. Reported here are the results of the carcinogenicity arm of the GGS.</p><p><strong>Methods: </strong>Glyphosate and two GBHs, Roundup Bioflow used in the European Union (EU) and RangerPro used in the U.S., were administered to male and female Sprague-Dawley (SD) rats, beginning at gestational day 6 (via maternal exposure) through 104 weeks of age. Glyphosate was administered through drinking water at three doses: the EU acceptable daily intake (ADI) of 0.5 mg/kg body weight/day, 5 mg/kg body weight/day and the EU no-observed adverse effect level (NOAEL) of 50 mg/kg body weight/day. The two GBH formulations were administered at the same glyphosate-equivalent doses.</p><p><strong>Results: </strong>In all 3 treatment groups, statistically significant dose-related increased trends or increased incidences of benign and malignant tumors at multiple anatomic sites were observed compared to historical and concurrent controls. These tumors arose in haemolymphoreticular tissues (leukemia), skin, liver, thyroid, nervous system, ovary, mammary gland, adrenal glands, kidney, urinary bladder, bone, endocrine pancreas, uterus and spleen (hemangiosarcoma). Increased incidences occurred in both sexes. Most of these involved tumors that are rare in SD rats (background incidence < 1%) with 40% of leukemias deaths in the treated groups occurring before 52 weeks of age and increased early deaths were also observed for other solid tumors.</p><p><strong>Conclusions: </strong>Glyphosate and GBHs at exposure levels corresponding to the EU ADI and the EU NOAEL caused dose-related increases in incidence of multiple benign and malignant tumors in SD rats of both sexes. Early-life onset and mortality were observed for multiple tumors. These results provide robust evidence supporting IARC's conclusion that there is \"sufficient evidence of carcinogenicity [of glyphosate] in experimental animals\". Furthermore, our data are consistent with epidemiological evidence on the carcinogenicity of glyphosate and GBHs.</p>","PeriodicalId":11686,"journal":{"name":"Environmental Health","volume":"24 1","pages":"36"},"PeriodicalIF":5.3000,"publicationDate":"2025-06-10","publicationTypes":"Journal Article","fieldsOfStudy":null,"isOpenAccess":false,"openAccessPdf":"https://www.ncbi.nlm.nih.gov/pmc/articles/PMC12150505/pdf/","citationCount":"0","resultStr":"{\"title\":\"Carcinogenic effects of long-term exposure from prenatal life to glyphosate and glyphosate-based herbicides in Sprague-Dawley rats.\",\"authors\":\"Simona Panzacchi, Eva Tibaldi, Luana De Angelis, Laura Falcioni, Rita Giovannini, Federica Gnudi, Martina Iuliani, Marco Manservigi, Fabiana Manservisi, Isabella Manzoli, Ilaria Menghetti, Rita Montella, Roberta Noferini, Daria Sgargi, Valentina Strollo, Francesca Truzzi, Michael N Antoniou, Jia Chen, Giovanni Dinelli, Stefano Lorenzetti, Alberto Mantovani, Robin Mesnage, Melissa J Perry, Andrea Vornoli, Philip J Landrigan, Fiorella Belpoggi, Daniele Mandrioli\",\"doi\":\"10.1186/s12940-025-01187-2\",\"DOIUrl\":null,\"url\":null,\"abstract\":\"<p><strong>Background: </strong>Glyphosate-based herbicides (GBHs) are the world's most widely used weed control agents. Public health concerns have increased since the International Agency for Research on Cancer (IARC) classified glyphosate as a probable human carcinogen in 2015. To further investigate the health effects of glyphosate and GBHs, the Ramazzini Institute launched the Global Glyphosate Study (GGS), which is designed to test a wide range of toxicological outcomes. Reported here are the results of the carcinogenicity arm of the GGS.</p><p><strong>Methods: </strong>Glyphosate and two GBHs, Roundup Bioflow used in the European Union (EU) and RangerPro used in the U.S., were administered to male and female Sprague-Dawley (SD) rats, beginning at gestational day 6 (via maternal exposure) through 104 weeks of age. Glyphosate was administered through drinking water at three doses: the EU acceptable daily intake (ADI) of 0.5 mg/kg body weight/day, 5 mg/kg body weight/day and the EU no-observed adverse effect level (NOAEL) of 50 mg/kg body weight/day. The two GBH formulations were administered at the same glyphosate-equivalent doses.</p><p><strong>Results: </strong>In all 3 treatment groups, statistically significant dose-related increased trends or increased incidences of benign and malignant tumors at multiple anatomic sites were observed compared to historical and concurrent controls. These tumors arose in haemolymphoreticular tissues (leukemia), skin, liver, thyroid, nervous system, ovary, mammary gland, adrenal glands, kidney, urinary bladder, bone, endocrine pancreas, uterus and spleen (hemangiosarcoma). Increased incidences occurred in both sexes. Most of these involved tumors that are rare in SD rats (background incidence < 1%) with 40% of leukemias deaths in the treated groups occurring before 52 weeks of age and increased early deaths were also observed for other solid tumors.</p><p><strong>Conclusions: </strong>Glyphosate and GBHs at exposure levels corresponding to the EU ADI and the EU NOAEL caused dose-related increases in incidence of multiple benign and malignant tumors in SD rats of both sexes. Early-life onset and mortality were observed for multiple tumors. These results provide robust evidence supporting IARC's conclusion that there is \\\"sufficient evidence of carcinogenicity [of glyphosate] in experimental animals\\\". Furthermore, our data are consistent with epidemiological evidence on the carcinogenicity of glyphosate and GBHs.</p>\",\"PeriodicalId\":11686,\"journal\":{\"name\":\"Environmental Health\",\"volume\":\"24 1\",\"pages\":\"36\"},\"PeriodicalIF\":5.3000,\"publicationDate\":\"2025-06-10\",\"publicationTypes\":\"Journal Article\",\"fieldsOfStudy\":null,\"isOpenAccess\":false,\"openAccessPdf\":\"https://www.ncbi.nlm.nih.gov/pmc/articles/PMC12150505/pdf/\",\"citationCount\":\"0\",\"resultStr\":null,\"platform\":\"Semanticscholar\",\"paperid\":null,\"PeriodicalName\":\"Environmental Health\",\"FirstCategoryId\":\"93\",\"ListUrlMain\":\"https://doi.org/10.1186/s12940-025-01187-2\",\"RegionNum\":2,\"RegionCategory\":\"环境科学与生态学\",\"ArticlePicture\":[],\"TitleCN\":null,\"AbstractTextCN\":null,\"PMCID\":null,\"EPubDate\":\"\",\"PubModel\":\"\",\"JCR\":\"Q1\",\"JCRName\":\"ENVIRONMENTAL SCIENCES\",\"Score\":null,\"Total\":0}","platform":"Semanticscholar","paperid":null,"PeriodicalName":"Environmental Health","FirstCategoryId":"93","ListUrlMain":"https://doi.org/10.1186/s12940-025-01187-2","RegionNum":2,"RegionCategory":"环境科学与生态学","ArticlePicture":[],"TitleCN":null,"AbstractTextCN":null,"PMCID":null,"EPubDate":"","PubModel":"","JCR":"Q1","JCRName":"ENVIRONMENTAL SCIENCES","Score":null,"Total":0}
引用次数: 0

摘要

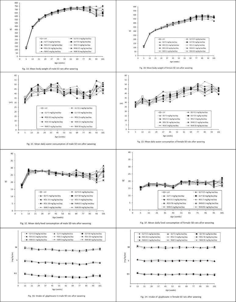
背景:草甘膦除草剂(GBHs)是世界上使用最广泛的杂草控制剂。自2015年国际癌症研究机构(IARC)将草甘膦列为可能的人类致癌物以来,公众对健康的担忧有所增加。为了进一步调查草甘膦和GBHs对健康的影响,拉马齐尼研究所发起了全球草甘膦研究(GGS),旨在测试广泛的毒理学结果。这里报告的是GGS致癌性部门的研究结果。方法:将草甘膦和两种GBHs(欧盟使用的Roundup Bioflow和美国使用的RangerPro)分别施用于雄性和雌性Sprague-Dawley (SD)大鼠,从妊娠第6天开始(通过母体接触)到104周龄。草甘膦通过饮用水以三种剂量给药:欧盟可接受的每日摄入量(ADI)为0.5 mg/kg体重/天,5 mg/kg体重/天,欧盟未观察到的不良反应水平(NOAEL)为50 mg/kg体重/天。两种GBH制剂以相同的草甘膦当量剂量施用。结果:在所有3个治疗组中,与历史和同期对照组相比,在多个解剖部位观察到具有统计学意义的剂量相关的良性和恶性肿瘤发生率增加趋势或增加。这些肿瘤出现在血淋巴网状组织(白血病)、皮肤、肝脏、甲状腺、神经系统、卵巢、乳腺、肾上腺、肾脏、膀胱、骨骼、内分泌胰腺、子宫和脾脏(血管肉瘤)。男女发病率均有所增加。结论:草甘膦和GBHs在符合EU ADI和EU NOAEL的暴露水平下,可导致SD大鼠中多种良恶性肿瘤的发生率呈剂量相关增加。观察多发性肿瘤的早期发病和死亡率。这些结果为IARC的结论提供了强有力的证据,即“有足够的证据表明[草甘膦]对实验动物具有致癌性”。此外,我们的数据与关于草甘膦和GBHs致癌性的流行病学证据一致。
本文章由计算机程序翻译,如有差异,请以英文原文为准。

Carcinogenic effects of long-term exposure from prenatal life to glyphosate and glyphosate-based herbicides in Sprague-Dawley rats.

Carcinogenic effects of long-term exposure from prenatal life to glyphosate and glyphosate-based herbicides in Sprague-Dawley rats.

Carcinogenic effects of long-term exposure from prenatal life to glyphosate and glyphosate-based herbicides in Sprague-Dawley rats.

Carcinogenic effects of long-term exposure from prenatal life to glyphosate and glyphosate-based herbicides in Sprague-Dawley rats.

Background: Glyphosate-based herbicides (GBHs) are the world's most widely used weed control agents. Public health concerns have increased since the International Agency for Research on Cancer (IARC) classified glyphosate as a probable human carcinogen in 2015. To further investigate the health effects of glyphosate and GBHs, the Ramazzini Institute launched the Global Glyphosate Study (GGS), which is designed to test a wide range of toxicological outcomes. Reported here are the results of the carcinogenicity arm of the GGS.

Methods: Glyphosate and two GBHs, Roundup Bioflow used in the European Union (EU) and RangerPro used in the U.S., were administered to male and female Sprague-Dawley (SD) rats, beginning at gestational day 6 (via maternal exposure) through 104 weeks of age. Glyphosate was administered through drinking water at three doses: the EU acceptable daily intake (ADI) of 0.5 mg/kg body weight/day, 5 mg/kg body weight/day and the EU no-observed adverse effect level (NOAEL) of 50 mg/kg body weight/day. The two GBH formulations were administered at the same glyphosate-equivalent doses.

Results: In all 3 treatment groups, statistically significant dose-related increased trends or increased incidences of benign and malignant tumors at multiple anatomic sites were observed compared to historical and concurrent controls. These tumors arose in haemolymphoreticular tissues (leukemia), skin, liver, thyroid, nervous system, ovary, mammary gland, adrenal glands, kidney, urinary bladder, bone, endocrine pancreas, uterus and spleen (hemangiosarcoma). Increased incidences occurred in both sexes. Most of these involved tumors that are rare in SD rats (background incidence < 1%) with 40% of leukemias deaths in the treated groups occurring before 52 weeks of age and increased early deaths were also observed for other solid tumors.

Conclusions: Glyphosate and GBHs at exposure levels corresponding to the EU ADI and the EU NOAEL caused dose-related increases in incidence of multiple benign and malignant tumors in SD rats of both sexes. Early-life onset and mortality were observed for multiple tumors. These results provide robust evidence supporting IARC's conclusion that there is "sufficient evidence of carcinogenicity [of glyphosate] in experimental animals". Furthermore, our data are consistent with epidemiological evidence on the carcinogenicity of glyphosate and GBHs.

求助全文
通过发布文献求助,成功后即可免费获取论文全文。 去求助
来源期刊
Environmental Health
Environmental Health 环境科学-公共卫生、环境卫生与职业卫生
CiteScore
10.10
自引率
1.70%
发文量
115
审稿时长
3.0 months
期刊介绍: Environmental Health publishes manuscripts on all aspects of environmental and occupational medicine and related studies in toxicology and epidemiology. Environmental Health is aimed at scientists and practitioners in all areas of environmental science where human health and well-being are involved, either directly or indirectly. Environmental Health is a public health journal serving the public health community and scientists working on matters of public health interest and importance pertaining to the environment.
×
引用
GB/T 7714-2015
复制
MLA
复制
APA
复制
导出至
BibTeX EndNote RefMan NoteFirst NoteExpress
×
提示
您的信息不完整,为了账户安全,请先补充。
现在去补充
×
提示
您因"违规操作"
具体请查看互助需知
我知道了
×
提示
确定
请完成安全验证×
copy
已复制链接
快去分享给好友吧!
我知道了
右上角分享
点击右上角分享
0
联系我们:info@booksci.cn Book学术提供免费学术资源搜索服务,方便国内外学者检索中英文文献。致力于提供最便捷和优质的服务体验。 Copyright © 2023 布克学术 All rights reserved.
京ICP备2023020795号-1
ghs 京公网安备 11010802042870号
Book学术文献互助
Book学术文献互助群
群 号:604180095
Book学术官方微信