重金属在淡水鱼体内的累积:种类、年龄、性别和寄生虫的作用。

IF 2.2 4区 环境科学与生态学 Q3 ENVIRONMENTAL SCIENCES
Tímea Brázová, Yaroslav Syrota, Mikuláš Oros, Dalibor Uhrovič
{"title":"重金属在淡水鱼体内的累积:种类、年龄、性别和寄生虫的作用。","authors":"Tímea Brázová, Yaroslav Syrota, Mikuláš Oros, Dalibor Uhrovič","doi":"10.1007/s00128-025-04068-z","DOIUrl":null,"url":null,"abstract":"<p><p>The present study investigates the distribution of cadmium, chromium, and mercury levels in sediments, plants, and fish from Zemplínska Šírava, a historically contaminated reservoir in Slovakia. Using fish as bioindicators, we analyzed the impact of factors such as age, gender, ecological group, and parasite burden on heavy metal accumulation. Results revealed that mercury was highest in fish muscle, particularly predatory species, whereas chromium and cadmium were predominantly found in liver tissues. Chromium accumulation was influenced by gender, with females showing higher levels. Older fish exhibit greater cadmium accumulation in liver tissue. Parasite burden was associated with elevated mercury levels in fish muscle. Notably, the cestode Caryophyllaeus laticeps had significantly higher chromium levels than its host, freshwater bream (Abramis brama). This study highlights the important role of fish and parasites in monitoring aquatic contamination and illustrates the complex interplay of biological and environmental factors in heavy metal bioaccumulation.</p>","PeriodicalId":501,"journal":{"name":"Bulletin of Environmental Contamination and Toxicology","volume":"114 6","pages":"92"},"PeriodicalIF":2.2000,"publicationDate":"2025-06-10","publicationTypes":"Journal Article","fieldsOfStudy":null,"isOpenAccess":false,"openAccessPdf":"https://www.ncbi.nlm.nih.gov/pmc/articles/PMC12152064/pdf/","citationCount":"0","resultStr":"{\"title\":\"Heavy Metal Accumulation in Freshwater Fish: The Role of Species, Age, Gender, and Parasites.\",\"authors\":\"Tímea Brázová, Yaroslav Syrota, Mikuláš Oros, Dalibor Uhrovič\",\"doi\":\"10.1007/s00128-025-04068-z\",\"DOIUrl\":null,\"url\":null,\"abstract\":\"<p><p>The present study investigates the distribution of cadmium, chromium, and mercury levels in sediments, plants, and fish from Zemplínska Šírava, a historically contaminated reservoir in Slovakia. Using fish as bioindicators, we analyzed the impact of factors such as age, gender, ecological group, and parasite burden on heavy metal accumulation. Results revealed that mercury was highest in fish muscle, particularly predatory species, whereas chromium and cadmium were predominantly found in liver tissues. Chromium accumulation was influenced by gender, with females showing higher levels. Older fish exhibit greater cadmium accumulation in liver tissue. Parasite burden was associated with elevated mercury levels in fish muscle. Notably, the cestode Caryophyllaeus laticeps had significantly higher chromium levels than its host, freshwater bream (Abramis brama). This study highlights the important role of fish and parasites in monitoring aquatic contamination and illustrates the complex interplay of biological and environmental factors in heavy metal bioaccumulation.</p>\",\"PeriodicalId\":501,\"journal\":{\"name\":\"Bulletin of Environmental Contamination and Toxicology\",\"volume\":\"114 6\",\"pages\":\"92\"},\"PeriodicalIF\":2.2000,\"publicationDate\":\"2025-06-10\",\"publicationTypes\":\"Journal Article\",\"fieldsOfStudy\":null,\"isOpenAccess\":false,\"openAccessPdf\":\"https://www.ncbi.nlm.nih.gov/pmc/articles/PMC12152064/pdf/\",\"citationCount\":\"0\",\"resultStr\":null,\"platform\":\"Semanticscholar\",\"paperid\":null,\"PeriodicalName\":\"Bulletin of Environmental Contamination and Toxicology\",\"FirstCategoryId\":\"93\",\"ListUrlMain\":\"https://doi.org/10.1007/s00128-025-04068-z\",\"RegionNum\":4,\"RegionCategory\":\"环境科学与生态学\",\"ArticlePicture\":[],\"TitleCN\":null,\"AbstractTextCN\":null,\"PMCID\":null,\"EPubDate\":\"\",\"PubModel\":\"\",\"JCR\":\"Q3\",\"JCRName\":\"ENVIRONMENTAL SCIENCES\",\"Score\":null,\"Total\":0}","platform":"Semanticscholar","paperid":null,"PeriodicalName":"Bulletin of Environmental Contamination and Toxicology","FirstCategoryId":"93","ListUrlMain":"https://doi.org/10.1007/s00128-025-04068-z","RegionNum":4,"RegionCategory":"环境科学与生态学","ArticlePicture":[],"TitleCN":null,"AbstractTextCN":null,"PMCID":null,"EPubDate":"","PubModel":"","JCR":"Q3","JCRName":"ENVIRONMENTAL SCIENCES","Score":null,"Total":0}
引用次数: 0

摘要

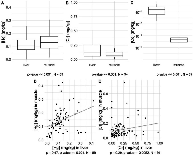
本研究调查了沉积物、植物和鱼类中镉、铬和汞水平的分布,这些沉积物、植物和鱼类来自Zemplínska Šírava,这是斯洛伐克一个历史上受污染的水库。以鱼类为生物指标,分析了年龄、性别、生态类群、寄生虫负担等因素对重金属积累的影响。结果显示,汞在鱼类肌肉中含量最高,特别是在掠食性鱼类中,而铬和镉主要存在于肝脏组织中。铬的积累受性别的影响,女性表现出较高的水平。年老的鱼在肝脏组织中镉的积累更大。寄生虫负担与鱼类肌肉中汞含量升高有关。值得注意的是,石竹(Caryophyllaeus laticeps)的铬含量明显高于其宿主淡水鲷鱼(Abramis brama)。本研究强调了鱼类和寄生虫在监测水体污染中的重要作用,并说明了生物和环境因素在重金属生物积累中的复杂相互作用。
本文章由计算机程序翻译,如有差异,请以英文原文为准。

Heavy Metal Accumulation in Freshwater Fish: The Role of Species, Age, Gender, and Parasites.

Heavy Metal Accumulation in Freshwater Fish: The Role of Species, Age, Gender, and Parasites.

The present study investigates the distribution of cadmium, chromium, and mercury levels in sediments, plants, and fish from Zemplínska Šírava, a historically contaminated reservoir in Slovakia. Using fish as bioindicators, we analyzed the impact of factors such as age, gender, ecological group, and parasite burden on heavy metal accumulation. Results revealed that mercury was highest in fish muscle, particularly predatory species, whereas chromium and cadmium were predominantly found in liver tissues. Chromium accumulation was influenced by gender, with females showing higher levels. Older fish exhibit greater cadmium accumulation in liver tissue. Parasite burden was associated with elevated mercury levels in fish muscle. Notably, the cestode Caryophyllaeus laticeps had significantly higher chromium levels than its host, freshwater bream (Abramis brama). This study highlights the important role of fish and parasites in monitoring aquatic contamination and illustrates the complex interplay of biological and environmental factors in heavy metal bioaccumulation.

求助全文
通过发布文献求助,成功后即可免费获取论文全文。 去求助
来源期刊
CiteScore
5.60
自引率
3.70%
发文量
230
审稿时长
1.7 months
期刊介绍: The Bulletin of Environmental Contamination and Toxicology(BECT) is a peer-reviewed journal that offers rapid review and publication. Accepted submissions will be presented as clear, concise reports of current research for a readership concerned with environmental contamination and toxicology. Scientific quality and clarity are paramount.
×
引用
GB/T 7714-2015
复制
MLA
复制
APA
复制
导出至
BibTeX EndNote RefMan NoteFirst NoteExpress
×
提示
您的信息不完整,为了账户安全,请先补充。
现在去补充
×
提示
您因"违规操作"
具体请查看互助需知
我知道了
×
提示
确定
请完成安全验证×
copy
已复制链接
快去分享给好友吧!
我知道了
右上角分享
点击右上角分享
0
联系我们:info@booksci.cn Book学术提供免费学术资源搜索服务,方便国内外学者检索中英文文献。致力于提供最便捷和优质的服务体验。 Copyright © 2023 布克学术 All rights reserved.
京ICP备2023020795号-1
ghs 京公网安备 11010802042870号
Book学术文献互助
Book学术文献互助群
群 号:604180095
Book学术官方微信