阿魏酸通过抑制高脂/高碳水化合物饮食大鼠的炎症和肾素-血管紧张素系统,减轻主动脉硬化和心血管重构。

IF 7.9 Q1 ENDOCRINOLOGY & METABOLISM
Journal of Obesity & Metabolic Syndrome Pub Date : 2025-07-30 Epub Date: 2025-06-09 DOI:10.7570/jomes24017
Ketmanee Senaphan, Weerapon Sangartit, Veerapol Kukongviriyapan, Orachorn Boonla, Stephen E Greenwald, Upa Kukongviriyapan
{"title":"阿魏酸通过抑制高脂/高碳水化合物饮食大鼠的炎症和肾素-血管紧张素系统,减轻主动脉硬化和心血管重构。","authors":"Ketmanee Senaphan, Weerapon Sangartit, Veerapol Kukongviriyapan, Orachorn Boonla, Stephen E Greenwald, Upa Kukongviriyapan","doi":"10.7570/jomes24017","DOIUrl":null,"url":null,"abstract":"<p><strong>Background: </strong>Ferulic acid (FA) is an antioxidant compound present in cereals, fruits, and vegetables. Chronic consumption of a high-fat and high-carbohydrate (HFHC) diet can lead to metabolic syndrome and increase the risk of atherosclerotic cardiovascular disease. This study examined whether FA could mitigate vascular inflammation, aortic stiffness, and cardiovascular remodeling in rats fed a HFHC diet.</p><p><strong>Methods: </strong>Male Sprague-Dawley rats were divided into five groups (eight rats/group): one group was fed a standard chow diet with or without FA supplementation, while the others were fed a HFHC diet plus a 15% fructose solution for 16 weeks. Rats on the HFHC diet received FA at doses of 0, 30, or 60 mg/kg/day during the final 6 weeks of the study. Various cardiovascular parameters, plasma biochemical markers, and the expression of biomarker proteins were measured.</p><p><strong>Results: </strong>FA administration alleviated the metabolic disturbances caused by the HFHC diet. FA reduced arterial blood pressure, aortic pulse wave velocity, oxidative stress, vascular inflammation, and angiotensin-mediated myocardial fibrosis and cardiac hypertrophy, as evidenced by decreases in ventricular interstitial fibrosis and cross-sectional area. These beneficial effects were associated with reduced vascular superoxide production and lower plasma levels of angiotensin-converting enzyme and tumor necrosis factor α. FA also suppressed the expression of Ang II type 1 receptor, gp91<sup>phox</sup>, and vascular-adhesion molecule 1 proteins and prevented hypertrophic remodeling of the aortic wall by reducing protein expression of matrix metalloproteinases 2 and 9.</p><p><strong>Conclusion: </strong>This study provides insightful findings on the beneficial effects of FA in reducing aortic stiffness and cardiovascular remodeling associated with metabolic syndrome.</p>","PeriodicalId":45386,"journal":{"name":"Journal of Obesity & Metabolic Syndrome","volume":" ","pages":"291-302"},"PeriodicalIF":7.9000,"publicationDate":"2025-07-30","publicationTypes":"Journal Article","fieldsOfStudy":null,"isOpenAccess":false,"openAccessPdf":"https://www.ncbi.nlm.nih.gov/pmc/articles/PMC12318710/pdf/","citationCount":"0","resultStr":"{\"title\":\"Ferulic Acid Attenuates Aortic Stiffening and Cardiovascular Remodeling by Suppressing Inflammation and the Renin-Angiotensin System in Rats Fed a High-Fat/High-Carbohydrate Diet.\",\"authors\":\"Ketmanee Senaphan, Weerapon Sangartit, Veerapol Kukongviriyapan, Orachorn Boonla, Stephen E Greenwald, Upa Kukongviriyapan\",\"doi\":\"10.7570/jomes24017\",\"DOIUrl\":null,\"url\":null,\"abstract\":\"<p><strong>Background: </strong>Ferulic acid (FA) is an antioxidant compound present in cereals, fruits, and vegetables. Chronic consumption of a high-fat and high-carbohydrate (HFHC) diet can lead to metabolic syndrome and increase the risk of atherosclerotic cardiovascular disease. This study examined whether FA could mitigate vascular inflammation, aortic stiffness, and cardiovascular remodeling in rats fed a HFHC diet.</p><p><strong>Methods: </strong>Male Sprague-Dawley rats were divided into five groups (eight rats/group): one group was fed a standard chow diet with or without FA supplementation, while the others were fed a HFHC diet plus a 15% fructose solution for 16 weeks. Rats on the HFHC diet received FA at doses of 0, 30, or 60 mg/kg/day during the final 6 weeks of the study. Various cardiovascular parameters, plasma biochemical markers, and the expression of biomarker proteins were measured.</p><p><strong>Results: </strong>FA administration alleviated the metabolic disturbances caused by the HFHC diet. FA reduced arterial blood pressure, aortic pulse wave velocity, oxidative stress, vascular inflammation, and angiotensin-mediated myocardial fibrosis and cardiac hypertrophy, as evidenced by decreases in ventricular interstitial fibrosis and cross-sectional area. These beneficial effects were associated with reduced vascular superoxide production and lower plasma levels of angiotensin-converting enzyme and tumor necrosis factor α. FA also suppressed the expression of Ang II type 1 receptor, gp91<sup>phox</sup>, and vascular-adhesion molecule 1 proteins and prevented hypertrophic remodeling of the aortic wall by reducing protein expression of matrix metalloproteinases 2 and 9.</p><p><strong>Conclusion: </strong>This study provides insightful findings on the beneficial effects of FA in reducing aortic stiffness and cardiovascular remodeling associated with metabolic syndrome.</p>\",\"PeriodicalId\":45386,\"journal\":{\"name\":\"Journal of Obesity & Metabolic Syndrome\",\"volume\":\" \",\"pages\":\"291-302\"},\"PeriodicalIF\":7.9000,\"publicationDate\":\"2025-07-30\",\"publicationTypes\":\"Journal Article\",\"fieldsOfStudy\":null,\"isOpenAccess\":false,\"openAccessPdf\":\"https://www.ncbi.nlm.nih.gov/pmc/articles/PMC12318710/pdf/\",\"citationCount\":\"0\",\"resultStr\":null,\"platform\":\"Semanticscholar\",\"paperid\":null,\"PeriodicalName\":\"Journal of Obesity & Metabolic Syndrome\",\"FirstCategoryId\":\"1085\",\"ListUrlMain\":\"https://doi.org/10.7570/jomes24017\",\"RegionNum\":0,\"RegionCategory\":null,\"ArticlePicture\":[],\"TitleCN\":null,\"AbstractTextCN\":null,\"PMCID\":null,\"EPubDate\":\"2025/6/9 0:00:00\",\"PubModel\":\"Epub\",\"JCR\":\"Q1\",\"JCRName\":\"ENDOCRINOLOGY & METABOLISM\",\"Score\":null,\"Total\":0}","platform":"Semanticscholar","paperid":null,"PeriodicalName":"Journal of Obesity & Metabolic Syndrome","FirstCategoryId":"1085","ListUrlMain":"https://doi.org/10.7570/jomes24017","RegionNum":0,"RegionCategory":null,"ArticlePicture":[],"TitleCN":null,"AbstractTextCN":null,"PMCID":null,"EPubDate":"2025/6/9 0:00:00","PubModel":"Epub","JCR":"Q1","JCRName":"ENDOCRINOLOGY & METABOLISM","Score":null,"Total":0}
引用次数: 0

摘要

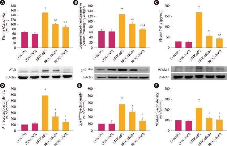
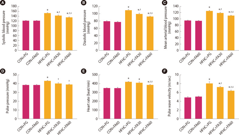
背景:阿魏酸(FA)是一种存在于谷类、水果和蔬菜中的抗氧化化合物。长期食用高脂肪和高碳水化合物(HFHC)饮食可导致代谢综合征,并增加动脉粥样硬化性心血管疾病的风险。本研究考察了食用HFHC饮食的大鼠,FA是否能减轻血管炎症、主动脉僵硬和心血管重塑。方法:雄性Sprague-Dawley大鼠分为5组(8只/组):一组饲喂添加或不添加FA的标准饲料,另一组饲喂HFHC加15%果糖溶液的饲料,持续16周。在研究的最后6周,HFHC饮食的大鼠接受0、30或60 mg/kg/天剂量的FA。检测各组心血管参数、血浆生化指标及生物标志物蛋白表达。结果:FA能减轻HFHC饮食引起的代谢紊乱。FA降低了动脉血压、主动脉脉波速度、氧化应激、血管炎症和血管紧张素介导的心肌纤维化和心脏肥厚,心室间质纤维化和横截面面积的减少证明了这一点。这些有益作用与减少血管超氧化物生成和降低血浆血管紧张素转换酶和肿瘤坏死因子α水平有关。FA还抑制了Ang II型1受体、gp91phox和血管粘附分子1蛋白的表达,并通过降低基质金属蛋白酶2和9的蛋白表达来阻止主动脉壁的肥厚重塑。结论:本研究为FA在降低代谢综合征相关的主动脉僵硬和心血管重构方面的有益作用提供了有见地的发现。
本文章由计算机程序翻译,如有差异,请以英文原文为准。

Ferulic Acid Attenuates Aortic Stiffening and Cardiovascular Remodeling by Suppressing Inflammation and the Renin-Angiotensin System in Rats Fed a High-Fat/High-Carbohydrate Diet.

Ferulic Acid Attenuates Aortic Stiffening and Cardiovascular Remodeling by Suppressing Inflammation and the Renin-Angiotensin System in Rats Fed a High-Fat/High-Carbohydrate Diet.

Ferulic Acid Attenuates Aortic Stiffening and Cardiovascular Remodeling by Suppressing Inflammation and the Renin-Angiotensin System in Rats Fed a High-Fat/High-Carbohydrate Diet.

Ferulic Acid Attenuates Aortic Stiffening and Cardiovascular Remodeling by Suppressing Inflammation and the Renin-Angiotensin System in Rats Fed a High-Fat/High-Carbohydrate Diet.

Background: Ferulic acid (FA) is an antioxidant compound present in cereals, fruits, and vegetables. Chronic consumption of a high-fat and high-carbohydrate (HFHC) diet can lead to metabolic syndrome and increase the risk of atherosclerotic cardiovascular disease. This study examined whether FA could mitigate vascular inflammation, aortic stiffness, and cardiovascular remodeling in rats fed a HFHC diet.

Methods: Male Sprague-Dawley rats were divided into five groups (eight rats/group): one group was fed a standard chow diet with or without FA supplementation, while the others were fed a HFHC diet plus a 15% fructose solution for 16 weeks. Rats on the HFHC diet received FA at doses of 0, 30, or 60 mg/kg/day during the final 6 weeks of the study. Various cardiovascular parameters, plasma biochemical markers, and the expression of biomarker proteins were measured.

Results: FA administration alleviated the metabolic disturbances caused by the HFHC diet. FA reduced arterial blood pressure, aortic pulse wave velocity, oxidative stress, vascular inflammation, and angiotensin-mediated myocardial fibrosis and cardiac hypertrophy, as evidenced by decreases in ventricular interstitial fibrosis and cross-sectional area. These beneficial effects were associated with reduced vascular superoxide production and lower plasma levels of angiotensin-converting enzyme and tumor necrosis factor α. FA also suppressed the expression of Ang II type 1 receptor, gp91phox, and vascular-adhesion molecule 1 proteins and prevented hypertrophic remodeling of the aortic wall by reducing protein expression of matrix metalloproteinases 2 and 9.

Conclusion: This study provides insightful findings on the beneficial effects of FA in reducing aortic stiffness and cardiovascular remodeling associated with metabolic syndrome.

求助全文
通过发布文献求助,成功后即可免费获取论文全文。 去求助
来源期刊
Journal of Obesity & Metabolic Syndrome
Journal of Obesity & Metabolic Syndrome ENDOCRINOLOGY & METABOLISM-
CiteScore
8.30
自引率
9.60%
发文量
39
审稿时长
19 weeks
期刊介绍: The journal was launched in 1992 and diverse studies on obesity have been published under the title of Journal of Korean Society for the Study of Obesity until 2004. Since 2017, volume 26, the title is now the Journal of Obesity & Metabolic Syndrome (pISSN 2508-6235, eISSN 2508-7576). The journal is published quarterly on March 30th, June 30th, September 30th and December 30th. The official title of the journal is now "Journal of Obesity & Metabolic Syndrome" and the abbreviated title is "J Obes Metab Syndr". Index words from medical subject headings (MeSH) list of Index Medicus are included in each article to facilitate article search. Some or all of the articles of this journal are included in the index of PubMed, PubMed Central, Scopus, Embase, DOAJ, Ebsco, KCI, KoreaMed, KoMCI, Science Central, Crossref Metadata Search, Google Scholar, and Emerging Sources Citation Index (ESCI).
×
引用
GB/T 7714-2015
复制
MLA
复制
APA
复制
导出至
BibTeX EndNote RefMan NoteFirst NoteExpress
×
提示
您的信息不完整,为了账户安全,请先补充。
现在去补充
×
提示
您因"违规操作"
具体请查看互助需知
我知道了
×
提示
确定
请完成安全验证×
copy
已复制链接
快去分享给好友吧!
我知道了
右上角分享
点击右上角分享
0
联系我们:info@booksci.cn Book学术提供免费学术资源搜索服务,方便国内外学者检索中英文文献。致力于提供最便捷和优质的服务体验。 Copyright © 2023 布克学术 All rights reserved.
京ICP备2023020795号-1
ghs 京公网安备 11010802042870号
Book学术文献互助
Book学术文献互助群
群 号:604180095
Book学术官方微信