乳腺恶性肿瘤中过氧化物酶体生物发生因子蛋白的生物信息学分析,以引入潜在的预后生物标志物。

Q3 Medicine
Iranian Journal of Pathology Pub Date : 2025-01-01 Epub Date: 2025-03-10 DOI:10.30699/ijp.2025.2030953.3311
Nima Mahdei Nasirmahalleh, Mina Hemmati, Negin Parsamanesh
{"title":"乳腺恶性肿瘤中过氧化物酶体生物发生因子蛋白的生物信息学分析,以引入潜在的预后生物标志物。","authors":"Nima Mahdei Nasirmahalleh, Mina Hemmati, Negin Parsamanesh","doi":"10.30699/ijp.2025.2030953.3311","DOIUrl":null,"url":null,"abstract":"<p><strong>Background & objective: </strong>Breast cancer (BC) is the most common type of malignant neoplasm and is the primary cause of mortality among women aged 45 to 55 years. Studies indicate that cancer displays irregular metabolic patterns in contrast to normal tissue. Furthermore, there is compelling evidence supporting the significant role of peroxisomes in the intricate metabolic processes of cancer. Peroxisomal biogenesis factors (PEXs), which are peroxisomal proteins, control activities such as the degradation and biogenesis of peroxisomes. Hence, the correlation between peroxisomal biogenesis factor expression and BC was explored, to introduce key proteins and potential biomarkers by analyzing.</p><p><strong>Methods: </strong>This study utilized UALCAN, GenExMiner v4.8, Metascape, STRING, TIMER, the Kaplan-Meier plotter, The Human Protein Atlas, MirTarBase, and cBioportal.</p><p><strong>Results: </strong>The transcriptional levels of PEX6/7/10/11B/13/16 in BC tissues were significantly elevated, whereas the transcriptional levels of PEX2/3/5/11A/12/19 were significantly reduced. High expression levels of PEX 2/3/10/12/11G /26/13/16/14 were significantly related to shorter relapse-free survival, and higher mRNA expression of PEX 11B/11G/11A/12/19 was significantly associated with longer overall survival of BC patients. We identified has-miR-4318 and has-7106-3p as more correlated miRNAs with the PEX family.</p><p><strong>Conclusion: </strong>Our results may provide novel insights for the selection of therapeutic targets and prognostic biomarkers for BC.</p>","PeriodicalId":38900,"journal":{"name":"Iranian Journal of Pathology","volume":"20 2","pages":"181-197"},"PeriodicalIF":0.0000,"publicationDate":"2025-01-01","publicationTypes":"Journal Article","fieldsOfStudy":null,"isOpenAccess":false,"openAccessPdf":"https://www.ncbi.nlm.nih.gov/pmc/articles/PMC12142011/pdf/","citationCount":"0","resultStr":"{\"title\":\"Bioinformatics Analysis of Peroxisomal Biogenesis Factor Proteins in Breast Malignancy for Introducing Potential Prognostic Biomarkers.\",\"authors\":\"Nima Mahdei Nasirmahalleh, Mina Hemmati, Negin Parsamanesh\",\"doi\":\"10.30699/ijp.2025.2030953.3311\",\"DOIUrl\":null,\"url\":null,\"abstract\":\"<p><strong>Background & objective: </strong>Breast cancer (BC) is the most common type of malignant neoplasm and is the primary cause of mortality among women aged 45 to 55 years. Studies indicate that cancer displays irregular metabolic patterns in contrast to normal tissue. Furthermore, there is compelling evidence supporting the significant role of peroxisomes in the intricate metabolic processes of cancer. Peroxisomal biogenesis factors (PEXs), which are peroxisomal proteins, control activities such as the degradation and biogenesis of peroxisomes. Hence, the correlation between peroxisomal biogenesis factor expression and BC was explored, to introduce key proteins and potential biomarkers by analyzing.</p><p><strong>Methods: </strong>This study utilized UALCAN, GenExMiner v4.8, Metascape, STRING, TIMER, the Kaplan-Meier plotter, The Human Protein Atlas, MirTarBase, and cBioportal.</p><p><strong>Results: </strong>The transcriptional levels of PEX6/7/10/11B/13/16 in BC tissues were significantly elevated, whereas the transcriptional levels of PEX2/3/5/11A/12/19 were significantly reduced. High expression levels of PEX 2/3/10/12/11G /26/13/16/14 were significantly related to shorter relapse-free survival, and higher mRNA expression of PEX 11B/11G/11A/12/19 was significantly associated with longer overall survival of BC patients. We identified has-miR-4318 and has-7106-3p as more correlated miRNAs with the PEX family.</p><p><strong>Conclusion: </strong>Our results may provide novel insights for the selection of therapeutic targets and prognostic biomarkers for BC.</p>\",\"PeriodicalId\":38900,\"journal\":{\"name\":\"Iranian Journal of Pathology\",\"volume\":\"20 2\",\"pages\":\"181-197\"},\"PeriodicalIF\":0.0000,\"publicationDate\":\"2025-01-01\",\"publicationTypes\":\"Journal Article\",\"fieldsOfStudy\":null,\"isOpenAccess\":false,\"openAccessPdf\":\"https://www.ncbi.nlm.nih.gov/pmc/articles/PMC12142011/pdf/\",\"citationCount\":\"0\",\"resultStr\":null,\"platform\":\"Semanticscholar\",\"paperid\":null,\"PeriodicalName\":\"Iranian Journal of Pathology\",\"FirstCategoryId\":\"1085\",\"ListUrlMain\":\"https://doi.org/10.30699/ijp.2025.2030953.3311\",\"RegionNum\":0,\"RegionCategory\":null,\"ArticlePicture\":[],\"TitleCN\":null,\"AbstractTextCN\":null,\"PMCID\":null,\"EPubDate\":\"2025/3/10 0:00:00\",\"PubModel\":\"Epub\",\"JCR\":\"Q3\",\"JCRName\":\"Medicine\",\"Score\":null,\"Total\":0}","platform":"Semanticscholar","paperid":null,"PeriodicalName":"Iranian Journal of Pathology","FirstCategoryId":"1085","ListUrlMain":"https://doi.org/10.30699/ijp.2025.2030953.3311","RegionNum":0,"RegionCategory":null,"ArticlePicture":[],"TitleCN":null,"AbstractTextCN":null,"PMCID":null,"EPubDate":"2025/3/10 0:00:00","PubModel":"Epub","JCR":"Q3","JCRName":"Medicine","Score":null,"Total":0}
引用次数: 0

摘要

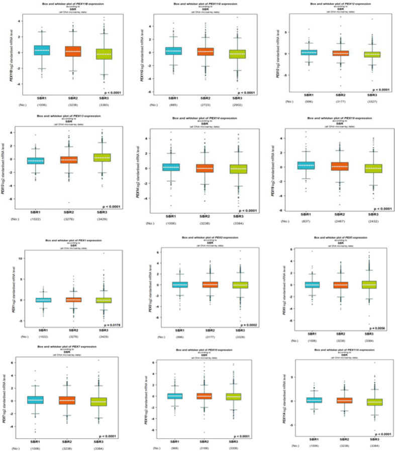
背景与目的:乳腺癌(BC)是最常见的恶性肿瘤类型,是45至55岁女性死亡的主要原因。研究表明,与正常组织相比,癌症表现出不规则的代谢模式。此外,有令人信服的证据支持过氧化物酶体在癌症复杂的代谢过程中的重要作用。过氧化物酶体生物发生因子(pex)是一种过氧化物酶体蛋白,控制过氧化物酶体的降解和生物发生等活动。因此,探讨过氧化物酶体生物发生因子表达与BC的相关性,通过分析引入关键蛋白和潜在的生物标志物。方法:本研究使用了UALCAN、GenExMiner v4.8、metscape、STRING、TIMER、Kaplan-Meier绘图仪、the Human Protein Atlas、MirTarBase和cBioportal。结果:BC组织中PEX6/7/10/11B/13/16的转录水平显著升高,而PEX2/3/5/11A/12/19的转录水平显著降低。高表达的PEX 2/3/10/12/11G /26/13/16/14与较短的无复发生存期显著相关,高表达的PEX 11B/11G/11A/12/19 mRNA与较长的BC患者总生存期显著相关。我们发现has-miR-4318和has-7106-3p是与PEX家族更相关的mirna。结论:我们的研究结果可能为BC的治疗靶点和预后生物标志物的选择提供新的见解。
本文章由计算机程序翻译,如有差异,请以英文原文为准。

Bioinformatics Analysis of Peroxisomal Biogenesis Factor Proteins in Breast Malignancy for Introducing Potential Prognostic Biomarkers.

Bioinformatics Analysis of Peroxisomal Biogenesis Factor Proteins in Breast Malignancy for Introducing Potential Prognostic Biomarkers.

Bioinformatics Analysis of Peroxisomal Biogenesis Factor Proteins in Breast Malignancy for Introducing Potential Prognostic Biomarkers.

Bioinformatics Analysis of Peroxisomal Biogenesis Factor Proteins in Breast Malignancy for Introducing Potential Prognostic Biomarkers.

Background & objective: Breast cancer (BC) is the most common type of malignant neoplasm and is the primary cause of mortality among women aged 45 to 55 years. Studies indicate that cancer displays irregular metabolic patterns in contrast to normal tissue. Furthermore, there is compelling evidence supporting the significant role of peroxisomes in the intricate metabolic processes of cancer. Peroxisomal biogenesis factors (PEXs), which are peroxisomal proteins, control activities such as the degradation and biogenesis of peroxisomes. Hence, the correlation between peroxisomal biogenesis factor expression and BC was explored, to introduce key proteins and potential biomarkers by analyzing.

Methods: This study utilized UALCAN, GenExMiner v4.8, Metascape, STRING, TIMER, the Kaplan-Meier plotter, The Human Protein Atlas, MirTarBase, and cBioportal.

Results: The transcriptional levels of PEX6/7/10/11B/13/16 in BC tissues were significantly elevated, whereas the transcriptional levels of PEX2/3/5/11A/12/19 were significantly reduced. High expression levels of PEX 2/3/10/12/11G /26/13/16/14 were significantly related to shorter relapse-free survival, and higher mRNA expression of PEX 11B/11G/11A/12/19 was significantly associated with longer overall survival of BC patients. We identified has-miR-4318 and has-7106-3p as more correlated miRNAs with the PEX family.

Conclusion: Our results may provide novel insights for the selection of therapeutic targets and prognostic biomarkers for BC.

求助全文
通过发布文献求助,成功后即可免费获取论文全文。 去求助
来源期刊
Iranian Journal of Pathology
Iranian Journal of Pathology Medicine-Pathology and Forensic Medicine
CiteScore
2.00
自引率
0.00%
发文量
99
审稿时长
20 weeks
×
引用
GB/T 7714-2015
复制
MLA
复制
APA
复制
导出至
BibTeX EndNote RefMan NoteFirst NoteExpress
×
提示
您的信息不完整,为了账户安全,请先补充。
现在去补充
×
提示
您因"违规操作"
具体请查看互助需知
我知道了
×
提示
确定
请完成安全验证×
copy
已复制链接
快去分享给好友吧!
我知道了
右上角分享
点击右上角分享
0
联系我们:info@booksci.cn Book学术提供免费学术资源搜索服务,方便国内外学者检索中英文文献。致力于提供最便捷和优质的服务体验。 Copyright © 2023 布克学术 All rights reserved.
京ICP备2023020795号-1
ghs 京公网安备 11010802042870号
Book学术文献互助
Book学术文献互助群
群 号:604180095
Book学术官方微信