重金属暴露与妊娠损失之间的关系:来自NHANES 2011-2016的证据。

IF 4.7 2区 医学 Q1 ENDOCRINOLOGY & METABOLISM
Chiyang Yu, Qingxia You, Xue Bai, Fangxiang Mu
{"title":"重金属暴露与妊娠损失之间的关系:来自NHANES 2011-2016的证据。","authors":"Chiyang Yu, Qingxia You, Xue Bai, Fangxiang Mu","doi":"10.1186/s12958-025-01373-4","DOIUrl":null,"url":null,"abstract":"<p><strong>Objective: </strong>Previous research suggests that heavy metal exposure may lead to pregnancy loss, but findings have varied. This study focuses on examining the relationship between heavy metal exposure (manganese, selenium, cadmium, lead, mercury) and pregnancy loss.</p><p><strong>Methods: </strong>Utilizing data from the 2011-2016 National Health and Nutrition Examination Survey (NHANES), this study included women between 20-80 years with complete pregnancy history, heavy metal exposure data, and covariate information. Pregnancy loss was self-reported by participants. Blood levels of manganese, selenium, cadmium, lead, and mercury were measured using mass spectrometry. Logistic regression, smooth curve fitting, and weighted quantile sum (WQS) regression were employed to investigate the association between heavy metal exposure and pregnancy loss. Subgroup analyses were conducted to verify the heterogeneity of the results.</p><p><strong>Results: </strong>A total of 3623 eligible women were included, with 1607 reporting pregnancy loss. Blood mercury levels were positively correlated with a higher risk of pregnancy loss (odds ratio 1.06, 95% confidence interval 1.03-1.09, P < 0.001), which remained significant in the two adjusted models. A nonlinear association between mercury levels and pregnancy loss was identified. The heterogeneity in this association was influenced by race, education level, body mass index, and age at menarche. No significant links were detected between pregnancy loss and cadmium, lead, manganese, and selenium. WQS regression highlighted the critical role of mercury in pregnancy loss.</p><p><strong>Conclusion: </strong>Mercury exposure may contribute to a higher risk of pregnancy loss. Reducing heavy metal pollution and minimizing mercury exposure could potentially help improve pregnancy outcomes.</p>","PeriodicalId":21011,"journal":{"name":"Reproductive Biology and Endocrinology","volume":"23 1","pages":"87"},"PeriodicalIF":4.7000,"publicationDate":"2025-06-06","publicationTypes":"Journal Article","fieldsOfStudy":null,"isOpenAccess":false,"openAccessPdf":"https://www.ncbi.nlm.nih.gov/pmc/articles/PMC12142865/pdf/","citationCount":"0","resultStr":"{\"title\":\"Association between heavy metal exposure and pregnancy loss: evidence from NHANES 2011-2016.\",\"authors\":\"Chiyang Yu, Qingxia You, Xue Bai, Fangxiang Mu\",\"doi\":\"10.1186/s12958-025-01373-4\",\"DOIUrl\":null,\"url\":null,\"abstract\":\"<p><strong>Objective: </strong>Previous research suggests that heavy metal exposure may lead to pregnancy loss, but findings have varied. This study focuses on examining the relationship between heavy metal exposure (manganese, selenium, cadmium, lead, mercury) and pregnancy loss.</p><p><strong>Methods: </strong>Utilizing data from the 2011-2016 National Health and Nutrition Examination Survey (NHANES), this study included women between 20-80 years with complete pregnancy history, heavy metal exposure data, and covariate information. Pregnancy loss was self-reported by participants. Blood levels of manganese, selenium, cadmium, lead, and mercury were measured using mass spectrometry. Logistic regression, smooth curve fitting, and weighted quantile sum (WQS) regression were employed to investigate the association between heavy metal exposure and pregnancy loss. Subgroup analyses were conducted to verify the heterogeneity of the results.</p><p><strong>Results: </strong>A total of 3623 eligible women were included, with 1607 reporting pregnancy loss. Blood mercury levels were positively correlated with a higher risk of pregnancy loss (odds ratio 1.06, 95% confidence interval 1.03-1.09, P < 0.001), which remained significant in the two adjusted models. A nonlinear association between mercury levels and pregnancy loss was identified. The heterogeneity in this association was influenced by race, education level, body mass index, and age at menarche. No significant links were detected between pregnancy loss and cadmium, lead, manganese, and selenium. WQS regression highlighted the critical role of mercury in pregnancy loss.</p><p><strong>Conclusion: </strong>Mercury exposure may contribute to a higher risk of pregnancy loss. Reducing heavy metal pollution and minimizing mercury exposure could potentially help improve pregnancy outcomes.</p>\",\"PeriodicalId\":21011,\"journal\":{\"name\":\"Reproductive Biology and Endocrinology\",\"volume\":\"23 1\",\"pages\":\"87\"},\"PeriodicalIF\":4.7000,\"publicationDate\":\"2025-06-06\",\"publicationTypes\":\"Journal Article\",\"fieldsOfStudy\":null,\"isOpenAccess\":false,\"openAccessPdf\":\"https://www.ncbi.nlm.nih.gov/pmc/articles/PMC12142865/pdf/\",\"citationCount\":\"0\",\"resultStr\":null,\"platform\":\"Semanticscholar\",\"paperid\":null,\"PeriodicalName\":\"Reproductive Biology and Endocrinology\",\"FirstCategoryId\":\"3\",\"ListUrlMain\":\"https://doi.org/10.1186/s12958-025-01373-4\",\"RegionNum\":2,\"RegionCategory\":\"医学\",\"ArticlePicture\":[],\"TitleCN\":null,\"AbstractTextCN\":null,\"PMCID\":null,\"EPubDate\":\"\",\"PubModel\":\"\",\"JCR\":\"Q1\",\"JCRName\":\"ENDOCRINOLOGY & METABOLISM\",\"Score\":null,\"Total\":0}","platform":"Semanticscholar","paperid":null,"PeriodicalName":"Reproductive Biology and Endocrinology","FirstCategoryId":"3","ListUrlMain":"https://doi.org/10.1186/s12958-025-01373-4","RegionNum":2,"RegionCategory":"医学","ArticlePicture":[],"TitleCN":null,"AbstractTextCN":null,"PMCID":null,"EPubDate":"","PubModel":"","JCR":"Q1","JCRName":"ENDOCRINOLOGY & METABOLISM","Score":null,"Total":0}
引用次数: 0

摘要

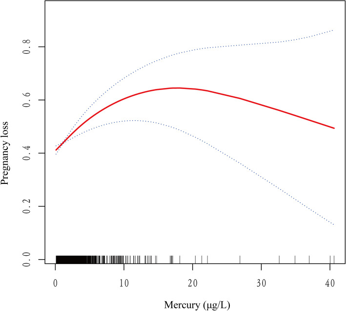
目的:以往的研究表明重金属暴露可能导致妊娠流产,但研究结果各不相同。本研究的重点是研究重金属暴露(锰、硒、镉、铅、汞)与流产之间的关系。方法:利用2011-2016年全国健康与营养调查(NHANES)的数据,本研究纳入了20-80岁之间具有完整妊娠史、重金属暴露数据和协变量信息的女性。流产由参与者自行报告。用质谱法测定血液中锰、硒、镉、铅和汞的含量。采用Logistic回归、平滑曲线拟合和加权分位数和(WQS)回归分析重金属暴露与妊娠损失的关系。进行亚组分析以验证结果的异质性。结果:共纳入3623名符合条件的妇女,其中1607名报告流产。血汞水平与较高的妊娠丢失风险呈正相关(优势比1.06,95%可信区间1.03-1.09,P)结论:汞暴露可能导致较高的妊娠丢失风险。减少重金属污染和尽量减少汞接触可能有助于改善妊娠结局。
本文章由计算机程序翻译,如有差异,请以英文原文为准。

Association between heavy metal exposure and pregnancy loss: evidence from NHANES 2011-2016.

Association between heavy metal exposure and pregnancy loss: evidence from NHANES 2011-2016.

Association between heavy metal exposure and pregnancy loss: evidence from NHANES 2011-2016.

Association between heavy metal exposure and pregnancy loss: evidence from NHANES 2011-2016.

Objective: Previous research suggests that heavy metal exposure may lead to pregnancy loss, but findings have varied. This study focuses on examining the relationship between heavy metal exposure (manganese, selenium, cadmium, lead, mercury) and pregnancy loss.

Methods: Utilizing data from the 2011-2016 National Health and Nutrition Examination Survey (NHANES), this study included women between 20-80 years with complete pregnancy history, heavy metal exposure data, and covariate information. Pregnancy loss was self-reported by participants. Blood levels of manganese, selenium, cadmium, lead, and mercury were measured using mass spectrometry. Logistic regression, smooth curve fitting, and weighted quantile sum (WQS) regression were employed to investigate the association between heavy metal exposure and pregnancy loss. Subgroup analyses were conducted to verify the heterogeneity of the results.

Results: A total of 3623 eligible women were included, with 1607 reporting pregnancy loss. Blood mercury levels were positively correlated with a higher risk of pregnancy loss (odds ratio 1.06, 95% confidence interval 1.03-1.09, P < 0.001), which remained significant in the two adjusted models. A nonlinear association between mercury levels and pregnancy loss was identified. The heterogeneity in this association was influenced by race, education level, body mass index, and age at menarche. No significant links were detected between pregnancy loss and cadmium, lead, manganese, and selenium. WQS regression highlighted the critical role of mercury in pregnancy loss.

Conclusion: Mercury exposure may contribute to a higher risk of pregnancy loss. Reducing heavy metal pollution and minimizing mercury exposure could potentially help improve pregnancy outcomes.

求助全文
通过发布文献求助,成功后即可免费获取论文全文。 去求助
来源期刊
Reproductive Biology and Endocrinology
Reproductive Biology and Endocrinology 医学-内分泌学与代谢
CiteScore
7.90
自引率
2.30%
发文量
161
审稿时长
4-8 weeks
期刊介绍: Reproductive Biology and Endocrinology publishes and disseminates high-quality results from excellent research in the reproductive sciences. The journal publishes on topics covering gametogenesis, fertilization, early embryonic development, embryo-uterus interaction, reproductive development, pregnancy, uterine biology, endocrinology of reproduction, control of reproduction, reproductive immunology, neuroendocrinology, and veterinary and human reproductive medicine, including all vertebrate species.
×
引用
GB/T 7714-2015
复制
MLA
复制
APA
复制
导出至
BibTeX EndNote RefMan NoteFirst NoteExpress
×
提示
您的信息不完整,为了账户安全,请先补充。
现在去补充
×
提示
您因"违规操作"
具体请查看互助需知
我知道了
×
提示
确定
请完成安全验证×
copy
已复制链接
快去分享给好友吧!
我知道了
右上角分享
点击右上角分享
0
联系我们:info@booksci.cn Book学术提供免费学术资源搜索服务,方便国内外学者检索中英文文献。致力于提供最便捷和优质的服务体验。 Copyright © 2023 布克学术 All rights reserved.
京ICP备2023020795号-1
ghs 京公网安备 11010802042870号
Book学术文献互助
Book学术文献互助群
群 号:604180095
Book学术官方微信