面对面认知行为疗法与联合认知行为疗法(面对面+网络应用)对大学生适应不良完美主义的疗效比较:一项随机对照试验。

Q2 Medicine
Medical Journal of the Islamic Republic of Iran Pub Date : 2025-02-25 eCollection Date: 2025-01-01 DOI:10.47176/mjiri.39.30
Gelavizh Mohammadi, Aliasghar Asgharnezhadfarid, Komeil Zahedi Tajrishi, Banafsheh Gharraee, Reza Moloodi
{"title":"面对面认知行为疗法与联合认知行为疗法(面对面+网络应用)对大学生适应不良完美主义的疗效比较:一项随机对照试验。","authors":"Gelavizh Mohammadi, Aliasghar Asgharnezhadfarid, Komeil Zahedi Tajrishi, Banafsheh Gharraee, Reza Moloodi","doi":"10.47176/mjiri.39.30","DOIUrl":null,"url":null,"abstract":"<p><strong>Background: </strong>The effectiveness of integrating a self-help training application with cognitive behavioral therapy (CBT) for treating maladaptive perfectionism remains unclear. This study evaluated the impact of combining CBT with a web-based program versus CBT alone on psychological outcomes in college students with maladaptive perfectionism.</p><p><strong>Methods: </strong>This study involved 52 participants randomized to a 10-week intervention of either CBT or CBT combined with a web-based application. Outcomes assessed included perfectionism, depression, anxiety, stress, psychological well-being, procrastination, and life satisfaction, measured through self-reporting at baseline, posttreatment, and 3 follow-ups. Data analyses utilized independent t tests, chi-square tests for preintervention differences, and repeated mixed analysis of variance (ANOVA) to evaluate intervention effects over time, with effect sizes calculated using η².</p><p><strong>Results: </strong>Participants had a mean age of 27.85 years (SD, 4.94), were predominantly female (n = 34; 74%), mostly single (n = 29; 73.9%), and held a master's degree (n = 20; 43.5%). Overall, 52 participants were randomized into 2 groups, with 26 participants in each group. Of these, 23 participants from each group completed the treatment and follow-up periods. The CBT combined with an App group demonstrated superior effectiveness in addressing perfectionism and improving interpersonal sensitivity, striving for excellence, and high standards for others compared with CBT alone. In addition, this combined treatment was significantly better than CBT in reducing stress, increasing psychological well-being, and improving life satisfaction.</p><p><strong>Conclusion: </strong>Integrating a web-based self-help application with CBT effectively reduces maladaptive perfectionism and associated psychopathology, highlighting the potential benefits of combining digital tools with traditional therapeutic approaches.</p>","PeriodicalId":18361,"journal":{"name":"Medical Journal of the Islamic Republic of Iran","volume":"39 ","pages":"30"},"PeriodicalIF":0.0000,"publicationDate":"2025-02-25","publicationTypes":"Journal Article","fieldsOfStudy":null,"isOpenAccess":false,"openAccessPdf":"https://www.ncbi.nlm.nih.gov/pmc/articles/PMC12138642/pdf/","citationCount":"0","resultStr":"{\"title\":\"Comparative Effectiveness of Face-to-Face Cognitive-Behavioral Therapy and Combined Cognitive-Behavioral Therapy (Face-to-Face + Web-Based Application) on Maladaptive Perfectionism in College Students: A Randomized Controlled Trial.\",\"authors\":\"Gelavizh Mohammadi, Aliasghar Asgharnezhadfarid, Komeil Zahedi Tajrishi, Banafsheh Gharraee, Reza Moloodi\",\"doi\":\"10.47176/mjiri.39.30\",\"DOIUrl\":null,\"url\":null,\"abstract\":\"<p><strong>Background: </strong>The effectiveness of integrating a self-help training application with cognitive behavioral therapy (CBT) for treating maladaptive perfectionism remains unclear. This study evaluated the impact of combining CBT with a web-based program versus CBT alone on psychological outcomes in college students with maladaptive perfectionism.</p><p><strong>Methods: </strong>This study involved 52 participants randomized to a 10-week intervention of either CBT or CBT combined with a web-based application. Outcomes assessed included perfectionism, depression, anxiety, stress, psychological well-being, procrastination, and life satisfaction, measured through self-reporting at baseline, posttreatment, and 3 follow-ups. Data analyses utilized independent t tests, chi-square tests for preintervention differences, and repeated mixed analysis of variance (ANOVA) to evaluate intervention effects over time, with effect sizes calculated using η².</p><p><strong>Results: </strong>Participants had a mean age of 27.85 years (SD, 4.94), were predominantly female (n = 34; 74%), mostly single (n = 29; 73.9%), and held a master's degree (n = 20; 43.5%). Overall, 52 participants were randomized into 2 groups, with 26 participants in each group. Of these, 23 participants from each group completed the treatment and follow-up periods. The CBT combined with an App group demonstrated superior effectiveness in addressing perfectionism and improving interpersonal sensitivity, striving for excellence, and high standards for others compared with CBT alone. In addition, this combined treatment was significantly better than CBT in reducing stress, increasing psychological well-being, and improving life satisfaction.</p><p><strong>Conclusion: </strong>Integrating a web-based self-help application with CBT effectively reduces maladaptive perfectionism and associated psychopathology, highlighting the potential benefits of combining digital tools with traditional therapeutic approaches.</p>\",\"PeriodicalId\":18361,\"journal\":{\"name\":\"Medical Journal of the Islamic Republic of Iran\",\"volume\":\"39 \",\"pages\":\"30\"},\"PeriodicalIF\":0.0000,\"publicationDate\":\"2025-02-25\",\"publicationTypes\":\"Journal Article\",\"fieldsOfStudy\":null,\"isOpenAccess\":false,\"openAccessPdf\":\"https://www.ncbi.nlm.nih.gov/pmc/articles/PMC12138642/pdf/\",\"citationCount\":\"0\",\"resultStr\":null,\"platform\":\"Semanticscholar\",\"paperid\":null,\"PeriodicalName\":\"Medical Journal of the Islamic Republic of Iran\",\"FirstCategoryId\":\"1085\",\"ListUrlMain\":\"https://doi.org/10.47176/mjiri.39.30\",\"RegionNum\":0,\"RegionCategory\":null,\"ArticlePicture\":[],\"TitleCN\":null,\"AbstractTextCN\":null,\"PMCID\":null,\"EPubDate\":\"2025/1/1 0:00:00\",\"PubModel\":\"eCollection\",\"JCR\":\"Q2\",\"JCRName\":\"Medicine\",\"Score\":null,\"Total\":0}","platform":"Semanticscholar","paperid":null,"PeriodicalName":"Medical Journal of the Islamic Republic of Iran","FirstCategoryId":"1085","ListUrlMain":"https://doi.org/10.47176/mjiri.39.30","RegionNum":0,"RegionCategory":null,"ArticlePicture":[],"TitleCN":null,"AbstractTextCN":null,"PMCID":null,"EPubDate":"2025/1/1 0:00:00","PubModel":"eCollection","JCR":"Q2","JCRName":"Medicine","Score":null,"Total":0}
引用次数: 0

摘要

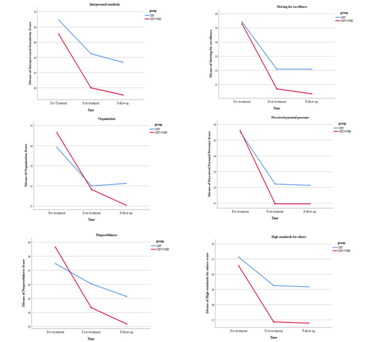
背景:将自助训练应用与认知行为疗法(CBT)结合治疗适应不良完美主义的有效性尚不清楚。本研究评估了CBT结合基于网络的项目与CBT单独对大学生适应不良完美主义心理结果的影响。方法:这项研究涉及52名参与者,随机分为CBT或CBT结合基于网络的应用程序干预10周。评估的结果包括完美主义、抑郁、焦虑、压力、心理健康、拖延症和生活满意度,通过基线、治疗后和3次随访时的自我报告来衡量。数据分析采用独立t检验、干预前差异的卡方检验和重复混合方差分析(ANOVA)来评估干预效果随时间的变化,效应量使用η²计算。结果:参与者平均年龄为27.85岁(SD, 4.94),以女性为主(n = 34;74%),多数为单身(n = 29;73.9%),具有硕士学位(n = 20;43.5%)。总的来说,52名参与者被随机分为两组,每组26人。其中,每组有23名参与者完成了治疗和随访期。与单独的CBT相比,CBT联合App组在解决完美主义、提高人际敏感性、追求卓越和对他人的高标准方面表现出了更好的效果。此外,这种联合治疗在减轻压力、增加心理健康和提高生活满意度方面明显优于CBT。结论:将基于网络的自助应用程序与CBT相结合,有效地减少了适应不良的完美主义和相关的精神病理,突出了将数字工具与传统治疗方法相结合的潜在益处。
本文章由计算机程序翻译,如有差异,请以英文原文为准。

Comparative Effectiveness of Face-to-Face Cognitive-Behavioral Therapy and Combined Cognitive-Behavioral Therapy (Face-to-Face + Web-Based Application) on Maladaptive Perfectionism in College Students: A Randomized Controlled Trial.

Comparative Effectiveness of Face-to-Face Cognitive-Behavioral Therapy and Combined Cognitive-Behavioral Therapy (Face-to-Face + Web-Based Application) on Maladaptive Perfectionism in College Students: A Randomized Controlled Trial.

Comparative Effectiveness of Face-to-Face Cognitive-Behavioral Therapy and Combined Cognitive-Behavioral Therapy (Face-to-Face + Web-Based Application) on Maladaptive Perfectionism in College Students: A Randomized Controlled Trial.

Comparative Effectiveness of Face-to-Face Cognitive-Behavioral Therapy and Combined Cognitive-Behavioral Therapy (Face-to-Face + Web-Based Application) on Maladaptive Perfectionism in College Students: A Randomized Controlled Trial.

Background: The effectiveness of integrating a self-help training application with cognitive behavioral therapy (CBT) for treating maladaptive perfectionism remains unclear. This study evaluated the impact of combining CBT with a web-based program versus CBT alone on psychological outcomes in college students with maladaptive perfectionism.

Methods: This study involved 52 participants randomized to a 10-week intervention of either CBT or CBT combined with a web-based application. Outcomes assessed included perfectionism, depression, anxiety, stress, psychological well-being, procrastination, and life satisfaction, measured through self-reporting at baseline, posttreatment, and 3 follow-ups. Data analyses utilized independent t tests, chi-square tests for preintervention differences, and repeated mixed analysis of variance (ANOVA) to evaluate intervention effects over time, with effect sizes calculated using η².

Results: Participants had a mean age of 27.85 years (SD, 4.94), were predominantly female (n = 34; 74%), mostly single (n = 29; 73.9%), and held a master's degree (n = 20; 43.5%). Overall, 52 participants were randomized into 2 groups, with 26 participants in each group. Of these, 23 participants from each group completed the treatment and follow-up periods. The CBT combined with an App group demonstrated superior effectiveness in addressing perfectionism and improving interpersonal sensitivity, striving for excellence, and high standards for others compared with CBT alone. In addition, this combined treatment was significantly better than CBT in reducing stress, increasing psychological well-being, and improving life satisfaction.

Conclusion: Integrating a web-based self-help application with CBT effectively reduces maladaptive perfectionism and associated psychopathology, highlighting the potential benefits of combining digital tools with traditional therapeutic approaches.

求助全文
通过发布文献求助,成功后即可免费获取论文全文。 去求助
来源期刊
CiteScore
2.40
自引率
0.00%
发文量
90
审稿时长
8 weeks
×
引用
GB/T 7714-2015
复制
MLA
复制
APA
复制
导出至
BibTeX EndNote RefMan NoteFirst NoteExpress
×
提示
您的信息不完整,为了账户安全,请先补充。
现在去补充
×
提示
您因"违规操作"
具体请查看互助需知
我知道了
×
提示
确定
请完成安全验证×
copy
已复制链接
快去分享给好友吧!
我知道了
右上角分享
点击右上角分享
0
联系我们:info@booksci.cn Book学术提供免费学术资源搜索服务,方便国内外学者检索中英文文献。致力于提供最便捷和优质的服务体验。 Copyright © 2023 布克学术 All rights reserved.
京ICP备2023020795号-1
ghs 京公网安备 11010802042870号
Book学术文献互助
Book学术文献互助群
群 号:604180095
Book学术官方微信