老年腹部大手术患者术中氧浓度与术后谵妄:一项前瞻性随机对照临床试验。

IF 2.3 3区 医学 Q2 GASTROENTEROLOGY & HEPATOLOGY
Shunpan Ji, Yue Shi, Xiaojing Fan, Bo Ye, Tianzhu Tao
{"title":"老年腹部大手术患者术中氧浓度与术后谵妄:一项前瞻性随机对照临床试验。","authors":"Shunpan Ji, Yue Shi, Xiaojing Fan, Bo Ye, Tianzhu Tao","doi":"10.1007/s00384-025-04929-3","DOIUrl":null,"url":null,"abstract":"<p><strong>Objective: </strong>Cerebral hypoxia and hypoperfusion are key pathophysiological contributors to postoperative delirium (POD). This study evaluated the impact of 40% versus 100% inspired oxygen (FiO₂) on POD incidence, neuroinflammation, and clinical outcomes in elderly patients undergoing major abdominal surgery.</p><p><strong>Methods: </strong>In this trial, 160 elderly patients scheduled for major abdominal surgery under general anesthesia from 2022 to September 2023 were randomly assigned to receive 40% FiO₂ (n = 80) or 100% FiO₂ (n = 80). The primary outcome was POD incidence within 3 postoperative days. Secondary outcomes included perioperative oxygenation parameters, plasma neuroinflammatory markers, pulmonary infections, pain scores, and hospitalization duration. Blood samples were collected preoperatively and postoperatively for biomarker analysis.</p><p><strong>Results: </strong>Among 154 analyzed patients, POD incidence was 5.2% (8/154), with no significant difference between 40% FiO₂ (6.4%, 5/78) and 100% FiO₂ (3.9%, 3/76) groups (P = 0.72). The 40% FiO₂ group exhibited lower saturation of pulse oxygen, regional cerebral oxygen saturation, and arterial partial pressure of oxygen from 1 h post-anesthesia (T2) to anesthesia end (T5) (P < 0.05). No intergroup differences in interleukin-6, tumor necrosis factor alpha, neuron-specific enolase, or neurofilament light chain levels were observed postoperatively (P > 0.05). FiO₂ levels did not influence pulmonary infection rates, postoperative VAS scores, or hospital stay (P > 0.05).</p><p><strong>Conclusions: </strong>While 100% FiO₂ enhances cerebral oxygenation, it does not reduce POD incidence or neuroinflammatory markers compared to 40% FiO₂. High-concentration oxygen did not increase pulmonary complications but offered no clinical benefits in this cohort. Intraoperative FiO₂ should be titrated based on individualized patient needs.</p>","PeriodicalId":13789,"journal":{"name":"International Journal of Colorectal Disease","volume":"40 1","pages":"137"},"PeriodicalIF":2.3000,"publicationDate":"2025-06-06","publicationTypes":"Journal Article","fieldsOfStudy":null,"isOpenAccess":false,"openAccessPdf":"https://www.ncbi.nlm.nih.gov/pmc/articles/PMC12144064/pdf/","citationCount":"0","resultStr":"{\"title\":\"Intraoperative oxygen concentration and postoperative delirium in elderly patients undergoing major abdominal surgery: a prospective randomized controlled clinical trial.\",\"authors\":\"Shunpan Ji, Yue Shi, Xiaojing Fan, Bo Ye, Tianzhu Tao\",\"doi\":\"10.1007/s00384-025-04929-3\",\"DOIUrl\":null,\"url\":null,\"abstract\":\"<p><strong>Objective: </strong>Cerebral hypoxia and hypoperfusion are key pathophysiological contributors to postoperative delirium (POD). This study evaluated the impact of 40% versus 100% inspired oxygen (FiO₂) on POD incidence, neuroinflammation, and clinical outcomes in elderly patients undergoing major abdominal surgery.</p><p><strong>Methods: </strong>In this trial, 160 elderly patients scheduled for major abdominal surgery under general anesthesia from 2022 to September 2023 were randomly assigned to receive 40% FiO₂ (n = 80) or 100% FiO₂ (n = 80). The primary outcome was POD incidence within 3 postoperative days. Secondary outcomes included perioperative oxygenation parameters, plasma neuroinflammatory markers, pulmonary infections, pain scores, and hospitalization duration. Blood samples were collected preoperatively and postoperatively for biomarker analysis.</p><p><strong>Results: </strong>Among 154 analyzed patients, POD incidence was 5.2% (8/154), with no significant difference between 40% FiO₂ (6.4%, 5/78) and 100% FiO₂ (3.9%, 3/76) groups (P = 0.72). The 40% FiO₂ group exhibited lower saturation of pulse oxygen, regional cerebral oxygen saturation, and arterial partial pressure of oxygen from 1 h post-anesthesia (T2) to anesthesia end (T5) (P < 0.05). No intergroup differences in interleukin-6, tumor necrosis factor alpha, neuron-specific enolase, or neurofilament light chain levels were observed postoperatively (P > 0.05). FiO₂ levels did not influence pulmonary infection rates, postoperative VAS scores, or hospital stay (P > 0.05).</p><p><strong>Conclusions: </strong>While 100% FiO₂ enhances cerebral oxygenation, it does not reduce POD incidence or neuroinflammatory markers compared to 40% FiO₂. High-concentration oxygen did not increase pulmonary complications but offered no clinical benefits in this cohort. Intraoperative FiO₂ should be titrated based on individualized patient needs.</p>\",\"PeriodicalId\":13789,\"journal\":{\"name\":\"International Journal of Colorectal Disease\",\"volume\":\"40 1\",\"pages\":\"137\"},\"PeriodicalIF\":2.3000,\"publicationDate\":\"2025-06-06\",\"publicationTypes\":\"Journal Article\",\"fieldsOfStudy\":null,\"isOpenAccess\":false,\"openAccessPdf\":\"https://www.ncbi.nlm.nih.gov/pmc/articles/PMC12144064/pdf/\",\"citationCount\":\"0\",\"resultStr\":null,\"platform\":\"Semanticscholar\",\"paperid\":null,\"PeriodicalName\":\"International Journal of Colorectal Disease\",\"FirstCategoryId\":\"3\",\"ListUrlMain\":\"https://doi.org/10.1007/s00384-025-04929-3\",\"RegionNum\":3,\"RegionCategory\":\"医学\",\"ArticlePicture\":[],\"TitleCN\":null,\"AbstractTextCN\":null,\"PMCID\":null,\"EPubDate\":\"\",\"PubModel\":\"\",\"JCR\":\"Q2\",\"JCRName\":\"GASTROENTEROLOGY & HEPATOLOGY\",\"Score\":null,\"Total\":0}","platform":"Semanticscholar","paperid":null,"PeriodicalName":"International Journal of Colorectal Disease","FirstCategoryId":"3","ListUrlMain":"https://doi.org/10.1007/s00384-025-04929-3","RegionNum":3,"RegionCategory":"医学","ArticlePicture":[],"TitleCN":null,"AbstractTextCN":null,"PMCID":null,"EPubDate":"","PubModel":"","JCR":"Q2","JCRName":"GASTROENTEROLOGY & HEPATOLOGY","Score":null,"Total":0}
引用次数: 0

摘要

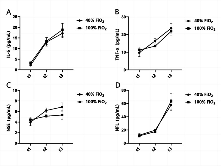
目的:脑缺氧和脑灌注不足是术后谵妄(POD)的主要病理生理因素。本研究评估了40%和100%吸氧(FiO₂)对接受腹部大手术的老年患者POD发病率、神经炎症和临床结果的影响。方法:在本试验中,从2022年到2023年9月,160例计划在全身麻醉下进行腹部大手术的老年患者随机分为40% FiO₂(n = 80)和100% FiO₂(n = 80)两组。主要观察指标为术后3天内POD的发生率。次要结局包括围手术期氧合参数、血浆神经炎症标志物、肺部感染、疼痛评分和住院时间。术前和术后采集血样进行生物标志物分析。结果:154例分析患者中,POD发病率为5.2% (8/154),40% FiO₂组(6.4%,5/78)与100% FiO₂组(3.9%,3/76)之间差异无统计学意义(P = 0.72)。40% FiO 2组从麻醉后1 h (T2)到麻醉结束(T5)脉搏氧饱和度、脑区域氧饱和度、动脉血氧分压均较低(P < 0.05)。FiO 2水平不影响肺部感染率、术后VAS评分或住院时间(P < 0.05)。结论:与40% FiO₂相比,100% FiO₂可以增强脑氧合,但不能降低POD发生率或神经炎症标志物。高浓度氧没有增加肺部并发症,但在该队列中没有提供临床益处。术中FiO 2应根据患者的个体化需要进行滴定。
本文章由计算机程序翻译,如有差异,请以英文原文为准。

Intraoperative oxygen concentration and postoperative delirium in elderly patients undergoing major abdominal surgery: a prospective randomized controlled clinical trial.

Intraoperative oxygen concentration and postoperative delirium in elderly patients undergoing major abdominal surgery: a prospective randomized controlled clinical trial.

Intraoperative oxygen concentration and postoperative delirium in elderly patients undergoing major abdominal surgery: a prospective randomized controlled clinical trial.

Intraoperative oxygen concentration and postoperative delirium in elderly patients undergoing major abdominal surgery: a prospective randomized controlled clinical trial.

Objective: Cerebral hypoxia and hypoperfusion are key pathophysiological contributors to postoperative delirium (POD). This study evaluated the impact of 40% versus 100% inspired oxygen (FiO₂) on POD incidence, neuroinflammation, and clinical outcomes in elderly patients undergoing major abdominal surgery.

Methods: In this trial, 160 elderly patients scheduled for major abdominal surgery under general anesthesia from 2022 to September 2023 were randomly assigned to receive 40% FiO₂ (n = 80) or 100% FiO₂ (n = 80). The primary outcome was POD incidence within 3 postoperative days. Secondary outcomes included perioperative oxygenation parameters, plasma neuroinflammatory markers, pulmonary infections, pain scores, and hospitalization duration. Blood samples were collected preoperatively and postoperatively for biomarker analysis.

Results: Among 154 analyzed patients, POD incidence was 5.2% (8/154), with no significant difference between 40% FiO₂ (6.4%, 5/78) and 100% FiO₂ (3.9%, 3/76) groups (P = 0.72). The 40% FiO₂ group exhibited lower saturation of pulse oxygen, regional cerebral oxygen saturation, and arterial partial pressure of oxygen from 1 h post-anesthesia (T2) to anesthesia end (T5) (P < 0.05). No intergroup differences in interleukin-6, tumor necrosis factor alpha, neuron-specific enolase, or neurofilament light chain levels were observed postoperatively (P > 0.05). FiO₂ levels did not influence pulmonary infection rates, postoperative VAS scores, or hospital stay (P > 0.05).

Conclusions: While 100% FiO₂ enhances cerebral oxygenation, it does not reduce POD incidence or neuroinflammatory markers compared to 40% FiO₂. High-concentration oxygen did not increase pulmonary complications but offered no clinical benefits in this cohort. Intraoperative FiO₂ should be titrated based on individualized patient needs.

求助全文
通过发布文献求助,成功后即可免费获取论文全文。 去求助
来源期刊
CiteScore
4.90
自引率
3.60%
发文量
206
审稿时长
3-8 weeks
期刊介绍: The International Journal of Colorectal Disease, Clinical and Molecular Gastroenterology and Surgery aims to publish novel and state-of-the-art papers which deal with the physiology and pathophysiology of diseases involving the entire gastrointestinal tract. In addition to original research articles, the following categories will be included: reviews (usually commissioned but may also be submitted), case reports, letters to the editor, and protocols on clinical studies. The journal offers its readers an interdisciplinary forum for clinical science and molecular research related to gastrointestinal disease.
×
引用
GB/T 7714-2015
复制
MLA
复制
APA
复制
导出至
BibTeX EndNote RefMan NoteFirst NoteExpress
×
提示
您的信息不完整,为了账户安全,请先补充。
现在去补充
×
提示
您因"违规操作"
具体请查看互助需知
我知道了
×
提示
确定
请完成安全验证×
copy
已复制链接
快去分享给好友吧!
我知道了
右上角分享
点击右上角分享
0
联系我们:info@booksci.cn Book学术提供免费学术资源搜索服务,方便国内外学者检索中英文文献。致力于提供最便捷和优质的服务体验。 Copyright © 2023 布克学术 All rights reserved.
京ICP备2023020795号-1
ghs 京公网安备 11010802042870号
Book学术文献互助
Book学术文献互助群
群 号:604180095
Book学术官方微信