钠的难以捉摸的tI50相被预测为一个体心四方电化物。

IF 6.2 2区 化学 Q1 CHEMISTRY, MULTIDISCIPLINARY
Akinwumi Akinpelu, Mangladeep Bhullar, Hui Wang, Yansun Yao
{"title":"钠的难以捉摸的tI50相被预测为一个体心四方电化物。","authors":"Akinwumi Akinpelu, Mangladeep Bhullar, Hui Wang, Yansun Yao","doi":"10.1038/s42004-025-01566-3","DOIUrl":null,"url":null,"abstract":"<p><p>Sodium exhibits an anomalous melting curve with a minimum at high pressure, where several complex crystalline phases coinciding with this minimum have been observed but remain unresolved. Solving these structures would help better understand sodium's unusual melting behavior. In this study, we determine the crystal structure of one such phase, the tI50 phase. Using a data-derived potential-assisted structure search, we identify the tI50 phase as a body-centered tetragonal structure with 50 atoms per unit cell, crystallizing in the I4/m space group. The predicted lattice parameters deviate by less than 0.38% from experimental values, and enthalpy calculation confirms this structure as the ground state for sodium across a ~20 GPa pressure range. The structure features a cage-like polyhedral network with interstitial electride states and remains weakly metallic, unlike the insulating hP4 phase. Resolving this unique structure advances understanding of sodium's diverse structural behavior under high pressure.</p>","PeriodicalId":10529,"journal":{"name":"Communications Chemistry","volume":"8 1","pages":"177"},"PeriodicalIF":6.2000,"publicationDate":"2025-06-06","publicationTypes":"Journal Article","fieldsOfStudy":null,"isOpenAccess":false,"openAccessPdf":"https://www.ncbi.nlm.nih.gov/pmc/articles/PMC12141663/pdf/","citationCount":"0","resultStr":"{\"title\":\"Sodium's elusive tI50 phase predicted to be a body-centered tetragonal electride.\",\"authors\":\"Akinwumi Akinpelu, Mangladeep Bhullar, Hui Wang, Yansun Yao\",\"doi\":\"10.1038/s42004-025-01566-3\",\"DOIUrl\":null,\"url\":null,\"abstract\":\"<p><p>Sodium exhibits an anomalous melting curve with a minimum at high pressure, where several complex crystalline phases coinciding with this minimum have been observed but remain unresolved. Solving these structures would help better understand sodium's unusual melting behavior. In this study, we determine the crystal structure of one such phase, the tI50 phase. Using a data-derived potential-assisted structure search, we identify the tI50 phase as a body-centered tetragonal structure with 50 atoms per unit cell, crystallizing in the I4/m space group. The predicted lattice parameters deviate by less than 0.38% from experimental values, and enthalpy calculation confirms this structure as the ground state for sodium across a ~20 GPa pressure range. The structure features a cage-like polyhedral network with interstitial electride states and remains weakly metallic, unlike the insulating hP4 phase. Resolving this unique structure advances understanding of sodium's diverse structural behavior under high pressure.</p>\",\"PeriodicalId\":10529,\"journal\":{\"name\":\"Communications Chemistry\",\"volume\":\"8 1\",\"pages\":\"177\"},\"PeriodicalIF\":6.2000,\"publicationDate\":\"2025-06-06\",\"publicationTypes\":\"Journal Article\",\"fieldsOfStudy\":null,\"isOpenAccess\":false,\"openAccessPdf\":\"https://www.ncbi.nlm.nih.gov/pmc/articles/PMC12141663/pdf/\",\"citationCount\":\"0\",\"resultStr\":null,\"platform\":\"Semanticscholar\",\"paperid\":null,\"PeriodicalName\":\"Communications Chemistry\",\"FirstCategoryId\":\"92\",\"ListUrlMain\":\"https://doi.org/10.1038/s42004-025-01566-3\",\"RegionNum\":2,\"RegionCategory\":\"化学\",\"ArticlePicture\":[],\"TitleCN\":null,\"AbstractTextCN\":null,\"PMCID\":null,\"EPubDate\":\"\",\"PubModel\":\"\",\"JCR\":\"Q1\",\"JCRName\":\"CHEMISTRY, MULTIDISCIPLINARY\",\"Score\":null,\"Total\":0}","platform":"Semanticscholar","paperid":null,"PeriodicalName":"Communications Chemistry","FirstCategoryId":"92","ListUrlMain":"https://doi.org/10.1038/s42004-025-01566-3","RegionNum":2,"RegionCategory":"化学","ArticlePicture":[],"TitleCN":null,"AbstractTextCN":null,"PMCID":null,"EPubDate":"","PubModel":"","JCR":"Q1","JCRName":"CHEMISTRY, MULTIDISCIPLINARY","Score":null,"Total":0}
引用次数: 0

摘要

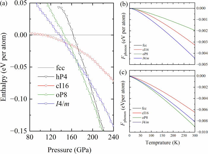
钠在高压下表现出异常的最小熔点曲线,在高压下观察到与此最小熔点相一致的几个复杂结晶相,但仍未得到解决。解决这些结构将有助于更好地理解钠的不同寻常的融化行为。在这项研究中,我们确定了其中一种相,tI50相的晶体结构。使用数据衍生的电位辅助结构搜索,我们确定tI50相是一个体心四方结构,每个单位细胞有50个原子,在I4/m空间群中结晶。预测的晶格参数与实验值偏差小于0.38%,焓值计算证实,在~ 20gpa的压力范围内,这种结构是钠的基态。与绝缘的hP4相不同,该结构具有具有间隙电子态的笼状多面体网络,并且保持弱金属性。解决这种独特的结构有助于了解钠在高压下的不同结构行为。
本文章由计算机程序翻译,如有差异,请以英文原文为准。

Sodium's elusive tI50 phase predicted to be a body-centered tetragonal electride.

Sodium's elusive tI50 phase predicted to be a body-centered tetragonal electride.

Sodium's elusive tI50 phase predicted to be a body-centered tetragonal electride.

Sodium's elusive tI50 phase predicted to be a body-centered tetragonal electride.

Sodium exhibits an anomalous melting curve with a minimum at high pressure, where several complex crystalline phases coinciding with this minimum have been observed but remain unresolved. Solving these structures would help better understand sodium's unusual melting behavior. In this study, we determine the crystal structure of one such phase, the tI50 phase. Using a data-derived potential-assisted structure search, we identify the tI50 phase as a body-centered tetragonal structure with 50 atoms per unit cell, crystallizing in the I4/m space group. The predicted lattice parameters deviate by less than 0.38% from experimental values, and enthalpy calculation confirms this structure as the ground state for sodium across a ~20 GPa pressure range. The structure features a cage-like polyhedral network with interstitial electride states and remains weakly metallic, unlike the insulating hP4 phase. Resolving this unique structure advances understanding of sodium's diverse structural behavior under high pressure.

求助全文
通过发布文献求助,成功后即可免费获取论文全文。 去求助
来源期刊
Communications Chemistry
Communications Chemistry Chemistry-General Chemistry
CiteScore
7.70
自引率
1.70%
发文量
146
审稿时长
13 weeks
期刊介绍: Communications Chemistry is an open access journal from Nature Research publishing high-quality research, reviews and commentary in all areas of the chemical sciences. Research papers published by the journal represent significant advances bringing new chemical insight to a specialized area of research. We also aim to provide a community forum for issues of importance to all chemists, regardless of sub-discipline.
×
引用
GB/T 7714-2015
复制
MLA
复制
APA
复制
导出至
BibTeX EndNote RefMan NoteFirst NoteExpress
×
提示
您的信息不完整,为了账户安全,请先补充。
现在去补充
×
提示
您因"违规操作"
具体请查看互助需知
我知道了
×
提示
确定
请完成安全验证×
copy
已复制链接
快去分享给好友吧!
我知道了
右上角分享
点击右上角分享
0
联系我们:info@booksci.cn Book学术提供免费学术资源搜索服务,方便国内外学者检索中英文文献。致力于提供最便捷和优质的服务体验。 Copyright © 2023 布克学术 All rights reserved.
京ICP备2023020795号-1
ghs 京公网安备 11010802042870号
Book学术文献互助
Book学术文献互助群
群 号:604180095
Book学术官方微信